DISPOSITIVO PARA LA COMPENSACIÓN DEL FACTOR DE POTENCIA DE CONJUNTOS ELÉCTRICOS MONOFÁSICOS SOMETIDOS A UNA TENSIÓN NO SINUSOIDAL
CAMPO DE LA INVENCIÓN
La presente invención se enmarca en el campo de la ingeniería eléctrica. Más concretamente, el objeto de la invención se refiere a un dispositivo para la compensación del factor de potencia de conjuntos eléctricos monofásicos sometidos a una tensión no sinusoidal con N armónicos, al sistema eléctrico que comprende dicho dispositivo y al método de compensación del factor de potencia mediante el uso de dicho dispositivo.
ANTECEDENTES DE LA INVENCIÓN
En un sistema eléctrico podemos distinguir dos tipos de dispositivos que absorben energía de este: las cargas resistivas y las cargas reactivas. Las cargas puramente resistivas se caracterizan porque la corriente absorbida se encuentra en fase con la tensión aplicada ("corriente activa") , transformando la energía absorbida íntegramente en trabajo útil o calor. Las cargas reactivas, que comprenden tanto cargas inductivas como cargas capacitivas, almacenan la energía absorbida en forma de campo magnético (cargas inductivas) o eléctrico (cargas capacitivas) , devolviéndola a la red en un tiempo igual al que tardó en almacenarse con un consumo neto nulo. Las corrientes absorbidas por estas cargas se conocen como corrientes reactivas. En el caso de las cargas inductivas, la corriente absorbida se encuentra desfasada 90° con respecto a la tensión aplicada, y en el de las cargas capacitivas, está adelantada 90°. Sin embargo, las cargas reales que se acostumbran a encontrar en las instalaciones industriales se pueden considerar como compuestas por una parte puramente resistiva en paralelo con otra parte reactiva ideal. Ello conlleva una serie de pérdidas de energía, no lográndose una transformación completa de la energía absorbida en energía útil.
La eficiencia de un sistema eléctrico se mide a través del factor de potencia (fdp) , el cual relaciona los conceptos de potencia activa (P, potencia consumida por la carga transformable en energía útil) y potencia aparente (S, producto de la corriente total absorbida por el sistema y la tensión de alimentación) mediante la expresión:
Un factor de potencia bajo indica que hay una cantidad significativa de corriente reactiva en el circuito, lo que resulta en una ineficiencia en la utilización de la energía eléctrica. Además, esto puede conllevar penalizaciones por parte de las compañías eléctricas debido a la baja eficiencia del sistema, caídas de voltaje, aumento de las pérdidas de energía y sobrecargas de los equipos. A través de la compensación de corriente reactiva se busca, por tanto, reducir el consumo de potencia reactiva; esto es, aquella no transformable en energía útil, para mejorar así la eficiencia y reducir los costes energéticos.
Algunos de los métodos descritos en el estado de la técnica plantean propuestas de compensación total de corriente reactiva, mas no lo resuelven de una forma completa y satisfactoria. Las implementaciones iniciales se basaron en sistemas de ecuaciones no lineales que requieren de un gran esfuerzo de cómputo, aumentando exponencialmente con el número de armónicos presentes, por lo que se hacen prácticamente inviables en situaciones reales [Czarnecki, L.S. Int. J. Circuit Theor y Appl. 1983, 11 (2) , 235-239; Czarnecki, L.S. IEEE Trans. Instrum. Meas., 1988, 37 (1) , 30-34; Czarnecki, L.S. IEEE Trans. Instrum. Meas., 1989, 38 (3) , 754-759]. Esta dificultad de cálculo puede ser aliviada al linealizar los sistemas de ecuaciones involucrados, como se propone en Jeon, S.J. Electr. Eng., 2020, 102, 1567-1577. Sin embargo, dicha propuesta, aparte de presentar solo algunos casos particulares, no desarrolla un procedimiento general que garantice la compensación en cualquier circunstancia; es decir, en presencia de cualquier número razonable de frecuencias (no necesariamente armónicos de una frecuencia fundamental) , con una configuración arbitraria de las susceptancias de carga ante dichas frecuencias, y sin requerir valores negativos de capacidades o inductancias (problema que aparece inevitablemente al linealizar un sistema de ecuaciones) .
En la solicitud de patente JPH07182059A se divulga un compensador de potencia para gestionar y suprimir eficazmente corrientes armónicas de múltiples frecuencias en sistemas monofásicos o trifásicos, debido a operaciones de carga. Mediante un diseño que incorpora una primera bobina, un circuito de tiristor y al menos dos conjuntos de condensadores y segundas bobinas, dicho compensador consigue suprimir múltiples corrientes armónicas ajustando la frecuencia de resonancia de los condensadores y bobinas; particularmente, las corrientes armónicas de quinto, séptimo y undécimo orden, freciendo una mejora significativa en comparación con los compensadores convencionales. Sin embargo, este diseño no permite la eliminación de la corriente en cuadratura con la tensión e implica que la potencia activa de la carga se vea alterada tras la compensación. En la misma línea se encuentra el compensador divulgado en JP2000059998A.
En base a este estado de la técnica, surge la necesidad de desarrollar métodos de compensación más efectivos, que aprovechen de forma eficaz los fundamentos provistos por la teoría de descomposición de la corriente y que, a su vez, aseguren la compensación total de corriente reactiva en cualquier circunstancia de una forma operacionalmente clara y sencilla de implementar.
DESCRIPCIÓN BREVE DE LA INVENCIÓN
A la luz de los problemas del estado de la técnica expuestos en la sección anterior, un primer objeto de la presente invención se refiere a un dispositivo para la compensación del factor de potencia de un conjunto eléctrico monofásico sometido a una tensión no sinusoidal con N armónicos. Ventajosamente, el dispositivo de la invención comprende una pluralidad de N - 1 ramas LC conectadas en paralelo, donde cada una de dichas ramas comprende un componente capacitor con una capacitancia de valor Ck conectado en serie a una bobina con una inductancia de valor Lk, con k =1...N -1. Asimismo, dichas N - 1 ramas LC están conectadas en paralelo a una rama C, que comprende un elemento capacitor con una capacitancia de valor C0, y/o a una rama L, que comprende una bobina con una inductancia de valor L0. En el ámbito de interpretación de la presente invención, el término "o" en la selección entre una rama C y una rama L conectada en paralelo a las ramas LC se entenderá tanto como el uso de los elementos de forma aislada como en conjunto.
En el ámbito de interpretación de la presente invención, se entenderá por "conjunto eléctrico monofásico" al circuito o conjunto de elementos eléctricos conectados entre sí que produzca, distribuya y consuma energía eléctrica utilizando una única corriente alterna o fase. Asimismo, se entenderá por "rama" cualquier parte del conjunto eléctrico monofásico que se encuentre comprendida entre dos nodos consecutivos.
Un segundo objeto de la presente invención se refiere a un sistema eléctrico con compensación del factor de potencia que comprende:
- un conjunto eléctrico monofásico, donde dicho conjunto eléctrico comprende:
una fuente de alimentación alterna, donde dicha fuente genera una tensión no sinusoidal que comprende N armónicos con frecuencias de valor fn, con n=1...N; y
una carga eléctrica, conectada en paralelo a la fuente;
- un dispositivo para la compensación del factor de potencia como el descrito en el presente documento conectado en paralelo a la carga.
En el ámbito de interpretación de la presente invención, se entenderá por "carga eléctrica" cualquier componente del conjunto eléctrico monofásico que ofrezca resistencia al paso de la corriente, siendo, por tanto, consumidor de energía eléctrica. Preferentemente, una o varias resistencias, una o varias bobinas, y/o uno o varios condensadores conectados en serie. Tal y como se usa en el presente documento, el término "resistencia", así como su término equivalente "resistor", se refieren a cualquier componente eléctrico que consume energía eléctrica y la disipa en forma de calor. Del mismo modo, el término "bobina", así como los términos equivalentes "reactor" o "inductor", se refieren a cualquier componente eléctrico que almacena energía en forma de campo magnético debido al fenómeno físico de la autoinducción. Por último, el término "condensador", así como su término equivalente "capacitor", se refieren a cualquier componente eléctrico formado por al menos dos conductores separados por una lámina dieléctrica que sirve para almacenar energía eléctrica.
En una realización preferida de la invención, la carga eléctrica comprende una carga tipo RL con una resistencia equivalente de valor R y una inductancia equivalente de valor L.
En el ámbito de interpretación de la presente invención, se entenderá por "resistencia equivalente" al valor de una resistencia ficticia que reemplaza a todas las resistencias individuales comprendidas en la carga eléctrica y que consuma la misma potencia activa que éstas cuando se aplica la misma tensión. Se entenderá por "inductancia equivalente" al valor de un inductor ficticio que reemplaza a todas las bobinas individuales comprendidas en la carga eléctrica y que produce el mismo almacenamiento de energía magnética que éstas en presencia del mismo voltaje.
Un tercer objeto de la presente invención se refiere a un método de compensación del factor de potencia de un conjunto eléctrico monofásico mediante el uso del dispositivo de la invención. Dicho conjunto eléctrico monofásico comprende:
- una fuente de alimentación alterna, donde dicha fuente genera una tensión no sinusoidal que comprende N armónicos con frecuencias de valor fn, con n=1...N; y
- una carga eléctrica, conectada en paralelo a la fuente.
Ventajosamente, el método de la invención comprende la realización de los siguientes pasos en cualquier orden técnicamente posible:
- definir un conjunto de N frecuencias de valor fn para la tensión no sinusoidal generada por la fuente;
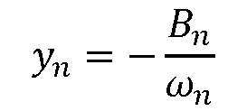
- determinar la susceptancia de la carga, Bn, para cada frecuencia fn;
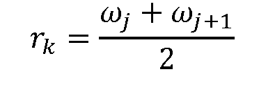
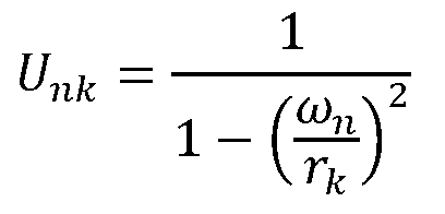
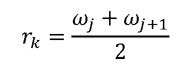
- calcular las frecuencias de resonancia rk de cada rama LC del dispositivo de la invención como la media aritmética entre frecuencias angulares consecutivas, y mj+1, de los armónicos de la tensión no sinusoidal:
donde k= 1...N - 1, j = k, y la frecuencia angular wn de cada armónico de tensión se define como:
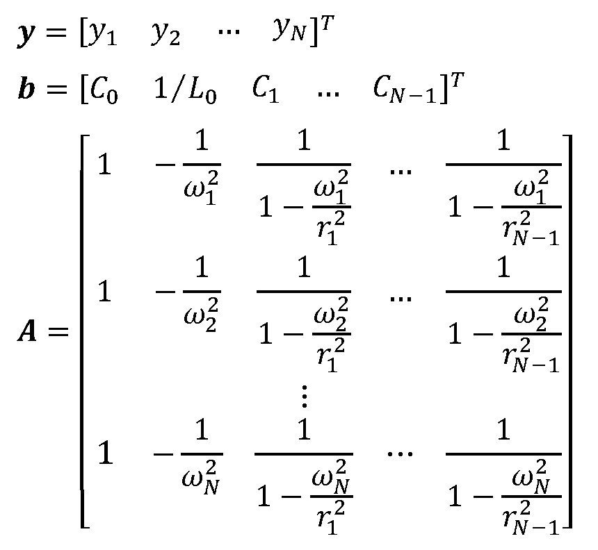
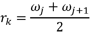
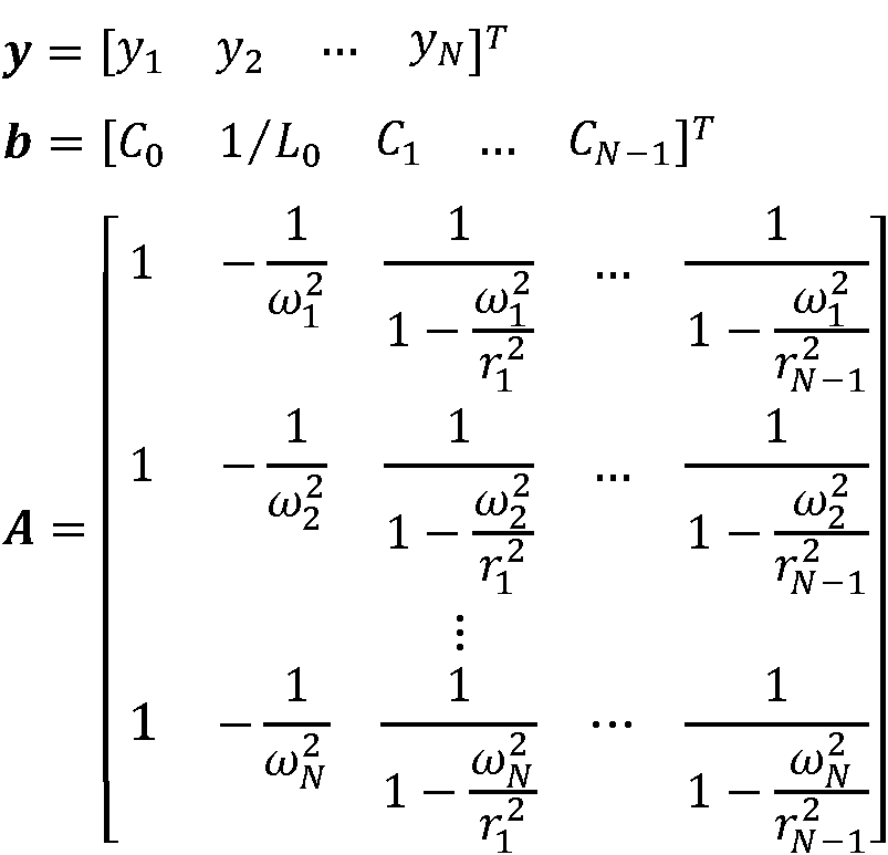
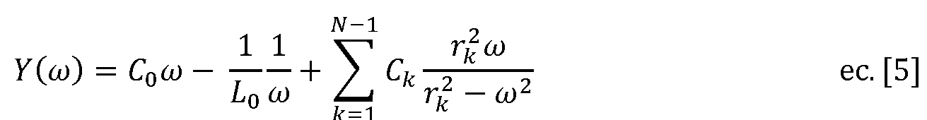
calcular la capacitancia C0 del condensador de la rama C para el cual al menos una rama LC del dispositivo se compensa completamente; una vez determinado la capacitancia C0, calcular las capacitancias Ck de los condensadores de las ramas LC empleando la expresión matricial:
donde:
y
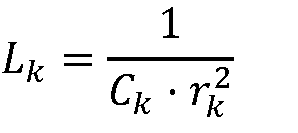
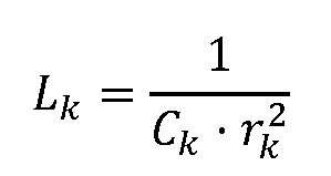
calcular las inductancias Lk de las bobinas de las ramas LC mediante la expresión:
En una realización preferida del método de la invención, la susceptancia de la carga se determina mediante la expresión:
donde R y L son los valores de resistencia e inductancia equivalentes de una carga eléctrica tipo RL, respectivamente.
En otra realización preferida de la invención, el valor de la capacitancia C0 del condensador (3') de la rama C (3) se calcula como el máximo valor no negativo que anula la capacitancia Ck del componente capacitor de una rama LC:
donde Mkn son los elementos de la matriz inversa U con elementos Unk.
En otra realización preferida de la invención, el valor de la inductancia L0 de la bobina de la rama L se determina resolviendo el sistema lineal:
donde:
En otra realización preferida del método de la invención, dicho método comprende una etapa adicional de reducir el número de ramas LC del dispositivo según cualquiera de las realizaciones descritas en el presente documento.
DESCRIPCIÓN DE LAS FIGURAS
La Figura 1 muestra una representación esquemática del sistema eléctrico de la invención. Dicho sistema comprende una fuente de alimentación alterna, que genera una tensión con N componentes de frecuencia, conectada en paralelo a una carga eléctrica genérica y al dispositivo de compensación de la invención. Dicho dispositivo comprende N - 1 ramas LC conectadas en paralelo, donde dichas ramas están asimismo conectadas en paralelo a una rama C y a una rama L.
La Figura 2a muestra un conjunto eléctrico monofásico con una carga tipo RL alimentada por una fuente de alimentación que genera una tensión no senoidal. La Figura 2b muestra el mismo conjunto eléctrico junto con el dispositivo compensador de la invención formado por 2 ramas LC serie puestas en paralelo y un condensador.
La Figura 3 muestra las formas de onda de tensión y corriente de una instalación eléctrica real a compensar según el método de la invención. La corriente está muy distorsionada y se encuentra amplificada 300 veces para mayor claridad.
La Figura 4 muestra el espectro de corriente de la instalación eléctrica real a compensar según el método de la invención.
La Figura 5 muestra el patrón de susceptancia de los 50 primeros armónicos para la carga de la instalación eléctrica real a compensar según el método de la invención.
La Figura 6 muestra la función de susceptancia (línea negra) para el compensador de la instalación eléctrica definida en el ejemplo 3 del presente documento. Los rombos negros representan los valores de susceptancia particulares de la carga a frecuencias específicas.
REFERENCIAS NUMÉRICAS UTILIZADAS EN LAS FIGURAS
Con objeto de ayudar a una mejor comprensión de las características técnicas de la invención, las citadas figuras se acompañan de una serie de referencias numéricas donde, con carácter ilustrativo y no limitativo, se representa lo siguiente:
DESCRIPCIÓN DETALLADA DE LA INVENCIÓN
La presente invención se refiere, en primer lugar, a un dispositivo (1) para la compensación del factor de potencia de un conjunto eléctrico monofásico sometido a una tensión no sinusoidal con N armónicos. Ventajosamente, el compensador (1) de potencia de la invención presenta una configuración tipo "Foster-II", comprendiendo una pluralidad de W - 1 ramas LC (2) conectadas en paralelo. Cada una de dichas ramas (2) comprende a su vez un componente capacitor (2) con una capacitancia de valor Ck conectado en serie a una bobina (2) con una inductancia de valor Lk, con k=1...N - 1. Además, dichas ramas LC (2) están conectadas en paralelo a una rama C (3) , que comprende un elemento capacitor (3) con una capacitancia de valor C0, y/o a una rama L (4) , que comprende una bobina (4) con una inductancia de valor L0. La admitancia del dispositivo (1) se define como:
donde
es la frecuencia de resonancia y s es la frecuencia compleja. Gracias a
esta configuración, el dispositivo (1) de la invención permite la compensación total de la corriente reactiva; esto es, la eliminación de la corriente en cuadratura con la tensión, sin alterar la potencia activa demandada por la carga tras dicha compensación.
Un segundo objeto de la presente invención se refiere a un sistema eléctrico con compensación del factor de potencia como el mostrado en la Figura 1. Ventajosamente, dicho sistema comprende:
- un conjunto eléctrico monofásico, donde dicho conjunto eléctrico comprende: una fuente (5) de alimentación alterna, donde dicha fuente genera una tensión no sinusoidal que comprende N armónicos con frecuencias de valor fn, con n=1...N; y
una carga eléctrica (6) , conectada en paralelo a la fuente (5) ; donde dicha carga comprende preferentemente una carga tipo RL con una resistencia equivalente de valor R y una autoinducción equivalente de valor L;
- un dispositivo (1) para la compensación del factor de potencia conectado en paralelo a la carga (6) .
Las tensiones no sinusoidales son cada vez más frecuentes en las redes eléctricas, tanto por la propia generación con frecuencias variables (como es el caso de los generadores eólicos) , como por la inyección de armónicos debido a componentes conectados en cualquier punto de la red, e incluso por la respuesta de las cargas cuando estas son de tipo reactivo. En cualquiera de estas situaciones, el dispositivo (1) de la invención permite resolver satisfactoriamente el problema de la eliminación de estas intensidades indeseadas en el momento de que una carga haga uso de la tensión suministrada. Esto además de beneficios técnicos (evitar los puntos de desgaste de las partes móviles debido a la existencia de pares de rotación variables) , presenta indudables beneficios económicos ya que los usuarios de la red se evitan pagar las corrientes en cuadratura que carecen de toda utilidad para ellos.
Un tercer objeto de la presente invención se refiere a un método de compensación del factor de potencia de un conjunto eléctrico monofásico mediante el uso del dispositivo (1) de la invención. Dicho conjunto eléctrico monofásico comprende una fuente (5) de alimentación alterna, la cual genera una tensión no sinusoidal que comprende N armónicos con frecuencias de valor fn, con n=1...N, y una carga eléctrica (6) conectada en paralelo a dicha fuente (5) . Ventajosamente, el método de la invención comprende, en primer lugar, definir un conjunto de N frecuencias de valor fn para la tensión no sinusoidal generada por la fuente (5) , así como una susceptancia de la carga (6) , Bn, para cada frecuencia, donde la susceptancia de la carga (6) se define como:
siendo R y L los valores de resistencia e inductancia equivalentes de la carga (6) , respectivamente y wn la frecuencia angular de cada armónico de tensión definida como:
A continuación, se definen las frecuencias de resonancia, rk, de cada rama LC (2) del compensador (1) , con k = 1...N - 1. El valor de dichas frecuencias de resonancia debe situarse entre los valores de dos frecuencias contiguas existentes en la señal de alimentación (de ahí que el número de ramas LC del compensador (1) de la invención sea igual a N - 1) . Cualquier valor intermedio entre estas frecuencias extremas garantiza la existencia de una solución. Por simplicidad, se ha elegido la media aritmética entre frecuencias angulares de la señal de alimentación que sean adyacentes:
donde j = k.
Nótese que las frecuencias presentes en la tensión aplicada por la fuente de alimentación son siempre crecientes; es decir, 0 < ^ < mj+1, no siendo necesario que sean múltiplos de una frecuencia fundamental.
La admitancia de un compensador pasivo sin pérdidas es puramente imaginaria, por lo que la frecuencia compleja s se sustituye por s = j<u. Así, la expresión de la admitancia descrita en la ecuación (ec.) [1] queda como:
siendo Y (w) = ||y (.s) ||s=, w. Por comodidad de cálculo, la ec. [5] se divide por &>, de manera que:
]
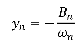
La ec. [6] debe evaluarse en cada frecuencia del conjunto, , donde n es un índice del conjunto de armónicos N. Además, cada yn debe ser igual al valor negativo de la relación entre la susceptancia de la carga (6) , Bn, en cada frecuencia para anular la corriente armónica reactiva no deseada:
Como resultado, la ec. [6] puede ponerse en forma matricial como:
donde:
Nótese que el sistema matricial anterior tiene N ecuaciones y N + 1 incógnitas; esto es, las N - 1 capacitancias Ck de los condensadores (2) de las ramas LC (2) , la capacitancia C0 del condensador (3) de la rama C (3) , y la inductancia L0 de la bobina (4) de la rama L (4) . Para reducir el sistema a una matriz invertible U de tamaño N x N, se recurre a la capacitancia del condensador (3) de la rama C (3) , C0, como parámetro de control:
donde c0 es un vector de tamaño N con todos los valores C0. La matriz U se obtiene después de eliminar la primera columna de A. De manera similar, el vector x se obtiene de b después de eliminar el primer término C0.
Cuando se quiere garantizar la ausencia de soluciones negativas para un sistema de ecuaciones lineales que cuenta con un parámetro de control, se debe asegurar, en primer lugar, la existencia de un valor de dicho parámetro para el cual todas las soluciones sean positivas o nulas. En un espacio de N dimensiones, la anulación de cada una de las variables incógnita produce un hiperplano de dimensión N - 1, y el conjunto de estos hiperplanos segmenta el espacio en regiones contiguas llamadas simplex. Una vez identificado el simplex en el que se encuentra la solución inicial, se desplaza el valor del parámetro de control (siguiendo el sentido dado por un criterio de optimización) hasta llegar a una cara del simplex, en la cual se anulará la variable orrespondiente. En el método de la invención, este proceso se aplica por separado a cada una de las k ramas LC (2) . Se toma como parámetro de control la capacitancia C0 y se varía hasta que se consigue anular la capacitancia Ck del componente capacitor (2) de la rama LC (2) correspondiente, denominándose a ese valor del parámetro de control Cok. Como solución inicial, el método de la invención recurre a un valor arbitrariamente elevado de Cok y como criterio de optimización, busca el mínimo valor posible para esta capacitancia que anula la capacitancia de la rama LC (2) k; esto es, xk = 0:
En cada caso, resulta un valor diferente para el parámetro de control, Cok, el cual representa el valor de capacitancia para el cual la rama LC (2) k se compensa completamente, haciéndola redundante. Así, el valor Cok máximo no negativo (en caso de serlo, se tomará como cero el valor del parámetro de control, pues la capacitancia de un condensador real no puede ser menor que cero) proporcionará la configuración más simple del compensador (1) , al eliminar, al menos, una de las ramas LC (2) mientras mantiene todas las soluciones positivas.
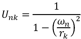
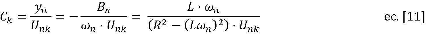
Una vez determinado este valor óptimo de la capacitancia C0 del condensador (3) de la rama C (3) , el siguiente paso del método de la invención consiste en calcular las capacitancias Ck de los condensadores (2) de cada una de las ramas LC (2) según la expresión:
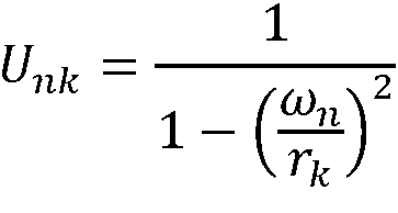
donde cada elemento Unk de la matriz U se define como:
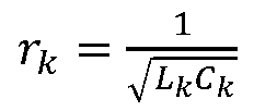
El valor de la inductancia Lk de las bobinas (2) de cada una de las ramas LC (2) se calcula a partir de las respectivas capacidades Ck y frecuencias de resonancia rk mediante la expresión:
El valor de la inductancia L0 de la bobina (4) de la rama L (4) se determina resolviendo la ec. [8].
En una realización preferida del método de la invención, dicho método incluye una etapa adicional de identificar aquellas ramas LC (2) del compensador (1) cuyo aporte a la compensación de corriente reactiva sea pequeño para omitirlas del diseño final. Para ello, se establece un parámetro que determina la distancia mínima d = C0 - Cok para que una o varias ramas LC (2) adicionales sean eliminadas. El valor de este parámetro de eliminación d dependerá de la tolerancia que tengamos con respecto al factor de compensación.
Ejemplos de realización
Ejemplo 1: Compensación del factor de potencia de un sistema eléctrico que comprende una carga eléctrica tipo RL.
Sea el circuito eléctrico de la Figura 2a, donde se alimenta una carga RL (6) de valores R = 15 Q y L = 0.0796 H a través de una fuente (5) de alimentación alterna no sinusoidal que genera un voltaje en voltios de acuerdo con la ecuación:
donde
= 1üü^. Al tener tres armónicos (N = 3) , el dispositivo (1) de compensación del factor de potencia de la invención comprenderá N - 1 = 2 ramas LC (2) .
En primer lugar, se determinan las frecuencias de resonancia rk para cada rama LC (2) , con k= 1...N - 1, aplicando el criterio de la media aritmética, donde j = k:
es decir,
donde wn = [^>i ^2 "3 ] = [&»0 3&>0 5&>0], siendo n= 1...N
Aplicando los valores de (ún y rk a la expresión:
se obtiene la matriz paramétrica 3x3:
La susceptancia Bn de la carga RL (6) para cada frecuencia un se calcula como:
obteniéndose:
B1 = -0, 029 S
B2 = -0, 013 S
B2 = -0, 008 S
El vector de los parámetros independientes yn será entonces:
y i = 9, 36110-5
y2 = 1, 360 10-5
y3 = 0, 502 10-5
El siguiente paso consiste en determinar el valor óptimo de la capacitancia C0 del condensador (3) de la rama C (3) . El resultado es C0 = 28, 1310-6 F.
Finalmente, se calculan las capacitancias de los condensadores (2) de las ramas LC (2) según la expresión:
obteniéndose:
Resolviendo la ec. [8]. se obtiene un valor infinito para la inductancia L0 de la bobina (4) , por lo que el dispositivo compensador de la invención carecerá de rama L (4) en esta realización.
Las inductancias de las bobinas (2``) de las ramas LC (2) resultan de aplicar:
obteniéndose:
Aplicando teoría de circuitos, se puede comprobar que, para estos valores, la susceptancia de la carga (6) Bn para cada frecuencia wn; esto es, la parte imaginaria de la admitancia Yn de la carga (6) , es igual pero de signo opuesto a la del compensador (1) . De esta manera, la susceptancia del circuito para esa frecuencia se hace cero, permitiendo obtener de la fuente (5) la corriente mínima que produce la misma potencia activa en la carga RL (6) .
Para el caso que nos ocupa, el valor eficaz de la la corriente inicial que consume la carga (6) es de 12.49 A. Esta corriente debe ser suministrada por la fuente (5) (red eléctrica) . Una vez instalado el compensador (1) , dicha corriente es reducida a 6.36 A, lo cual es aproximadamente un 50% menos, dando lugar a unas pérdidas 4 veces menores en el sistema de transmisión y distribución que la situación sin compensar.
La Figura 2b muestra el esquema del sistema con el dispositivo (1) de compensación de la invención para esta realización particular.
Ejemplo 2: Compensación del factor de potencia de un sistema eléctrico que comprende una fuente de alimentación que proporciona 17 armónicos y una carga tipo RL.
Sea un sistema eléctrico como el representado en la Figura 2a, donde la fuente (5) de alimentación genera una tensión alterna no sinusoidal que comprende 17 armónicos (N=17) . En la Tabla 1 se muestran los valores de amplitud de tensión para cada armónico en voltios (V) .
Tabla 1. Ejemplo 2: Valores de tensión para cada armónico proporcionado por la fuente (5) .
Las susceptancias (Bn) para cada uno de estos armónicos se recogen en la Tabla 2 en Siemens (S) .
Tabla 2. Ejemplo 2: Susceptancias del circuito para cada uno de los armónicos.
Con estos datos y siguiento el método de la invención, se obtienen los valores de Ck y Lk recogidos en la Tabla 3 para cada una de las 16 ramas LC (2) del dispositivo (1) compensador del factor de potencia de la invención.
Tabla 3. Ejemplo 2: Ramas LC del dispositivo (1) compensador de la invención.
Los valores de la capacitancia del condensador (3) de la rama C (3) y de la inductancia de la bobina (4) de la rama L (4) conectados en paralelo a las 16 ramas LC (2) paralelo son C0 = 0 y L0 = 6.81 mH, respectivamente.
Estos resultados muestran que el método de compensación de la invención es eficiente desde el punto de vista computacional y funciona razonablemente bien con una gran cantidad de armónicos. Además, tiene una complejidad menor que las técnicas analíticas disponibles hasta el momento. De particular interés es que proporciona de manera confiable valores positivos y realizables para las inductancias y capacitancias requeridas. Esto evidencia el potencial práctico del método para implementar compensadores utilizando componentes estándar. La eficiencia, simplicidad y confiabilidad de la técnica la convierten en una opción atractiva para diseñar compensadores de rama sin pérdidas óptimos para la compensación de corriente reactiva.
Ejemplo 3: Compensación del factor de potencia de un sistema eléctrico real.
Este último ejemplo presenta mediciones experimentales adquiridas en una instalación eléctrica real en la que se conectan a la red dispositivos electrónicos con fines de vigilancia y control. Las formas de onda de tensión y corriente se capturaron en tiempo real utilizando un dispositivo openZmeter [Viciana, E., et al. Measurement, 2023, 206, p.
112309] a través de una interfaz de programación de aplicaciones a una frecuencia de muestreo de 50 kHz. Como se muestra en la Figura 3, se observó una distorsión sustancial en la forma de onda de la corriente, indicativa de la presencia de armónicos significativos. El análisis de Fourier representado en la Figura 4 revela además numerosos componentes de frecuencia de gran amplitud en el espectro de corriente. En la Figura 5 se muestra el patrón de susceptancia medido en toda la gama de armónicos. El método de la invención permite diseñar un compensador (1) reactivo a medida para tratar los armónicos identificados (ver Tabla 4) . Nótese que la rama LC número 49 es nula por defecto para este caso particular. La cancelación completa de la corriente reactiva se muestra en la Fig. 6.
Tabla 4. Ejemplo 3: Ramas LC del dispositivo compensador de la invención