Estado de la Técnica
A partir de 1977 comenzaron a aparecer diversas publicaciones del Central Institute of Medicinal and Aromatic Plants de la India y de investigadores de la Hoescht India Limited (Bombay)1-9 referentes al aislamiento de una serie de 11-ceto óxidos de manoilo de los que un producto mayoritario, denominado forskolina (1), ha demostrado ser una nueva droga con aplicación en el tratamiento del glaucoma10, contra enfermedades de congestión cardiaca11 y asma bronquial12. Es además un producto, quizá el único conocido hasta ahora, que actúa directa o intracelularmente sobre la adenilatociclasa, lo que constituye una importante herramienta para los procesos fisiológicos regulados por el AMP cíclico13. Los detalles de su estereoquímica se pueden apreciar mejor en la estructura 2.
La interacción entre la forskolina (1) y la adenilato ciclasa (AC) es tan fuerte y selectiva que la forskolina ha sido utilizada incluso como ligando de afinidad unida a resina de Sepharosa para el aislamiento del enzima14. Las propiedades han sido revisadas15.
Se han realizado también una serie de transformaciones microbiológicas, para dar lugar a 3-hidroxiderivados que perdieron su actividad biológica16. Tambien se han incubado 1,9-dideoxi-forskolinas, dando principalmente lugar a derivados hidroxilados en C-2 y C-3 con muy poca actividad biológica17, aunque un 15,16-dihidroxiderivado obtenido, figura como patente18.
Actualmente se publican gran cantidad de trabajos, sobre todo de experiencias in vitro de la acción de la forskolina19, de análogos de la forskolina20 y de algún otro labdano en este caso para el estudio del comportamiento locomotor en animales21.
Como puede comprobarse, la forskolina y sus análogos tienen gran interés por la actividad directa de la adenilatociclasa (AC) que trae como consecuencia un aumento en el nivel del AMP cíclico intracelular, influyendo además en una serie de procesos enzimáticos interrelacionados con este proceso. Son sin embargo muy escasos los productos que inhiban actividad en la AC. Cabe en este sentido destacar en la insulina, hormona que actúa extracelularmente a través de su receptor correspondiente y que provoca a través de las proteinas G una inhibición de la actividad de la AC, regulando sin embargo también el metabolismo de azúcares en forma opuesta a como lo hace el glucagón. Actuando a otro nivel, directamente sobre las proteinas G, los aniones fluoruro también inhiben la actividad de la AC. Son también muy estudiados los esteres de phorbol, diterpeno aislado de plantas del género Euphorbia, como promotores de tumores, sobre de piel, y por su acción sobre el nivel de AMP cíclico, aunque a nivel endocelular con acción sobre la proteinaquinasa-C, a través de la variación de los niveles de calcio22. Como puede comprobarse los productos activos en este sentido son muy escasos, y de ahí el interés en la búsqueda de nuevas estructuras que actúen como inhibidores de la AC.
Descripción de la invención
Se trata de patentar un producto semisintético inhibidor de la actividad de la AC. Este producto se trata de un óxido de manoilo de la serie enantio, obtenido semisintéticamente por vía químico-microbiológica a partir de un producto natural aislado de una Sideritis, aunque evidentemente también puede obtenerse por síntesis total.
ent-11b ,16-dihidroxi-18-nor-4a -carboximetil-óxido de manoilo (3)
ent-11b ,16-dihidroxi-18-nor-4a -carboximetil-13(S)-óxido de manoilo (3)
ent-11b ,16-dihidroxi-18-nor-4a -carboximetil[8a ,13(S)]-epoxilabd-14-eno (3)
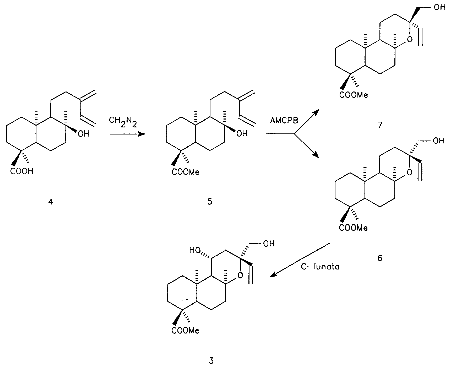
Este producto 3 puede obtenerse, por ejemplo, de la siguiente manera: A partir del producto natural 423, por metilación con diazometano se obtiene el producto 5 cuya epoxidación con un perácido o sus precursores (por ejemplo ácido metacloroperbenzóico), produce la ciclación expontánea que conduce a los dos epímeros en C-13 (6 y 7), separación por métodos cromatográficos de los dos epímeros e incubación del epímero 6 con Curvularia lunata [cepa CECT 2130 de la Colección Española de Cultivos Tipo (ATCC 12017; NRRL 2380; CMI 61535; IFO 6299; QM 120H; Chas Pfizer Co. CBS 215.54)] para dar lugar al compuesto 3 (vease esquema). Un típico procedimiento de incubación con este hongo hidroxilante se encuentra descrito en la parte experimental de la publicación indicada en la referencia 24 así como también se encuenta descrito en otras publicaciones nuestras25.
Este producto (3) inhibe fuertemente (K= 0.5) la actividad de la AC a concentración 1 mM, inhibiendo la actividad basal, inhibiendo la actividad de la AC activada previamente por fluoruros o por forskolina. No inhibe la actividad de la AC previamente activada por glucagón.
(Ver Fórmulas en la página siguiente.)
Ejemplo
Para la obtención del producto 3, se utiliza como producto de partida el ácido 6-desoxiandalusoico (ent-8a -hidroxilabda-13(16),14-dien-18-oico, 4), aislado de la Sideritis varoi subsp cuatrecasasii23. El ácido 4 se disuelve en éter etílico y se le adiciona una disolución de diazometano en éter etílico25. La reacción se controla por cromatografía de capa fina y una vez finalizada se concentra a vacío para eliminar el éter y se cromatografía en columna, obteniendo el ent-8a -hidroxilabda-13(16),14-dien-18-oato de metilo25 (5). El tratamiento del éster 5 con ácido metacloroperbenzóico en cloroformo a 0ºC durante 24 horas da lugar después de su separación por cromatografía en columna al ent-[8a ,13(R)]-epoxi-16-hidroxi-18-nor-4a -carboximetil-labda-14-eno25 (6) y ent-[8a ,13(R)]-epoxi-16-hidroxi-18-nor-4a -carboximetil-labda-14-eno25 (7). El producto 6 (300 mg) se disolvió en 10 ml de etanol y fue distribuido en 10 Erlenmeyer que contenían el cultivo de Curvularia lunata (preparado como se indica en la ref. 24). La incubación se mantiene durante 7 días originando una mezcla de metabolitos que una vez recuperados del medio24 y separados por cromatografía en columan nos permite obtener como metabolito mayoritario el ent-11b ,16-dihidroxi-18-nor-4a -carboximetil-[8a ,13(S)]-epoxilabd-14-eno(3, 78 mg, 25 %):
[a ]D = -35º (c 0.7, CHCl3)
IR (m max, cm-1) 3480, 3084, 1722, 1458, 1388, 1247, 1041, 926, 737.
1H RMN (300 MHz, d ): 5.76 (1H, dd, J1=17.4, J2=10.8 Hz, H-14); 5.21 (dd, 1H, J1=17.4, J2=1.3, Hz) y 5.08 (1H, dd, J1=10.8, J2=1.3 Hz) (2H-15); 4.41 (1H, m, H-11); 3.62 (3H, s, grupo OMe); 3.52 y 3.35 (2H, sistema AB, J=11.1 Hz, 2H-16); 1.52 (3H, s, 3H-17); 1.17 y 1.12 (3H cada uno, s, 3H-19 y 3H-20).
13C RMN (75.47 MHz, d (C)): 38.23a (1), 17.44 (2), 36.77 (3), 47.47 (4), 51.356 (5), 22.93 (7), 75.78b (8), 55.96 (9), 37.49 (10), 64.08 (11), 38.68a (12), 75.48b (13), 143.44 (14), 114.21 (15), 68.49 (16), 27.30 (17), 179.21 (18), 16.35 (19), 17.55 (20), 51.98 (COOMe) (valores con el mismo superíndice pueden ser intercambiables).
EM (Ionización Quimica) (%): [M+1]+ 367 (100), 349 (48), 331 (34).
Bibliografia
1. Tadon, J.S., Dhar, M.M., Ramkumar, S. y Venkatesan, K., (1977), Indian J. Chem., 15B, 880.
2. Bhat, S.V., Bajwa, B.S., Dornauer, H., De Souza, N.J. y Fehlhaber, H.W., (1977), Tetrahedron Letters, 1699.
3. Jauhari, P.K., Katti, S.B., Tandon, J.S: y Dhar, M.M., (1978), Indian J. Chem., 16B, 1055.
4. Tandon, J.S., Jauhari, P.K., Singh, R.S. y Dhar, M.M., (1978), Indian J. Chem., 16B, 341
5. Katti, S.B., Jauhari, P.K. y Tandon, J.S., (1979), Indian J. Chem., 17B, 321.
6. Painuly, P., Katti, S.B. y Tandon, J.S., (1979), Indian J. Chem., 18B, 214.
7. Bhat, S. V., Dohadwalla, A. N., Bajwa, B. S., Dadkar, N. K., Dornauer, H. y De Souza, N. J., (1983), J. Med. Chem., 26, 486.
8. Saxena, A.K., Green, M.J., Shue, H.J., Wong, J.K. y McPhail, A.T., (1985), Tetrahedron Letters, 26, 551.
9. Prakash, O., Roy, R.. y Dhar, M.M., (1986), J. Chem. Soc. Perkin Trans II, 1779.
10. Caprioli, J., Sears, M., (1983), Lancet, 958.
11. Erhardt, P.W., (1987), J. Med. Chem., 30, 231.
12. Lichey, J., Friedrich, t., Priesnitz, M., Biamino, G., Usinger, P., Huchauuf, H., (1984), Lancet, 167.
13. (a) Pfeuffer, E., Dreher, R.M., Metzger, H., Pfeuffer, T., (1985), Proce. Natl. Acad. Sci. USA, 82, 3086. (b) May, D.C., Ross, E. M., Gilman, A.G., Smigel, M.D., (1985), J. Bio. Chem., 260, 15829. (c) Smigel, M.D., (1986), J. Biol. Chem., 261, 1976.
14. Pfeuffer, E., Dreker, R.M., Metzger, H. y Pfeuffer, T., (1985), Proc. Natl. Acad. Sci. USA, 82, 3086.
15. De Souza, N.J. Dohadwalla, A.N. y Reden, J., (1983), Medicinal Research Reviews, 3, 201.
16. KHandelwal, Y. de Souza, N.J., Chatterjee, S., Ganguli, B.N. y Rupp, R.H., (1987), Tetrahedron Letters, 28(35), 4089.
17. Khandelwal, Y., Inamdar, P.K., de Souza, N. J., Rupp, R. H., Chatterjee, S. y Ganguli, B.N., (1988), Tetrahedron, 44(6), 1661.
18. Polyoxygenated labdane Terpenoid, Indian Patent Application No. 346/BOM/84, fecha 14 Diciembre de 1984.
19. (a) Valensi, P., Lelievre, B., Sandrebanon, D. y Attali, J.R., (1991), Pathologie Biologie 39 (3), 205. (b) Nishikawa, T., kasajima, T. y Kanai, T., (1991), Toxicology Letters, 56, 145. (c) Moran, W.M. y Valentich, J.D., (1991), American Journal of Physiology, 260, (4), C824.
20. Hubbard, J.W., Conway, P.G., Nordstrom, L.C., Hartman, H.B., Lebedinsky, Y., Omalley, G.J. y Kosley, R.W., (1991), Journal of Pharmacology and Experimental Therapeutics, 256 (2), 621.
21. (a) Georgieva, J., (1990), Methods and Findings in Experimental and Clinical Pharmacology, 12, (9), 591. (b) Geogieva, J. y Danchev, N., (1990), Methods and Findings in Experimental and Clinical Pharmacology, 12(10), 679.
22. Ashedel, C.L. (1987) Biochim. Biphys. Acta., 822, 219.
23. García-Granados, A. Martínez, A., Molina, A., Onorato, M.E., Rico, M., Sáenz de Buruaga, A. y Sáenz de Buruaga, J.M., (1985), Phytochem., 24, 1789.
24. García-Granados, A., Martínez, A., Jiménez, M.B., Onorato, M.E., Rivas, F. y Arias, J.M., (1990), J. Chem. Res.(S), 94.
25. Arias, J.M., García-Granados, A., Jiménez, M.B., Martínez, A., Rivas, F. y Onorato M.E., (1988), J. Chem. Res. (S), 277; J. Chem. Rese. (M), 2064.