Complexonas de naturaleza de ácidos N-2-(azol -1(2)-il)etiliminodiacéticos, síntesis, estudio analítico y aplicaciones biológicas.
Introducción
Las aplicaciones Biomédicas de la Resonancia Magnética Nuclear (RMN) han experimentado, en la última decada, un desarrollo muy importante.1 Tanto la espectroscopía (MRS) como la imagen (MRI) se han empleado para estudiar, no invasivamente, una multitud de procesos fisiológicos y patológicos en animales y seres humanos.2 Más recientemente ha sido posible extender las aplicaciones de la RMN al estudio de la fisiología y patología de células y cultivos celulares eucarióticos.3 Estos avances han permitido comenzar a estudiar por RMN aspectos fundamentales de la Biología y la Medicina como son la proliferación, la diferenciación y el desarrollo celular. En todos estos procesos se producen cambios significativos en la concentración intracelular de calcio (pCai).4 De hecho, el pCai o sus alteraciones juegan un papel primordial en una gran variedad de procesos biológicos, como son: la contracción muscular,5 la transducción del mensaje hormonal,6 la agregación plaquetaria y coagulación,7 la exocitosis de neurotransmisores,8 la fosforilación de proteínas,9 el metabolismo del glucógeno10 y la fototransducción y adaptación de fotorreceptores.11
La concentración de Ca2+ en el medio extracelular es 105 veces superior a su concentración intracelular y cambios pequeños en la permeabilidad de la membrana provocan cambios drásticos en la concentración intracelular de Ca2+. Este hecho hace que muchas señales hormonales, utilicen variaciones en la concentración de Ca2+ intracelular como mecanismos de transducción del mensaje a través de la membrana.6,12
Dado que las concentraciones intracelulares de Ca2+ no son directamente observables por RMN, ha sido necesario utilizar una serie de indicadores (o sondas) que, debido a su capacidad quelante, permiten determinar indirectamente el pCai utilizando Resonancia Magnética. Hasta ahora, la mayor parte de las medidas de pCai llevadas a cabo por RMN han utilizado casi siempre 19F RMN, empleando análogos fluorados del BAPTA (ácido bis(o-aminofenoxi)etano-N,N,N',N'-tetraacético) como sondas extrínsecas.13 14
La 1H RMN, a pesar de ser la más sensible y convencional de las espectroscopías de RMN, permanece aún escasamente utilizada para cualquiera de estos propósitos. En este sentido nos hemos propuesto desarrollar una nueva serie de sondas extrínsecas para la determinación pCai por 1H RMN.
Estado de la Técnica
Los agentes quelantes de Ca2+ más utilizados en sistemas biológicos están constituidos por moléculas denominadas complexonas que contienen unidades de ácido iminodiacético (N-carboximetilglicina).15 Existe otro tipo de moléculas como los éteres corona, por ejemplo, capaces de complejarse con el calcio, pero que debido a su carácter ionóforo o tóxico no pueden ser utilizados como indicadores en sistemas celulares. Entre la gran variedad de complexonas descritas en la literatura sólo el ácido etilendiaminotetra-acético (EDTA) ha sido utilizado previamente como sonda extrínseca de pCa por 1H RMN en granulos cromafines.16 El método se basa en que las velocidades de intercambio entre el Ca2+ libre y el complejo EDTA-Ca2+ son inferiores a 360 s-1, encontrándose por tanto en la zona de intercambio lento en la escala de tiempo de 1H RMN. Esto hace que en los espectrómetros de alta resolución se puedan observar, simultáneamente, resonancias del EDTA libre (FR) y de sus formas queladas con metales (BD) (Figura 1). Debe resaltarse que las formas queladas con Ca2+ y Mg2+ dan resonancias con desplazamiento químico diferente, por lo que es posible distinguir entre los complejos EDTA-Ca2+ y EDTA-Mg2+.
| (HOOCCH2)2N | CH2-CH2N(CH2CO2H)2 |
| EDTA |
Figura 1: 1H RMN de 50 mM Na2EDTA más 30 mM Ca(NO3)2, pH = 7,13 en D2O;
FR = libre; BD = ligado a Ca.16 Sin embargo, el EDTA presenta el inconveniente de que las resonancias en las cuales se detecta el efecto de la quelación aparecen en la región de 2,6-3,6 ppm, una de las zonas más complejas del espectro de 1H RMN de los sistemas biológicos.
Por otro lado, la quelación de Ca2+ con BAPTA y EGTA (ácido etilenglicol bis(b-aminoetil eter)-N,N,N'N'-tetraacético), agentes comúnmente utilizados en poten-ciometría o fluorescencia, transcurre en la región de intercambio rápido (en la escala de RMN) y, por tanto, no es posible distinguir las formas libres y ligadas, ni el tipo de catión unido a la complexona. Por ello, estos compuestos no se han podido utilizar directamente como sondas extrínsecas para pCa por 1H RMN.17
Por este motivo se han desarrollado previamente derivados fluorados del BAPTA para su utilización con 19F RMN18 o también como sondas fluorescentes.13
Descripción
Considerando estos antecedentes, en el diseño de indicadores extrínsecos de pCa para 1H RMN se deben tener en cuenta los siguientes aspectos: i) Los espectros de 1H RMN de los extractos celulares presentan su mayor complejidad en la zona de 1-5 ppm, región en la que resuenan la mayoría de los metabolitos celulares.19 ii) Resulta por tanto imprescindible que los indicadores extrínsecos contengan en su estructura grupos que sean sensibles a las variaciones producidas por la quelación del metal y que además resuenen a campos más bajos de 5 ppm. En este sentido, los anillos heterocíclicos resultan muy adecuados y en especial los azoles. Estos núcleos heterocíclicos originan señales bien resueltas y fácilmente identificables en la región de 6 a 8 ppm. iii) Ahora bien, para poder ser utilizados como sonda extrínseca que acuse exclusivamente cambios debidos a la quelación de metales, pero no a variaciones de pH, el pKa del anillo heterocíclico debe estar alejado del pH fisiológico. Descartado el imidazol (pKa = 6,9-7,0), el pirazol (pKa = 2,5), el 3,5-dimetilpirazol (pKa = 4,2), el 1,2,4-triazol (pKa = 2,2) y el indazol (pKa = 1,3) son candidatos adecuados.
Por tanto las complexonas ideales para determinar pCa por 1H RMN deberían combinar unidades de ácido iminodiacético capaces de quelar Ca2+ (pCa) y anillos heterocíclicos según la estructura general:
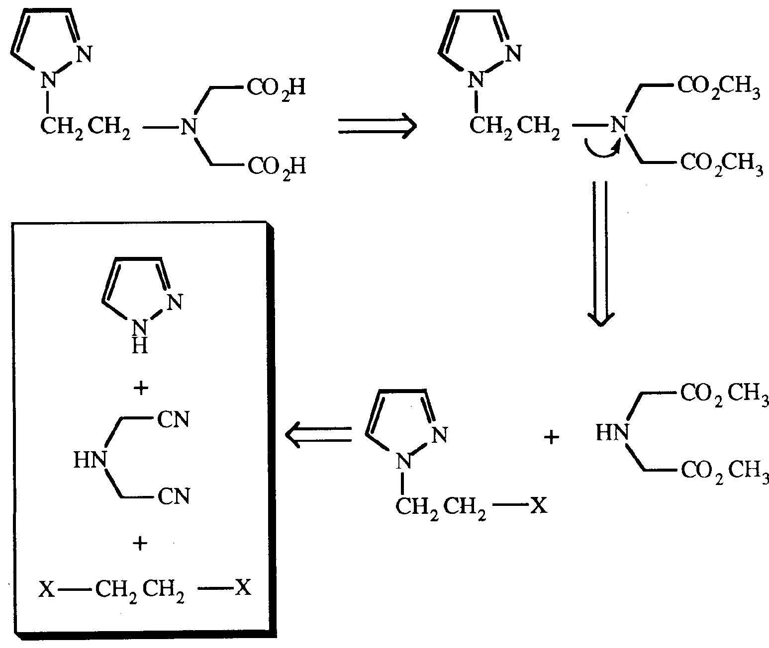
AzolN(H) N(CH2CO2H)2 Desde el punto de vista de diseño de la sonda, el anclaje del ácido iminodiacético al azol puede realizarse de diversas maneras. En este trabajo hemos optado por hacerlo a través de una cadena alquílica de dos átomos de carbono unida al átomo de nitrógeno N1. El siguiente esquema ilustra el caso de la complexona derivada del pirazol.
La presente invención cubre los siguientes objetivos: 1: Sintetizar complexonas con una unidad de ácido iminodiacético unido a través de una cadena alquílica de dos átomos de carbono al átomo de nitrógeno N1 (ó N2) de un anillo azólico; 2: Estudiar por 1H RMN el comportamiento de los protones azólicos de estas moléculas frente a las variaciones de pH y 3: Estudiar por 1H RMN el comportamiento de los protones azólicos de dichas moléculas frente a la adición de exceso de Ca2+, para comprobar su viabilidad como potenciales sondas de pCai, y frente a la adición de exceso de Mg2+, para determinar la medida en que este catión presente en las células, puede interferir en las medidas de calcio.
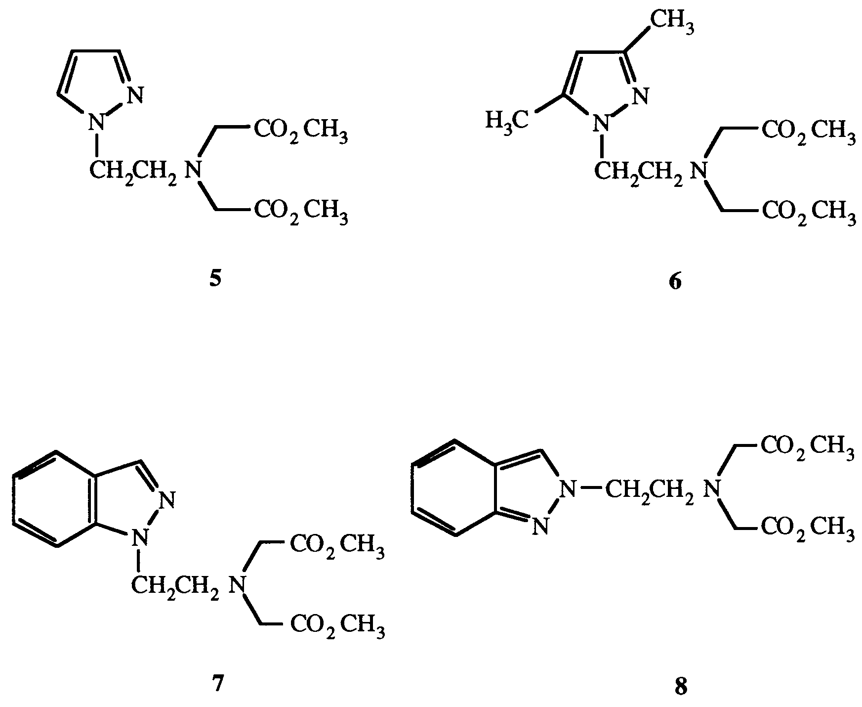
A continuación se presentan los productos sintetizados durante este trabajo:
1(2)-(2-Bromoetil)azoles
N-2-(Azol-1(2)-il)etiliminodiacetatos de metilo ó N-(metoxicarbonilmetil)-N-(2-azol-1(2)-iletil)glicinatos de metilo
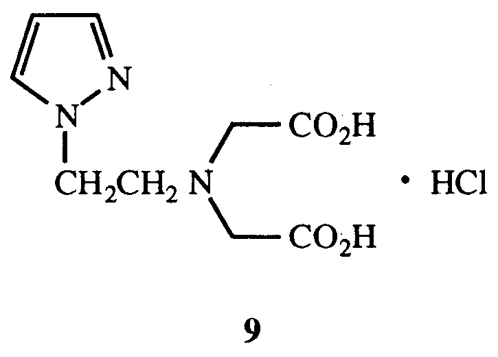
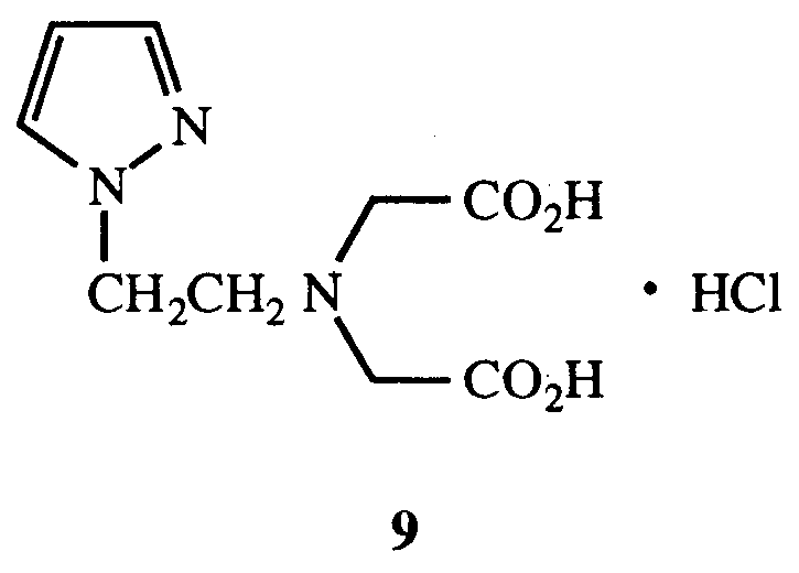
Hidrocloruro del ácido N-2-(pirazol-1-il)etiliminodiacético ó hidrocloruro de la N-(carboximetil)-N-(2-pirazol-1-iletil)glicina
N-2-(Azol-1(2)-il)etiliminodiacetatos sódicos ó sales disódicas de N-(carboximetil)-N-(2-azol-1(2)-iletil)-glicinatos de metilo
(La Fórmula pasa a la página siguiente)
La síntesis de las citadas complexonas se ha realizado según el siguiente esquema retrosintético:
La obtención de los bromoetilderivados 1-4 se ha llevado a cabo partiendo del azol correspondiente y el 1,2-dibromoetano utilizando la técnica de catálisis por transferencia de fase (CTF) líquido-líquido22,23 empleando NaOH al 40%, bromuro de tetrabutilamonio (BTBA) como catalizador y el exceso de 1,2-dibromoetano como disolvente.
El 1-(2-bromoetil)pirazol 1, había sido sintetizado previamente empleando como catalizador el sulfato de tetrabutilamonio y manteniendo la reacción 1 hora a reflujo intenso.24 En este trabajo se han probado estas y otras condiciones con distintos azoles de partida para centrar así la forma más óptima de preparación del 2-bromoetilderivado de cada uno de ellos.
De la reacción del azol con el 1,2-dibromoetano se pueden obtener en principio tres productos diferentes: el 2-bromoetilazol buscado; el N,N'-bis(azolil)etano resultante de la doble alquilación con 1,2-dibromoetano y el vinilazol como producto de eliminación.
La proporción en que se forma cada uno de ellos depende de la estequiometría de la reacción. La utilización de un exceso de 1,2-dibromoetano potencialmente conducirá a un aumento de 2-bromoetilazol que se obtendrá como producto mayoritario. Por otra parte el control de la temperatura y del tiempo de reacción, contribuirán a disminuir tanto la formación del producto de eliminación, como la del bis-derivado.
Así, siguiendo este esquema sintético y empleando el reactivo 1,2-dibromoetano como disolvente en un exceso de 8 a 10 veces respecto al heterociclo correspondiente, se ha conseguido optimizar la obtención de los distintos bromoetilazoles.
Los correspondientes vinil y bis-derivados se identificaron, en los espectros de 1H RMN de los crudos de reacción, por sus resonancias características, que coinciden con los datos descritos en la literatura para dichos compuestos.25
Estos productos se han purificado por cromatografía en columna, seguida en algunos casos de destilación a vacío. Aunque el vinilazol no se consigue separar por completo del bromoetil derivado formado en cada caso, no representa un problema para la síntesis de la complexona final, pues no interfiere en manera alguna en el paso siguiente tras el cual ya resulta fácilmente separable del resto de los productos.
La alquilación del iminodiacetato de metilo27 con los 2-bromoetilazoles 1-4, requería una especie básica que neutralizara el HBr liberado. No se pudo utilizar la técnica de CTF porque el medio básico produjo una hidrólisis de los grupos éster. Había que emplear por esta razón una amina con la que se formara el hidrobromuro derivado de la misma. Se ha utilizado el propio iminodiacetato de metilo basándonos en un antecedente previo en la bibliografía en el que se anclaba el cloroacetonitrilo al iminodiacetato.28
De esta manera se ha realizado la síntesis de los distintos azoliletiliminodiacetatos de metilo por reacción directa de dos equivalentes de iminodiacetato, compuesto 14, por cada uno de 2-bromoetilazol, uno de los cuales produce la sustitución nucleófila y el otro neutraliza el HBr formando el hidrobromuro.
Finalizada la reacción, se puede recuperar la sal de amonio 15 y basificarla nuevamente con K2CO3.
La síntesis de los azoliletiliminodiacetatos derivados se ha verificado para todos los bromoetilazoles manteniendo la reacción a 110ºC durante un espacio de tiempo de 2,5 h a 4,5 h, según el 1(2)-(2-bromoetil)azol de partida, obteniéndose rendimientos análogos en todos los casos, entre 55% y 65%.
La purificación completa de estos productos se ha conseguido por medio de una cromatografía en columna del crudo de reacción, seguida de una destilación a vacío. De esta manera se separan totalmente del iminodiacetato de metilo, cuya presencia interfiere en gran medida en el paso siguiente.
Las complexonas libres se han obtenido por hidrólisis de los grupos ésteres para obtener los carboxilatos libres que son los verdaderos agentes quelantes de iones. Esta reacción se puede llevar a cabo en medio ácido (calentamiento en exceso de HCl 2N) o medio básico (con una cantidad equimolecular de NaOH al 0,6 % y a t.a.). Tanto en un caso como en el otro, se comprueba fácilmente por 1H RMN la terminación de la reacción por la no aparición del singlete más intenso del espectro correspondiente a los 6 protones isocronos de los dos grupos -O-CH3.
Con el N-(2-pirazol-1-il)etiliminodiacetato de metilo 5 se han llevado a cabo las dos posibilidades. Como producto de la hidrólisis ácida se ha obtenido el hidrocloruro derivado 9, de fuerte carácter higroscópico y muy difícil de recristalizar. La hidrólisis básica ha proporcionado la sal disódica 10 altamente estable y de pureza suficiente que no requiere una recristalización posterior.
Con los demás ésteres derivados sólo se ha realizado la hidrólisis básica como vía de obtención de las complexonas. Manteniendo la reacción 24 h a t.a. se han obtenido los azoliletiliminodiacetatos sódicos, compuestos 10-13, con un rendimiento de ~ 100 %.
El objetivo final de la síntesis de las complexonas 9-13, es el de utilizarlas como indicadores de 1H RMN para la determinación de pCa y pMg, o egentes de contraste para MRI en sistemas celulares. Para llegar a este punto, es preciso realizar previamente una serie de ensayos analíticos que son los que se presentan a continuación.
Las determinaciones se han realizado empleando 1H RMN, comenzando por la titulación de pH para comprobar las variaciones que experimentan en su desplazamiento químico el protón/es azólico/s, que se quiere/n utilizar para detectar las modificaciones en la concentración de iones metálicos. Es necesario que dichos protones mantengan un d prácticamente constante en el rango de pH, para que cualquier variación que se produzca en este en presencia de cationes, se deba exclusivamente a la concentración de los mismos en el medio.
Partiendo de soluciones 25 mM de los compuestos 9 y 11-13 en D2O y modificando el pH de alícuotas diferentes, se ha determinado el desplazamiento químico de cada uno de los protones, tanto azólicos como alifáticos, para los diferente valores de pH en el rango de 1 a 12. Los espectros se han obtenido a 360,13 MHz.
Las complexonas utilizadas para estas determinaciones han sido en todos los casos los N-2-(azol-1(2)-il)etiliminodiacetatos sódicos, salvo para la derivada del núcleo de pirazol, en el que se ha utilizado el hidrocloruro del ácido N-(2-pirazol-1-il)etiliminodiacético, compuesto 9. Los valores de d de cada protón se indican en las Tablas 1-4.
TABLA 1 Desplazamientos químicos (ppm) de los protones del compuesto 9 a distintos valores de pH. | | | | | | |
| pH | H5 | H3 | H4 | CH2N-azol | CH2-N-(CH2) | N-CH2-CO |
| | | | | | |
| | | | | | | |
| 1,26 | 7,79 | 7,71 | 6,45 | 4,69 | 3,87 | 4,09 |
| 2.35 | 7,76 | 7,68 | 6,45 | 4,66 | 3,77 | 3,85 |
| 3,84 | 7,75 | 7,68 | 6,44 | 4,66 | 3,74 | 3,77 |
| 7,41 | 7,75 | 7,66 | 6,43 | 4,60 | 3,65 | 3,68 |
| 8,28 | 7,73 | 7,62 | 6,39 | 4,46 | 3,38a | 3,45 |
| 11,26 | 7,73 | 7,58 | 6,35 | 4,30 | 3,06 | 3,17 |
| | | | | | |
a Señal ensanchada.
TABLA 2 Desplazamientos químicos (ppm) de los protones del compuesto 11 a distintos valores de pH. | | | | | | |
| pH | H4 | CH2-N-azol | CH2-N-(CH2) | N-CH2-CO | CH3 (3) | CH3 (5) |
| | | | | | |
| | | | | | | |
| 2,35 | 6,07 | 4,46 | 3,61 | 3,81 | 2,27 | 2,16 |
| 3,10 | 6,01 | 4,44 | 3,60 | 3,74 | 2,25 | 1,71 |
| 3,99 | 5,99 | 4,43 | 3,59 | 3,72 | 2,24 | 2,15 |
| 5,32 | 5,99 | 4,43 | 3,58 | 3,72 | 2,25 | 2,15 |
| 6,18 | 6,02 | 4,46 | 3,61 | 3,74 | 2,27 | 2,18 |
| 6,90 | 5,98 | 4,41a | 3,56a | 3,69 | 2,24 | 2,14 |
| 7,98 | 5,99 | 4,35a | 3,51a | 3,64 | 2,26 | 2,17 |
| 9,15 | 5,90 | 4,17a | 3,04a | 3,31a | 2,25 | 2,15 |
| 10,11 | 5,89 | 4,08 | 2,90 | 3,20 | 2,21 | 2,11 |
| 11,79 | 5,92 | 4,10 | 2,91 | 3,22 | 2,24 | 2,14 |
| 13,32 | 5,89 | 4,07 | 2,99 | 3,19 | 2,21 | 2,11 |
| | | | | | |
a Señal o señales ensanchadas.
TABLA 3 Desplazamiento químico (ppm) de los protones aromáticos del compuesto 12 a distintos valores de pH. | | | | | |
| pH | H3 | H4 | H7 | H6 | H5 |
| | | | | |
| | | | | | |
| 2,00 | 8,22 | 7,91 | 7,63 | 7,57 | 7,30 |
| 2,73 | 8,22 | 7,90 | 7,63 | 7,56 | 7,30 |
| 3,91 | 8,22 | 7,89 | 7,62 | 7,55 | 7,30 |
| 4,75 | 8,22 | 7,89 | 7,63 | 7,56 | 7,30 |
| 6,26 | 8,22 | 7,90 | 7,63 | 7,56 | 7,30 |
| 6,94 | 8,21 | 7,89 | 7,63 | 7,55 | 7,30 |
| 8,40 | 8,17 | 7,87 | 7,65 | 7,54 | 7,27 |
| 8,91 | 8,14 | 7,86 | 7,68 | 7,53 | 7,26 |
| 9,84 | 8,12 | 7,85 | 7,66 | 7,52 | 7,25 |
| 10,92 | 8,11 | 7,85 | 7,67 | 7,52 | 7,25 |
| 12,09 | 8,11 | 7,85 | 7,67 | 7,52 | 7,25 |
| | | | | |
(La Tabla 4 pasa a la página siguiente) TABLA 4 Desplazamiento químico (ppm) de los protones aromáticos del compuesto 13 a distintos valores de pH. | | | | | |
| pH | H3 | H4 | H7 | H6 | H5 |
| | | | | |
| | | | | | |
| 1,97 | 8,37 | 7,83 | 7,71 | 7,45 | 7,22 |
| 2,85 | 8,37 | 7,83 | 7,72 | 7,45 | 7,22 |
| 4,05 | 8,37 | 7,83 | 7,72 | 7,45 | 7,22 |
| 5,43 | 8,37 | 7,83 | 7,72 | 7,45 | 7,22 |
| 6,56 | 8,37 | 7,83 | 7,72 | 7,45 | 7,22 |
| 7,12 | 8,37 | 7,83 | 7,72 | 7,45 | 7,21 |
| 7,98 | 8,37 | 7,82 | 7,70 | 7,44 | 7,20 |
| 8,72 | 8,37 | 7,82 | 7,68 | 7,42 | 7,19 |
| 9,95 | 8,37 | 7,82 | 7,67 | 7,42 | 7,19 |
| 11,70 | 8,37 | 7,82 | 7,67 | 7,42 | 7,18 |
| 12,40 | 8,37 | 7,82 | 7,67 | 7,42 | 7,17 |
| | | | | |
Se ha observado que los desplazamientos químicos de todos los protones se mueven ligeramente hacia más bajo campo conforme desciende el valor de pH, con la excepción del protón azólico H7 del N-2-(indazol-1 -il)etiliminodiacetato sódico 12 que lo hace a la inversa. Igualmente, se ha comprobado en todas las complexonas que los protones de los metilenos unidos directamente al nitrógeno que titula, varían su d de manera apreciable en torno al valor de su pKa (pH entre 7 y 8). Sin embargo, los protones azólicos apenas experimentan modificación en todo el rango de pH.
La variación que se ha producido en el d de los distintos protones azólicos de las complexonas entre los dos extremos de pH (1 a 12), se refleja en la Tabla 5.
TABLA 5 D d (ppm) en los protones azólicos de los compuestos 9 y 11-13 en el intervalo de pH estudiado. | | | |
| Compuesto 9. | H3: + 0,13 | H4: + 0,10 | H5: + 0,06 |
| Compuesto 11. | | H4: + 0,17 | |
| Compuesto 12. | H3: + 0,11 | H4: + 0,06 | H5: + 0,05 |
| H6: + 0,05 | H7: -0,04 | |
| Compuesto 13. | H3: 0,00 | H4: + 0,01 | H5: + 0,05 |
| H6: + 0,03 | H7: + 0,04 | |
| | | |
El protón que más modifica su desplazamiento químico con la variación de pH es el H4 del N-2-(3,5-dimetilpirazol-1-il) etiliminodiacetato sódico, compuesto 11, y el que menos lo hace, el protón H3 del N-(2-indazol-2-il)etiliminodiacetato sódico, compuesto 13 que no varía en absoluto su frecuencia de resonancia con el pH del medio.
Asimismo, se han estudiado por 1H RMN las variaciones producidas en el desplazamiento químico de los protones azólicos de los compuestos 10-13 (25 mM) como consecuencia de la adición de un exceso de iones: Ca2+ y Mg2+ (en relación molar 2:1 / ión:complexona).
Este ensayo se ha realizado a dos valores distintos de pH final, tras la adición del ión, en cada caso: uno próximo al pH fisiológico y otro ligeramente alcalino. Hay que tener en cuenta que la formación del quelato entre la complexona y el catión va acompañada de un descenso de pH con respecto al de la disolución sin dicho ión metalico.15 Los valores de d obtenidos para los protones azólicos para cada una de las moléculas 10-13, a los dos valores de pH y en presencia de los cationes Ca2+ y Mg2+, se encuentran recogidos en las Tablas 6 y 7.
En la Tabla 8 se muestran los incrementos producidos en el desplazamiento químico de los protones de los compuestos estudiados, al añadir los cationes al medio que se encuentra a un valor de pH próximo al fisiológico. En la Tabla 9 aparecen los datos obtenidos para el valor de pH básico.
TABLA 6 d de los protones azólicos de las complexonas 10 a 13 en presencia de exceso de Ca2+ y de los CH3 azólicos de 11, a dos valores de pH
. Compuesto 10
| | | |
| pH | H3 | H4 | H5 |
| | | |
| | | | |
| 8,87 | 7,67 | 6,37 | 7,67 |
| 7,01 | 7,67 | 6,39 | 7,69 |
| | | |
Compuesto 11
| | | | |
| pH | H4 | CH3 (3) | CH3 (5) |
| | | |
| | | |
| 9,52 | 5,97 | 2,25 | 2,17 |
| 7,36 | 5,97 | 2,26 | 2,17 |
| | | |
Compuesto 12
| | | | | |
| pH | H3 | H4 | H7 | H6 | H5 |
| | | | | |
| | | | | | |
| 8,69 | 8,20 | 7,87 | 7,63 | 7,54 | 7,27 |
| 7,07 | 8,22 | 7,89 | 7,64 | 7,55 | 7,28 |
| | | | | |
Compuesto 13
| | | | | | |
| pH | H3 | H4 | H7 | H6 | H5 |
| | | | | |
| | | | | |
| 9,19 | 8,28 | 7,79 | 7,72 | 7,42 | 7,19 |
| 7,32 | 8,28 | 7,79 | 7,71 | 7,42 | 7,18 |
| | | | | |
(La Tabla 7 pasa a la página siguiente) TABLA 7 d de los protones azólicos de las complexonas 10 a 13 en presencia de exceso de Mg2+ y de los CH3 azólicos de 11, a dos valores de pH
. Compuesto 10
| | | | |
| pH | H3 | H4 | H5 |
| | | |
| | | |
| 8,98 | 7,71 | 6,41 | 7,71 |
| 7,09 | 7,71 | 6,42 | 7,71 |
| | | |
Compuesto 11
| | | | |
| pH | H4 | CH3 (3) | CH3 (5) |
| | | |
| | | |
| 9,29 | 5,99 | 2,27 | 2,21 |
| 7,30 | 5,99 | 2,27 | 2,21 |
| | | |
Compuesto 12
| | | | | |
| pH | H3 | H4 | H7 | H6 | H5 |
| | | | | |
| | | | | | |
| 8,40 | 8,23 | 7,88 | 7,65 | 7,56 | 7,28 |
| 6,78 | 8,23 | 7,89 | 7,63 | 7,56 | 7,29 |
| | | | | |
Compuesto 13
| | | | | |
| pH | H3 | H4 | H7 | H6 | H5 |
| | | | | |
| | | | | | |
| 9,66 | 8,33 | 7,79 | 7,72 | 7,42 | 7,19 |
| 7,32 | 8,33 | 7,81 | 7,81 | 7,46 | 7,22 |
| | | | | |
(La Tabla 8 pasa a la página siguiente) TABLA 8 D d (ppm) que se produce en los protones estudiados al añadir exceso de Ca2+ y Mg2+ a un pH próximo al fisológico ( ~ 7)
. | | | | |
| Compuesto | Protones | Con Ca2+ | Con Mg2+ |
| | | |
| | | |
| H3 | +0,02 | +0,06 |
| 10 | H4 | -0.04 | -0,02 |
| H5 | -0,08 | -0,06 |
| | | |
| | | |
| H4 | +0,02 | +0,06 |
| 11 | CH3 (3) | +0,02 | +0,04 |
| CH3 (5) | +0,02 | +0,08 |
| | | |
| | | |
| H3 | +0,04 | +0,04 |
| H4 | +0,02 | +0,02 |
| 12 | H5 | -0,02 | -0,04 |
| H6 | +0,02 | +0,02 |
| H7 | +0,02 | +0,02 |
| | | |
| | | |
| H3 | -0,10 | -0,04 |
| H4 | -0,07 | -0,02 |
| 13 | H5 | -0,04 | +0,02 |
| H6 | -0,02 | +0,02 |
| H7 | -0,02 | +0,10 |
| | | |
TABLA 9 D d (ppm) que se produce en los protones estudiados al añadir exceso de Ca2+ y Mg2+ a pH básico ( ~ 9)
. | | | |
| Compuesto | Protones | Con Ca2+ | Con Mg2+ |
| | | |
| | | | |
| H3 | +0,10 | +0,20 |
| 10 | H4 | -0.02 | +0,04 |
| H5 | -0,06 | -0,02 |
| | | |
| | | |
| H4 | +0,08 | +0,10 |
| 11 | CH3 (3) | +0,02 | +0,04 |
| CH3 (5) | +0,06 | +0,08 |
| | | |
| | | |
| H3 | +0,10 | +0,14 |
| H4 | +0,02 | +0,03 |
| 12 | H5 | +0,02 | +0,04 |
| H6 | +0,02 | +0,04 |
| H7 | -0,02 | -0,04 |
| | | |
| | | |
| H3 | -0,10 | -0,04 |
| H4 | -0,06 | -0,06 |
| 13 | H5 | -0,02 | +0,02 |
| H6 | -0,02 | +0,02 |
| H7 | +0,07 | +0,20 |
| | | |
Se ha observado en todas las complexonas que al añadir Ca2+ o bien Mg2+, el desplazamiento químico de los distintos protones azólicos es similar en los dos valores de pH estudiados. Sin embargo, se poducen mayores modificaciones en el desplazamiento químico (D d ) de los protones que se han estudiado al valor de pH más básico. En el N-2-(pirazol-1 -il)etiliminodiacetato sódico 10 el valor del desplazamiento químico de los protones H3, H4 y H5, ha variado entre 0,02 y 0.08 ppm tras la adición al medio de iones metálicos, tanto para el Ca2+ como para el Mg2+, siendo el H3 algo más sensible a la quelación del magnesio que a la del calcio, y el H4 y el H5 a la de calcio.
En cuanto al N-2-(3,5-dimetilpirazoi-1-il)etiliminodiacetato sódico, 11, el protón azólico H4 ha visto modificado su valor de d de manera bastante más apreciable al pH básico que al neutro. Un incremento menor en el valor de desplazamiento químico, se produce en los grupos metilos CH3 (3) y CH3 (5). Tanto estos protones como el anterior, son ligeramente más sensibles al Mg2+ que al Ca2+.
El protón azólico H3 del compuesto 12, N-2-(indazoi-1 -il)etiliminodiacetato sódico, detecta la quelación con los cationes al pH ~ 7, aunque el cambio de su desplazamiento químico es muy pequeño: 0,04 ppm tanto para el Ca2+ como para el Mg2+. Sin embargo, al pH más básico la sensibilidad de este protón es considerablemente mayor. Algo similar ocurre con el resto de los protones azólicos de este compuesto. Cabe reseñar en esta complexona, que el protón H7 de la misma es el único de todos los estudiados en este trabajo, que se desplaza a más bajo campo a lo largo de la titulación de pH, aunque ese desapantallamiento es muy pequeño. Este mismo comportamiento se observa en los protones H5, H6 y H7 de esta molécula al añadir el calcio, donde también se desplazan a más bajo campo conforme disminuye la concentración de protones del medio.
Por último, teniendo en cuenta que en el compuesto 13, N-2-(indazol-2-il)etiliminodiacetato sódico, el protón azólico H3 no modifica su desplazamiento químico en todo el rango de pH, las variaciones producidas en la resonancia del mismo tras añadir los cationes al medio, se deben única y exclusivamente a la quelación de los mismos con la complexona. Esta variación es fija a cualquier valor de pH: 0,1 ppm para la quelación con el calcio, y 0,04 ppm para el magnesio. El valor del D delta en los protones H4, H5, H6 y H7 en presencia Ca2+ y Mg2+, oscila entre 0,02 ppm y 0,10 ppm, salvo para el H7 a pH básico que se desapantalla en 0,2 ppm. En esta complexona cabe destacar que a pH fisiológico uno de los protones es bastante sensible a la presencia de calcio y menos a la del magnesio, H3, y otro protón en el que ocurre justamente lo contrario, H7. Esto representa una gran ventaja pues es deseable que en una misma molécula existan protones de distinta sensibilidad frente a los cationes bivalentes.
Finalmente, los resultados obtenidos en este estudio sugieren que la presencia de sólo un grupo iminodiacético no produce, tras la quelación del mismo con iones metálicos, grandes efectos en las resonancias de los protones azólicos. Sin embargo, estos efectos, aunque pequeños, pueden ser útiles desde el punto de vista biológico, sobre todo en el compuesto 13. En este caso la posibilidad de disponer, en una misma molécula, de indicadores selectivos para Ca2+ y Mg2+ merece especial atención.
Síntesis de 1(2)-(2-bromoetil)azoles
Los azoles utilizados como productos de partida, así como el dibromoetano empleado, fueron comerciales, usándose sin purificación adicional.
Método general A
En un matraz de fondo redondo equipado con refrigerante de reflujo, se introduce el hidróxido sódico al 40%, el azol, el catalizador, bromuro de tetrabutilamonio (BTBA), y el dibromoetano, en una relación molar (3:1:1/40:8 ó 10). La mezcla se mantiene con agitación a temperatura ambiente durante 24 horas. Se decanta la fase orgánica, se concentra y se purifica por cromatografía en columna (sílica gel y el/los disolvente/s adecuado/s), o por destilación a vacío.
Método general B
En un matraz de fondo redondo equipado con refrigerante de reflujo, se introduce el hidróxido sódico al 40%, el azol, el catalizador, bromuro de tetrabutil amonio (BTBA), y el 1,2-dibromoetano en una relación molar (3:1:1/40:10). La mezcla se calienta en un baño de aceite a una temperatura de 120-130ºC durante una hora. Se decanta la fase orgánica, se concentra y se purifica por cromatografía en columna (sílica gel y el/los disolvente/s adecuado/s).
1-(2-Bromoetil)pirazol (1)24
Método general A (Desde 29,4 hasta 117,6 mmoles de azol). Punto de ebullición: 38-40ºC (0,01 mm Hg). Rto.(%) = 71. I.R. (film): 3110, 3020, 2970, 2920, 1510, 1445, 1410, 1395, 1290, 1260, 1215, 1125, 1090, 1050, 965, 915, 880, 755 cm-1. Masas: m/z 176 (M+1, 11%), 174 (M-1, 11%), 95 (31%), 81 (41%), 69 (8%), 68 (100%), 54 (15%), 53 (17%), 52 (8%). 1H RMN (CDCl3): 7,56 (d, 1 H, 3J34 = 1,6 Hz, H3), 7,46 (d, 1 H, 3J45 = 2,1 Hz, H5), 6,26 (triplete aparente, 1 H, H4), 4,51 (t, 2 H, 3J = 6,4 Hz, CH2-N), 3,72 (t, 2H, 3J = 6,4 Hz, CH2-Br). 13C RMN (CDCl3): 139,8 (d, 1JC3H3 = 185,2Hz, C3), 129,7 (d, 1JC5H5 = 186,4 Hz, C5), 105,1 (d, 1JC4H4 = 177 Hz, C4), 52,9 (t, 1J = 141,6 Hz, CH2-N), 30,2 (t, 1J = 153,6 Hz, CH2-Br).
1-(2-Bromoetil)-3,5-dimetilpirazol (2)26
Método general B (Para 14,0 mmoles de azol). Punto de ebullición: 89 -90ºC (4 mmHg). Eluyente cromatográfico: Acetato de etilo. Rto. (%): 42. I.R. (film): 3130, 3030, 2960, 2920, 2870, 1550, 1455, 1420, 1385, 1300, 1260, 1215,1145, 1030, 975, 880, 780 cm-1. Masas: m/z: 204 (M+1, 11%), 203 (M, 1%), 202 (M-1, 11 %), 123 (4%), 109 (43%), 97 (6%), 96 (100%), 95 (35%), 82 (6%), 81 (6%), 68 (11%), 55 (6%). 1H RMN (CDCl3): 5,79 (s, 1 H, H4), 4,31 (t, 2 H, 3J = 6,7 Hz, CH2-N), 3,68 (t, 2 H, 3J= 6,7 Hz, CH2-Br), 2,27 (s, 3 H, CH3-5), 2,21 (s, 2 H, CH3-3-). 13C RMN (CDCl3): 148,0 (s, C3), 139,2 (s, C5), 104,9 (d, 1JC4H4 = 172,6 Hz, C4), 49,3 (t, 1J = 140,7 Hz, CH2-N), 30,2 (t, 1J = 153,4 Hz, CH2-Br), 13,3 (c, 1J = 126,9 Hz, CH3-3-), 10,8 (c, 1J = 128,5 Hz, CH3-5-).
1-(2-Bromoetil)indazol (3)
Método general A (Desde 4,24 hasta 17,0 mmoles de azol). Eluyente cromatográfico: Hexano-Acetato de etilo / 6:4. Rto. (%): 44. I.R. (film): 3080, 3060, 2980, 2940, 1645, 1615, 1500, 1465, 1435, 1420, 1315, 1300, 1275, 1230,1210, 1160, 1010, 910, 850, 835, 755, 745 cm-1. Masas: m/z: 226 (M+1, 17%), 225 (M, 1%), 224 (M-1, 17%), 132 (9%), 131 (100%), 118 (16%), 104 (11%), 103 (15%), 89 (8%), 77 (21%), 63 (17%), 51 (9%). 1H RMN (CDCl3): 8,04 (d, 1 H, 5J37 = 0,8 Hz, H3), 7,78 (ddd, 1 H, 3J45 = 8,0 Hz, 4J46 = 0,9 Hz, 5J47 = 0,9 Hz, H4), ~ 7,45 (m, 2 H, H6 y H7), 7,20 (ddd, 1 H, 3J45 = 8,0 Hz, 3J56 = 6,2 Hz, 4J57 = 1,8 Hz, H5), 4,76 (t, 2 H, 3J = 6,8 Hz, CH2-N), 3,79 (t, 2 H, 3J = 6,8 Hz, CH2-Br). 13C RMN (CDCl3): 139,5 (s, C7a), 133,7 (d, 1JC3H3 = 189,9 Hz, C3), 126,3 (d, 1JC6H6 = 165,7 Hz, C6), 123,6 (s, C3a), 120,9 (d, 1JC5H5 = 154,9 Hz, C5), 120,6 (d, 1JC4H4 = 165,4 Hz, C4), 49,7 (t, 1J = 141,4 Hz, CH2 -N), 29,4 (t, 1J = 153,5 Hz, CH2-Br).
Método general B. (Desde 4,24 hasta 17,0 mmoles de azol). Eluyente cromatográfico: Hexano-Acetato de etilo / 6:4.Rto. (%): 46.
2-(2-Bromoetil)indazol (4)
Método general A (Desde 4,24 hasta 17,0 mmoles de azol). Eluyente cromatográfico: Hexano-Acetato de etilo / 6:4. Rto. (%): 20. I.R. (film): 3120, 3060, 2970, 2920, 1625, 1510, 1470, 1425, 1380, 1350, 1310, 1265, 1160, 1140, 785, 760 cm-1. Masas: m/z: 226 (M+1, 11%), 225 (M, 1%), 224 (M-1, 11%), 119 (9%), 118 (100%), 103 (4%), 91 (9%), 89 (9%), 77 (10%), 63 (16%), 51 (5%). 1H RMN (CDCl3): 8,00 (d, 1 H, 5J37 = 0,8 Hz, H3), 7,70 (dddd, 1 H, 3J67 = 7,3 Hz, 4J57 = 0,9 Hz, 5J47 = 1,0 Hz, 5J37 = 0,8 Hz, H7), 7,66 (ddd, 1 H, 3J45 = 7,3 Hz, 4J46 = 1,0 Hz, 5J47 = 1,0 Hz; H4), 7,30 (ddd, 1 H, 3J67 = 7,3 Hz, 3J56= 6,7 Hz, 4J46 = 1,0 Hz, H6), 7,10 (ddd, 1 H, 3J45 = 7,3 Hz, 3J56 = 6,7 Hz, 4J57 = 0,9 Hz, H5), 4,76 (t, 2 H, 3J = 6,3 Hz, CH2-N), 3,79 (t, 2 H, 3J = 6,3 Hz, CH2-Br). 13C RMN (CDCl3): 149,0 (s, C7a), 126,1 (d, 1JC6H6 = 160,6 Hz, C6), 123,6 (d, 1JC3H3 = 189,9 Hz, C3), 121,6 (d, 1JC5H5 = 159,7 Hz, C5), 121,2 (s, C3a), 120,1 (d, 1JC4H4 = 156,4 Hz, C4), 117,0 (d, 1JC7H7 = 167,0 Hz, C7), 54,5 (t, 1J = 142,6 Hz, CH2-N), 29,4 (t, 1 J = 155,6 Hz, CH2-Br).
Método general B (Desde 4,24 hasta 17,0 mmoles de azol). Eluyente cromatográfico: Hexano-Acetato de etilo / 6:4. Rto. (%): 14.
Síntesis de N-2-(azol-1(2)-il)etiliminodiacetatos de metilo ó N-(metoxi-carbonilmetil)-N-(2-azol-1(2)-iletil)glicinatos de metilo
Se emplearon los bromoetilazoles sintetizados previamente y purificados. El iminodiacetato de metilo utilizado, se obtuvo a partir del iminodiacetonitrilo comercial según el método descrito en la literatura.27
Método general
En un matraz de fondo redondo equipado con refrigerante de reflujo y tubo de cloruro cálcico, se introduce el bromoetilazol y el iminodiacetato de metilo en una relación molar (1:2). La mezcla se calienta en un baño de aceite a una temperatura de 110ºC durante un espacio de tiempo de 2,30 a 4,30 horas. La mezcla de reacción se enfría y se extrae con cloruro de metileno, se concentra y se purifica por destilación y/o cromatografía en columna (sílica gel y el /los disolvente/s adecuado/s).
N-(2-pirazol-1-il)etil1iminodiacetato de metilo ó N-(metoxicarbonilmetil)-N-(2-pirazol-1-iletil)giicinato de metilo (5)
Método general. (Desde 2,24 hasta 6,7 mmoles de 1-(2 -bromoetil)pirazol). Tiempo de reacción: 2,5 h. Eluyente cromatográfico Hexano-Etanol / 8:2. Punto de ebullición: 128-130ºC (0,05-0,01 mm Hg). Rto. (%): 55. I.R. (film): 3140, 3120, 3000, 2960, 2840, 1740, 1510, 1435, 1395, 1365, 1280, 1205, 1180, 1145,1090, 1060, 1040, 1010, 880, 760 cm-1. Masas: m/z: 256 (M+1, 4%), 255 (M, 13%), 196 (28%), 188 (6%), 187 (50%), 174 (55%), 146 (40%), 128 (70%), 116 (27%), 100 (17%), 95 (17%), 94 (14%), 81 (18%), 69 (14%), 68 (37%), 59 (18%), 56 (25%), 54 (18%), 45 (100%). 1H RMN (CDCl3): 7,53 (d, 1 H, 3J34 = 1,8 Hz, H3), 7,50 (d, 1 H, 3J45 = 2,0 Hz, H5), 6,22 (triplete aparente, 1 H, H4), 4,24 (t, 2 H, 3J = 6,2 Hz, CH2 -Azol), 3,19 (t, 2 H, 3J = 6,2 Hz, CH2-N-). 13C RMN (CDCl3): 171,6 (s, 2 C, CO), 139,3 (d, 1JC3H3 = 186,9 Hz, C3), 130,0 (d, 1JC5H5 = 190,9 Hz, C5), 105,1 (d, 1JC4H4 = 176,3 Hz, C4), 55,3 (t, 2 C, 1J = 136,5 Hz, CH2-CO-), 54,7 (t, 1J = 135,8 Hz, CH2-N-), 51,5 (c, 2 C, 1J = 147,2 Hz, CH3), 51,2 (t, 1J = 139,6 Hz, CH2-Azol). Picrato: Punto de fusión: 91-93ºC. Análisis elemental de C17H20N6O11: Calculado: %C = 42,34, %H = 4,07, %N = 17,08. Encontrado: %C = 42,31, %H = 4,10, %N = 17,11.
N-2-(3,5-dimetilpirazol-1-il)etiliminodiacetato de metilo ó N-(metoxi-carbonilmetil)-N-[2-(3,5-dimetilpirazol-1-il)etii]glicinato de metilo (6)
Método general. (Desde 2,46 hasta 5,55 mmoles de 1-(2-bromoetil)-3,5 -dimetil pirazol).- Tiempo de reacción: 3,5 h. Punto de ebullición: 140-142ºC (0,05-0,01 mm Hg). Rto. (%):65. I.R.: 3130, 3000, 2960, 2930, 2870, 2220, 1740, 1550, 1435, 1385, 1260, 1200, 1180, 1170, 1120, 1050, 1020, 915, 775, 730 cm-1. Masas: m/z: 283 (M, 5%), 224 (13%), 187 (28%), 174 (27%), 146 (35%), 128 (55%), 124 (7%), 116 (19%), 114 (6%), 109 (7%), 100 (9%), 97 (19%), 96 (16%), 82 (14%), 68 (6%), 59 (9%), 56 (12%), 54 (7%), 45 (100%). 1H RMN (CDCl3): 5,74 (s, 1 H, H4), 4,07 (t, 2 H, 3J = 6,8 Hz, CH2 -Azol), 3,67 (s, 6 H, CH3), 3,47 (s, 4 H, CH2-CO-), 3,09 (t, 2 H, 3J = 6,8 Hz, CH2-N-), 2,24 (s, 3 H, CH3-5-), 2.18 (s, 3 H, CH3-3). 13C RMN (CDCl3): 171,2 (s, 2 C, CO), 147,0 (s, C3), 139,1 (s, C5), 104,4 (d, 1JC4H4 = 172,1 Hz, C4), 55,1 (t, 2 C, 1J = 136,4 z, CH2-CO-), 54,2 (t, 1J = 136,6 Hz, CH2-N-), 51,1 (c, 2 C, 1J = 142,1 Hz, CH3), 47,5 (t, 1J = 138,8 Hz, CH2-Azol), 13,0 (c, 1J = 123,4 Hz, CH33 -3-), 10,5 (c, 1J = 127,9 Hz, CH3-5-). Picrato: Punto de fusión: 83-85ºC. Análisis elemental de C19H24N6O11: Calculado: %C = 44,53, %H = 4,69, %N = 16,41. Encontrado: %C = 44,58, %H = 4,64, %N = 16,54.
N-2-(indazol-1-il)etiliminodiacetato de metilo ó N-(metoxicarbonilmetil)-N-(2-indazol-1-iletil)glicinato de metilo (7)
Método general. (Para 6 mmoles de 1-(2-bromoetil)indazol). Tiempo de reacción: 4,5 h. Punto de ebullición: 160-162ºC (0,01 mm Hg). Rto. (%): 56. I.R. (film): 3060, 3000, 2950, 2850, 1740, 1610, 1505, 1470, 1435, 1315, 1200, 1180, 1160, 1120, 1085, 1010, 910, 830, 755, 740 cm-1. Masas: m/z: 305 (M, 6%), 246 (11%), 187 (23%), 175 (6%), 174 (72%), 146 (39%), 131 (6%), 128 (17%), 118 (11%), 116 (20%), 115 (6%), 94 (10%), 91 (5%), 77 (1 4%), 56 (8%), 51 (5%), 45 (100%). 1H RMN (CDCl3): 7,99 (d, 1 H, 5J37 = 0,8 Hz, H3), 7,71 (ddd, 1 H, 3J45 = 8,1 Hz, 4J46 = 1,0 Hz, 5J47 = 1,0 Hz, H4), 7,50 (dddd, 1 H, 3J67 = 8,1 Hz, 4J57 = 0,8 Hz, 5J47 = 1,0 Hz, 5J37 = 0,8 Hz, H7), 7,37 (ddd, 1 H, 3J67 = 8,1 Hz, 3J56 6,8 Hz, 4J46 = 1,0 Hz, H6), 7,13 (ddd, 1 H, 3J45 = 8,1 Hz, 3J56 = 6,8 Hz, 4J57 = 0,8 Hz, H5) 4,54 (t, 2 H, 3J = 6,8 Hz, CH2 -Azol), 3,65 (s, 6 H, CH3), 3,49 (s, 4 H, CO-CH2-N), 3,26 (t, 2 H, 3J = 6,8 Hz, CH2-N-). 13C RMN (CDCl3): 171,1 (s, 2 C, CO), 139,4 (s, C7a), 132,7 (d, 1JC3H3 = 189,3 Hz, C3), 125,8 (d, 1JC6H6 = 160,7 Hz, C6), 123,6 (s, C3a), 120,5 (d, 1JC5H5 = 161,3 Hz, C5), 120,1 (d, 1JC4H4 = 160,9 Hz, C4), 108,9 (d, 1JC7H7 = 163,6 Hz, C7), 55,1 (t, 2 C, 1J = 137,8 Hz, CH2-CO-), 53,5 (t, 1J = 135,8 Hz, CH2-N-), 51,1 (c, 2 C, 1J = 147,0 Hz, CH3), 47,7 (t, 1J = 139,2 Hz, CH2-Azol). Picrato:Punto de fusión: 105,5-107,5ºC. Análisis elemental de C21H22N6O11: Calculado: %C = 47,19, %H = 4,20, %N = 15,73. Encontrado: %C = 46,80, %H = 4,07, %N = 15,31.
N-2-(indazol-2-il)etilminodiacetato de metilo ó N-(metoxicarbonilmetil)-N-(2-indazol-2-iletil)glicinato de metilo (8)
Método general (Para 3,32 mmoles de 2-(2-bromoetil)indazol). Temperatura del horno: 250ºC (0,01 mm Hg). En horno de bolas. Rto. (%): 60. I.R. (film): 3120, 3060, 3000, 2960, 1735, 1620, 1505, 1430, 1375, 1355, 1200, 1180, 1160, 1055, 1010, 980, 905, 785, 760, 745 cm-1. Masas: m/z: 305 (M, 10%), 246 (11%), 187 (31%), 174 (26%), 146 (28%), 128 (57%), 119 (8%), 118 (36%), 116 (13%), 114 (10%), 100 (9%), 94 (6%), 91 (6%), 89 (6%), 77 (9%), 59 (10%), 56 (7%), 54 (5%), 45 (1 00%). 1H RMN (CDCl3): 8,11 (d, 1 H, 5J37 = 0,9 Hz, H3), 7,69 (dddd, 1 H, 3J67 = 7,7 Hz, 4J57 = 1,0 Hz, 5J47 = 1,2 Hz, 5J37 = 0,9 Hz, H7), 7,65 (ddd, 1 H, 3J45 = 6,3 Hz, 4J46 = 1,2 Hz, 5J47 = 1,2 Hz, H4) 7,27 (ddd, 1 H, 3J56 = 8,3 Hz; 3J67 = 7,7 Hz, 4J46 = 1,2 Hz, H6), 7,06 (ddd, 1 H, 3J56 = 8,3 Hz, 3J45 = 6,3 Hz, 4J57 = 1,0 Hz, H5), 4,52 (t, 2 H, 3J = 6,1 Hz, CH2-Azol), 3,65 (s, 6 H, CH3), 3,46 (s, 4 H, CH2-CO-), 3,35 (t, 2 H, 3J = 6,1 Hz, CH2-N-). 13C RMN (CDCl3): 171,5 (s, 2 C, CO), 148,7 (s, C7a), 125,7 (d, 1JC6H6 = 165,2 Hz, C6), 124,0 (d, 1JC3H3 = 190,3 Hz, C3), 121,5 (s, C3a), 121,2 (d, 1JC4H4 = 159,4 Hz, C4), 120,1 (d, 1JC5H5 = 165,2 Hz, C5), 117,0 (d, 1JC7H7 = 160 Hz, C7), 55,5 (t, 2 C, 1J = 137,6 Hz, CH2-CO-), 55,0 (t, 1J = 136,5 Hz, CH2-N-), 52,7 (t, 1J = 141,2 Hz, CH2-Azol), 51,4 (c, 2 C, 1J = 147,2 Hz, CH3). Picrato. Punto de fusión: 140,6-142,4ºC.- Análisis elemental de C21H22N6O11: Calculado: %C = 47,19, %H = 4,20, %N = 15,73. Encontrado:%C = 47,40, %H = 4,62, %N = 15,61.
Hidrólisis de N-2-(azol-1(2)-iletiliminodiacetatos de metilo ó N-(metoxicarbonil-metil)-N-(2-azol-1(2)-iletil)glicinatos de metilo
Se emplearon los ésteres anteriormente sintetizados y purificados. El HCl y el NaOH utilizados fueron comerciales, usándose sin purificación adicional.
Método general A: Hidrólisis ácida
En un matraz de fondo redondo equipado con refrigerante de reflujo se introduce el ester y el HCl 2 N en una relación molar (1:18). La mezcla se calienta en un baño de aceite a una temperatura de 100ºC durante 4 horas. Se concentra y se purifica el hidrocloruro de ácido correspondiente por recristalización (empleando el/los disolvente/s adecuado/s).
Método general B: Hidrólisis básica
En un matraz de fondo redondo equipado con refrigerante de reflujo, se introduce el éster y NaOH al 0,6% en una relación molar (1:2). La mezcla se mantiene con agitación a temperatura ambiente durante al menos 24 horas. Se concentra y se obtiene la sal disódica.
Hidrocloruro del ácido N-(2-pirazol-1-il)etiliminodiacético ó hidrcloruro de la N-(carboximetil)-N-(2-pirazol-1-iletil)glicina (9)
Método general A (Para 0,7 mmoles de éster). Punto de fusión: 142,5 -144,5ºC. Disolvente para la recristalización: EtOH / Et2O. Rto. (%): ~ 100. 1H RMN (D2O): 7,70 (d, 1 H, 3J45 = 2,4 Hz, H5), 7,61 (d, 1 H, 3J34 = 2,2 Hz, H3), 6,31 (triplete aparente, 1 H, H4), 4,53 (t, 2 H, 3J = 6,0 Hz, CH2-Azol), 3,70 (t, 2 H, 3J = 6,0 Hz, CH2-N-). Análisis elemental de C9H13N3O4.HCl: Calculado: %C = 40,98, %H = 5,35, %N = 15,93. Encontrado: %C = 41,07, %H = 5,28, %N = 15,50.
N-(2-pirazol-1-il)etiliminodiacetato sódico ó sal disódica de N-(carboximetil)-N-(2-pirazol-1-iletil)glicina (10)
Método general B (Desde 4 hasta 40 mmoles de éster). Rto. (%): ~ 100. I.R. (KBr): 3130, 3100, 2960, 2940, 2870, 2840, 1730, 1600, 1505, 1425, 1395, 1345, 1300, 1205, 1180, 1140, 1115, 1090, 1055, 1030, 905, 870, 775, 740 cm-1. 1H RMN (D2O): 7,63 (dd, 1 H, 3J45 = 1,8 Hz, 4J 35 = 0,6 Hz, H5), 7,49 (dd, 1 H, 3J34 = 1,5 Hz, 4J35 = 0,6 Hz, H3), 6,26 (triplete aparente, 1 H, H4), 4,21 (t, 2 H, 3J = 6,7 Hz, CH2-Azol), 3,09 (s, 4 H, CH2-CO-), 2,98 (t, 2 H, 3J = 6,7 Hz, CH2-N-).
N-2-(3,5-dimetilpirazol-1-il)etiliminodiacetato sódico ó sal disódica de N-(carboximetil)-N-[2-(3,5-dimetilpirazol-1-il)etil]glicina (11)
Método general B. (Desde 0,353 hasta 0,706 mmoles de éster). Rto. (%): ~ 100. I.R. (KBr): 2980, 2950, 2920, 2880, 2830, 1600, 1550, 1420, 1350, 1300, 1260, 1230, 1200, 1140, 1095, 1040, 1010, 1000, 920, 940, 900, 825, 770 cm-1. 1H RMN (D2O): 5,85 (s, 1 H, H4), 4,04 (t, 2 H, 3J = 7,5 Hz, CH2 -Azol), 3,16 (s, 4 H, CH2-CO-), 2,90 (t, 2 H, 3J = 7,5 Hz, CH2-N-), 2,17 (s, 3 H, CH3-5-), 2,07 (s, 3 H CH3-3-).
N-[2-(indazol-1-il)etil]iminodiacetato sódico ó sal disódica de N-(carboximetil)-N-(2-indazoi-1-iletil)glicina (12)
Método general B (Para 0,492 mmoles de ester).- Rto. (%): ~ 100. I.R. (KBr): 3090, 3050, 2940, 2920, 2870, 2830, 1600, 1460, 1430, 1350, 1330, 1315, 1300, 1250, 1210, 1180, 1140, 1070, 1005, 940, 905, 880, 830, 795, 740 cm-1. 1H RMN (D2O): 8,02 (d, 1 H, 5J37 = 1,0 Hz, H3), 7,75 (ddd, 1 H, 3J45 = 8,1 Hz, 4J46 = 1,1 Hz, 5J47 = 1,0 Hz, H4), 7,57 (dddd, 1 H, 3J67 = 7,8 Hz, 4J57 = 0,9 Hz, 5J47 = 1,0 Hz, 5J37 = 1,0 Hz, H7), 7,43 (ddd, 1 H, 3J67 = 7,8 Hz; 3J56 = 6,8 Hz, 4J46 = 1,1 Hz, H6), 7,14 (ddd, 1 H, 3J45 = 8,1 Hz; 3J56 = 6,8 Hz, 4J57 = 0,9 Hz, H5) 4,46 (t, 2 H, 3J = 7,0 Hz, CH2-Azol), 3,14 (s, 4 H, CH2 -CO-), 3,04 (t, 2 H, 3J = 7,0 Hz, CH2-N-).
N-2-(indazol-2-il)etiliminodiacetato sódico ó sal disódica de N-(carboximetil)-N-(2-indazol-2-iletil)glicina (13)
Método general B (Para 0,492 mmoles de éster). Rto. (%): ~ 100. I.R. (KBr): 3110, 3070, 2950, 2920, 2870, 2830, 1600, 1510, 1430, 1350, 1300, 1225, 1160, 1140, 1045, 1005, 980, 940, 905, 840, 775, 755 cm-1. 1H RMN (D2O): 8,29 (d, 1 H, 5J37 = 0,9 Hz, H3), 7,71 (ddd, 1 H, 3J45 = 8,4 Hz, 4J46 = 1,1 Hz, 5J47 = 1,0 Hz, H4), 7,57 (dddd, 1 H, 3J67 = 8,7 Hz, 4J57 = 1,0Hz, 5J47 = 1,0, 5J37 = 0,9 Hz, H7), 7,31 (ddd, 1 H, 3J67 = 8,7 Hz, 3J56 = 6,6 Hz, 4J46 = 1,1 Hz, H6), 7,08 (ddd, 1 H, 3J45 = 8,4 Hz, 3J56 = 6,6 Hz, 4J57 = 1,0 Hz, H5), 4,74 (t, 2 H, 3J = 6,8 Hz, CH2-Azol), 4,51 (t, 3J = 6,8 Hz, CH2-N).
Titulación de pH de las sondas. (Hidrocloruros o sales disódicas)
Se emplearon las sondas sintetizadas previamente como hidrocloruros de ácidos o como sales disódicas. Las disoluciones de NaOH se realizaron utilizando D2O 99,98 % a partir del reactivo comercial sin purificación adicional. Las de DCl se realizaron a partir de DCl concentrado comercial y empleando así mismo D2O.
Método general
Se preparan doce disoluciones 25 mM de cada una de las sondas, 10 -13, en D2O al 99% (tantas como puntos de pH se quieran analizar). Se utiliza DCl 1 M para alcanzar valores de pH ácidos, y NaOD 1 M para los valores de pH básicos. El volumen final de las muestras debe ser de 1 mL. En cada una de ellas se fija el valor de pH que se precise procurando abarcar el rango de 1 a 12 y que exista una diferencia de una unidad entre una muestra y la siguiente. Se realiza el espectro de 1H RMN de las muestras a los distintos valores de pH. Para todos los protones de cada una de las sondas, se representa su desplazamiento químico frente al pH para obtener la curva de titulación.
Medidas de quelación con CaCl2 y MgCl2. (Sales disódicas)
Se emplearon las sondas sintetizadas previamente como sales disódicas. Las disoluciones de NaOH así como las de todos los iones empleados, se realizaron utilizando D2O 99,98 % en todos los casos a partir de reactivos comerciales sin purificación adicional. Las de DCl se realizaron a partir de DCl comercial y empleando así mismo D2O.
Las disoluciones de Ca2+ y Mg2+ se prepararon a partir de CaCl22.H2O 98 % y MgCl2.6H2O 99,995 % respectivamente, y D2O como disolvente.
Método general
Se preparan dos disoluciones 25 mM de cada una de las sondas, 10-13, en D2O 99,98 % a dos valores distintos de pH: uno situado entre 11 y 12 (lo más próximo a 11), y el otro entre 9 y 10 (lo más próximo a 9). El pH se ajusta de manera análoga al apartado anterior. Se añaden 50 mL de disoluciones 1 M de CaCl2 ó MgCl2. El pH final de las muestras, en un caso debe ser próximo a 9, y en el otro próximo al pH fisiológico ( ~ 7), ajustándose si es preciso. El volumen final debe ser de 1 mL. Se realiza el espectro de 1H RMN de cada muestra. Se anota el desplazamiento químico de todos los protones de las sondas a los dos pH analizados, y para todos los iones añadidos.
Referencias Bibliográficas
Andrew, E. R.; Byder, G.; Griffith, J.; Iles, R.: Styles, P.; Clinical Magnetic Resonance Imaging and Spectroscopy. John Wiley and Sons. N. Y., 1990. Cerdán, S.; Seelig, J.; Ann. Rev. Biophys. Chem., 1990, 19,43. a) Szwergold, B.; Ann. Rev. Physiol, 1992, 54, 775; b) Gil, M. S.; Zaderenko, P.; Cruz, F.; Cerdán, S.; Ballesteros, P.; Bioorg. Med. Chem., 1994, 2, 305. a) Carafoli, E.; Methods in Enzymol, 1988, 57, 3; b) Denton, R. M.; McCormack, J. G.; Ann. Rev. Physiol, 1990, 52,451. Vergara, J.; Tzien, R. Y.; Delay, M.; Proc. Natl. Acad. Sci. U.S.A., 1985, 82, 6352. Berridge, M. J.; Ann. Rev. Biochem., 1987, 56, 159. Watson, S. P.; Ruggiero, M.; Abrahamns, S. L.; Lapetina, E. G.; J. Biol. Chem., 1986, 261, 5368. Brass, L. F.; Joseph, S. K.; J Biol. Chem., 1985, 260, 15172. Lapetina, E. G.; Watson, S. P.; Cuatrecasa, P.; Proc. Natl. Acad. Sci. U.S.A., 1984, 81, 7531. Carafoli, E.; Caroni. P.; Chiesi, M.; Famulski, K.; Metabolic Compartmentation. H. Sies, Ed., Academic Press, 1982, pag. 521. Wilson, D. B.; Connolley, T. M.; Bross, T. E.; Majerus, P. N.; Sherman, W. R.; J. Biol Chem., 1985, 260,13946. a) Carafoli, E.; Ann. Rev. Biochem., 1987, 56, 395; b) Meldolesi, J.; Pozzan, T.; Exp. Cell. Res., 1987,171, 271. Tsien, R. Y.; Methods in Cell Biology, 1989, 30, 127. McCormack, J. G.; Cobbold, P. H.; Cellular Calcium: A Practical Approach. IRL Press. Oxford University Press. Oxford. 1991. Anderegg, G.; Complexones en Comprehensive Coordination Chemistry, Wilkinson, G.; Gillard, R. D.; McCleverty, J. A. Editores. Vol 2. Pergamon Press, N. Y., 1987, pag. 777. Yoon, P. S.; Sharp, R. R.; Biochemistry, 1985, 24, 7269. Tsien, R. Y.; Biochemistry, 1980, 19, 2396. Smith, G. A.; Hesketh, R. T.; Metcalfe, J. C.; Feeney, J.; Morris, P. G.; Proc. Natl. Acad. Sci. U.S.A., 1983, 80, 7178. Rabenstein, D. L.; Millis. K. K.; Strauss, E. J.; Anal. Chem., 1988, 60, 1380A.
Dehmlow, E. V.; Dehmlow, S. S. Phase Trasfer Catalysis. VCH. 1993. Elguero, J.; Claramunt, R. M.; Garcerán, R.; Heterocycles, 1985, 24, 2233. Canty, A. J.; Honeymnan, R. T. J. Organomet. Chem., 1990. 387,247. Torres, J.; Lavandera, J. L.; Cabildo, P.; Claramunt, R. M.; Elguero, J.; J. Heterocycl. Chem., 1988, 25, 771. Ochi, H.; Miyasaka, T.; Arakawa, K. Yakugaku Zasshi, 1978, 98 (2), 165. Chem. Abst, 1978, 89:24213k Koelsch, C. F.; Robinson, F. M. J. Org. Chem., 1956, 21, 1211. Schwarzenbach, G.; Anderegg, G.; Schneider, W.; Senn, H.; Helv. Chim. Acta, 1955, 38, 1147.