Dispositivo optoelectrónico para determinar el estado de polarización de un haz de luz
SECTOR DE LA TÉCNICA
La presente invención se encuadra en el sector de Tecnología Óptica y más concretamente en el sector de dispositivos optoelectrónicos. Se refiere a un polarímetro de Stokes para medir el estado de polarización de un haz de luz.
ANTECEDENTES DE LA INVENCIÓN
Dentro de las aplicaciones ópticas, uno de los parámetros más importantes para la caracterización de un haz de luz es su estado de polarización. El desarrollo de instrumentos que permitan medir dicho estado de polarización de forma rápida es esencial en aplicaciones tales como la polarimetría y elipsometría, que han contribuido de forma fundamental a avances de la física, química, medicina y biología.
Existen métodos bien conocidos para determinar el estado de polarización de un haz. Muchas de estas técnicas se explican en el artículo de revisión [1],
Uno de los métodos más utilizados consiste en rotar un retardador lineal (LR) , que presenta una cierta retardancia, seguido de un polarizador lineal (LP) fijo [2, 3], La luz transmitida a través de estos dos elementos es capturada por un fotodetector lineal, que genera una corriente eléctrica de salida variable, dependiente del ángulo del LR. A partir de esta corriente eléctrica para diferentes ángulos, se puede determinar el vector de Stokes. No obstante, esta técnica realiza las mediciones de forma secuencial, por lo que es una técnica relativamente lenta y no permite mediciones en tiempo real.
También se puede utilizar un dispositivo con dos retardadores lineales de fase variable que consiste en una fuente de luz colimada, un polarizador lineal fijo con el eje a = 0º, seguido de un retardador lineal con retardancia A i con eje rápido a 45° y un segundo retardador lineal con retardancia A2 con eje rápido a 0º. Se modifican las retardancias de las dos láminas para proporcionar cuatro medidas independientes con las que obtener el vector de Stokes. La odulación de la retardancia se puede obtener de diferentes maneras, como por ejemplo, a través de celdas Pockels [4], cristales líquidos [5] o moduladores fotoelásticos [6], Esta técnica también realiza las mediciones de forma secuencial, por lo que es una técnica relativamente lenta y tampoco permite mediciones en tiempo real.
Otra técnica es la división de la amplitud de forma que se pueda hacer un procesado en paralelo, sin elementos móviles ni moduladores. En este caso, el haz de luz se divide por uno o varios divisores de haz, o por un divisor de haz y dos prismas de Wollaston de forma que se obtienen 4 haces de luz, que llegan a 4 fotodetectores y, por consiguiente, se obtienen las señales eléctricas con las que se determinan los parámetros de Stokes. De esta forma, las señales se pueden obtener de forma muy rápida y sin necesidad de partes móviles. No obstante, el sistema presenta elementos de considerable coste y es mucho más complejo y difícil de alinear [7], La división de amplitud también se puede realizar mediante una red de difracción, que puede generar despolarización [8],
También es conocida la técnica en la cual se utilizan cuatro fotodetectores, tres de ellos parcialmente reflectivos [9], Los ángulos en los que están dispuestos los tres primeros fotodetectores permiten una reflexión donde se modifica el estado de polarización. De esta forma, la parte absorbida por los detectores permite un análisis de los parámetros de Stokes.
Hay que destacar que en todos los polarímetros de Stokes es necesario algún elemento que afecte a la polarización de la luz incidente de manera conocida. El más habitual es emplear polarizadores y retardadores estándar, pero algunos de los dispositivos presentados emplean otros métodos como celdas Pockels [4], cristales líquidos [5] o moduladores fotoelásticos [6], También se podrían usar moduladores espaciales de luz [10] o materiales cuya superficie ha sido nanoestructurada [11],
Entre las patentes relacionadas con la invención cabe destacar:
La solicitud de patente US6043887A describe un polarímetro de Stokes que utiliza diversos divisores de haz y un prisma, lo cual lo hace complicado y costoso. Tiene la ventaja de poder realizar medidas de forma rápida.
La patente US6765672B1 describe un polarímetro de Stokes con una lámina retardadora otatoria, donde la rotación se puede hacer mediante elementos birrefringentes como un material electro-óptico, acusto-óptico, magneto-óptico, etc., donde el polarímetro se puede integrar en una estructura de ondas guiadas. Las medidas se obtienen de forma secuencial.
La solicitud de patente US2004/0207843A1 permite la medida del estado de polarización de un haz de luz, pero utiliza un retardador rotatorio, lo que hace que el sistema sea complejo, de alto coste, y no permite mediciones rápidas.
La patente US7038776B1 describe un polarímetro de Stokes que mide el estado de polarización de forma simultánea. Utiliza, para ello, una óptica frontal que enfoca el haz de luz en una rendija y utiliza multitud de lentes, siendo alguna de ellas de gran acromaticidad para permitir un análisis multiespectral. Dicho sistema necesita multitud de lentes, por lo que resulta en un sistema costoso.
La patente US8004675B2 describe un polarímetro de imagen donde se utilizan cristales líquidos ferroeléctricos, preferentemente biestables. El sistema es caro y complejo, aunque también se puede utilizar para la determinación del estado de polarización de un haz de luz.
La patente US8305578B1 describe un polarímetro de imagen donde se produce la división de la amplitud a través de divisores de haz polarizantes y retardardores. El sistema es caro y complejo, aunque también se puede utilizar para la determinación del estado de polarización de un haz de luz.
La solicitud de patente US2014/0168772A1 describe un polarímetro de imagen con elementos birrefringentes, tales como prismas de Wollaston y láminas cuarto de onda, de forma que se producen imágenes en diferentes posiciones. El hecho de producir imágenes puede tener ventajas en áreas como la biología, pero la forma de producirlas utiliza numerosos elementos de alto coste.
La solicitud de patente US2014/0268278A1 describe una modificación a cualquier polarímetro de Stokes que permite obtener información adicional del vector de Stokes: su variabilidad en función de la longitud de onda o el tiempo.
La solicitud de patente W02015/014704A1 describe un polarímetro que se basa en el rincipio de la refracción cónica y utiliza dos cristales biaxiales y un divisor de haz. El montaje es relativamente complejo, así como el procedimiento de extracción de la información.
La solicitud de patente US2014/5337146A describe polarímetros y espectrofotopolarímetros basados en redes de difracción, en particular en el efecto de difracción cónica de las redes. Un haz incide de forma oblicua sobre una red de difracción y se producen diversos haces que llegan a sendos fotodetectores. En los caminos de los haces, se introducen elementos polarizadores. Los haces que salen de la red de difracción son divergentes y son necesarios elementos ópticos para redireccionar los haces con el fin de hacer el dispositivo de reducido tamaño.
Para superar algunas de las deficiencias que presentan los dispositivos del estado de la técnica, presentamos un polarímetro que permite medidas rápidas del vector de Stokes y es más asequible que los conocidos hasta el momento. Se trata de un dispositivo sencillo, basado en un único elemento óptico difractivo vectorial sectorizado, un sistema de fotodetección, capaz de medir los parámetros de Stokes de forma síncrona, y un sistema de procesamiento de datos. Por otro lado, la presente invención permite mejorar la incertidumbre en el cálculo de los parámetros ópticos respecto a otras propuestas anteriores.
Referencias:
1. R.M.A. Azzam "Stokes-vector and Mueller-matrix polarimetr y " J. Opt. Soc. Am. A vol. 33, num 7, p. 1396 (2016) .
2. P. A. Williams, "Rotating-wave-plate Stokes polarimeter for differential group delay measurements ofpolarization-mode dispersión, " Appl. Opt., vol. 38, no. 31, p.6508, 1999.
3. D. S. Sabatke, et al. "Optimization of retardance for a complete Stokes polarimeter, " Opt.
Lett. 25, 802-804 (2000) .
4. J. Kaneshiro et. al. "Full control of polarizaron State with a pair of electro-optic modulators for polarization-resolved microscopy, " Appl. Opt. 55, 1082-1089 (2016) .
5. J. M. Bueno, "Polarimetr y using liquid-cr y stal variable retarders: theor y and calibration, " J.
Opt. A 2, 216-222 (2000) .
6. A. J. Hunt and D. R. Huffman, "A new polarization-modulated light scattering instrument, " Rev. Sci. Instrum. 44, 1753-1762 (1973) .
7. R. M. A. Azzam, "Division-of-amplitude photopolarimeter (DOAP) for the simultaneous measurement of all four Stokes parameters of light, " J. Mod. Opt. 29, 685-689 (1982) .
8. T. Todorov and L. Nikolava, "Spectrophotopolarimeter: fast simultaneous measurement of ight parameters, " Opt. Lett. 17, 358-359 (1992) .
9. R. M. A. Azzam, I. M. Elminyawi, and A. M. El-Saba, "General analysis and optimization of the four-detector photopolarimeter, " J. Opt. Soc. Am. A 5, 681-689 (1988) .
10. J. Hoyo, L. M. Sanchez-Brea and A. Soria-Garcia, "Calibration method to determine the complete Jones matrix of SLMs", Opt. and Las. In Eng., 151, 106914 (2022) .
11. M. Elshorbagy et al., "Polarization conversión using customized subwavelength laserinduced periodic surface structures on stainless Steel", Photon. Res. 10, 2024-2031
(2022) .
EXPLICACIÓN DE LA INVENCIÓN
Dispositivo optoelectrónico para determinar el estado de polarización de un haz de luz.
Un aspecto de la presente invención se refiere a un dispositivo optoelectrónico que permite medir el estado de polarización de un haz de luz incidente. En particular, permite medir simultáneamente los cuatro parámetros de Stokes de dicho haz. Se trata de un polarímetro rápido, fiable, compacto y de bajo coste.
Se entiende por "haz de luz incidente", "haz de luz", "haz de iluminación" o, simplemente, "haz" cualquier tipo de radiación electromagnética, tal como la procedente de una fuente de haz láser, diodo láser, diodo LED, etc. El haz de luz puede estar colimado o no. Dicho haz tendrá un estado de polarización definido y puede ser un estado de polarización puro o un estado de polarización parcial, e incluso puede ser un haz despolarizado.
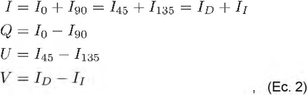
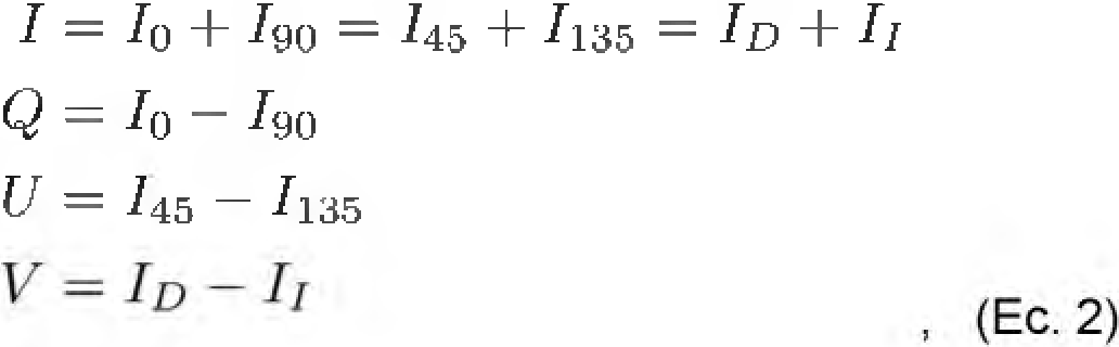
En esta memoria descriptiva, se entiende por "estado de polarización" la descripción de esta propiedad mediante el vector de Stokes de dicho haz. Dicho vector está definido por 4 componentes
De estos componentes, también denominados parámetros de Stokes, el parámetro I mide la cantidad total de luz, el parámetro Q mide la cantidad de luz linealmente polarizada en los jes O o 90º, el parámetro U mide la cantidad de luz linealmente polarizada en los ejes 45° o 135º, y el parámetro V mide la cantidad de luz circularmente polarizada a derechas o a izquierdas.
Existen diversas técnicas para medir experimentalmente los parámetros de Stokes a través de medidas de intensidad. El número mínimo de medidas es 4, pero comúnmente se realizan 6 mediciones. El proceso de cálculo de los parámetros de Stokes a partir de 6 mediciones de intensidad se puede realizar como
donde
- lo es la intensidad de luz linealmente polarizada en la dirección 0°,
- 190 es la intensidad de luz linealmente polarizada en la dirección 90°,
- 145 es la intensidad de luz linealmente polarizada en la dirección 45°,
- 1135 es la intensidad de luz linealmente polarizada en la dirección 135°,
- Id es la intensidad de luz circularmente polarizada a derechas e
- Ii es la intensidad de luz circularmente polarizada a izquierdas.
Para la medición de estos parámetros, en la presente invención utilizamos diversos componentes, siendo el elemento principal de la invención un elemento óptico difractivo vectorial sectorizado. Dicho elemento óptico difractivo vectorial sectorizado tiene, al menos, 4 sectores. Para el caso de 6 sectores y polarizadores ideales, los parámetros de Stokes se pueden obtener de forma directa a partir de la Ec. 2, pero, en caso de ser un número distinto, o no ser polarizadores ideales, los parámetros de Stokes se obtienen mediante combinación lineal de las señales obtenidas, como se detalla más adelante.
Un esquema del dispositivo optoelectrónico que se describe aquí para determinar el estado de polarización de un haz de luz comprende: un elemento óptico difractivo vectorial sectorizado, un sistema de fotodetección y un sistema de procesamiento de datos.
En los casos en los que el haz incidente no tiene el tamaño del elemento óptico difractivo vectorial sectorizado, el dispositivo incluye también un sistema de recolección de luz. Este sistema de recolección de luz adecúa el haz de luz incidente, que puede estar totalmente polarizado, parcialmente polarizado o, incluso, despolarizado. Dicho sistema de recolección de luz puede ser de carácter refractivo, reflectivo, difractivo o una mezcla de ellos. Preferentemente, el haz de luz incidente es monocromático y colimado. Este sistema de recolección permite acondicionar el haz de luz incidente para que ilumine el elemento óptico difractivo vectorial sectorizado de forma normal, es decir, de forma perpendicular a su superficie.
El haz de luz procedente del sistema de recolección de luz incide, por lo tanto, de forma perpendicular sobre el elemento óptico difractivo vectorial sectorizado. El elemento óptico difractivo en esta invención no consiste, como en otros casos, en un divisor de haz, ni una red de difracción, ni un prisma de Wollaston como viene siendo habitual. El elemento óptico en este caso se trata de un elemento difractivo vectorial sectorizado con capacidad de enfoque y de modular el estado de polarización. Debido a la capacidad de enfoque de cada uno de los sectores del elemento óptico difractivo vectorial sectorizado, se generan varias regiones de alta intensidad separadas espacialmente, cuyo número es igual al número de sectores del elemento óptico difractivo vectorial sectorizado. Es decir, cada uno de los sectores concentra la luz en una posición espacial diferente. Por otro lado, debido a la capacidad polarimétrica de los sectores, la cantidad de luz que atraviesa cada uno de ellos dependerá del estado de polarización del haz incidente.
Cada uno de estos sectores debe presentar una capacidad de polarización diferente. Esta capacidad de polarización puede generarse de diversas maneras, como por ejemplo empleando polarizadores y retardadores estándar, cristales líquidos (bien masivos o divididos en píxeles, como en un modulador espacial de luz) , células de Pockels, moduladores fotoelásticos, o mediante nanoestructuración de superficies, que pueden ser metálicas, como por ejemplo acero, oro, o plata; dieléctricas, como por ejemplo vidrio o plástico; o cualquier material sobre el que se puedan grabar nano-estructuras birrefringentes, tal como las denominadas LIPSS (Laser Períodic Surface Structures) .
Además de la capacidad de polarización, cada uno de los sectores que conforman el elemento óptico difractivo vectorial sectorizado presenta capacidad de enfoque de la luz incidente. Este enfoque se puede realizar de diversas formas. Una de las formas de realizar l enfoque consiste en ubicar en cada sector del elemento óptico difractivo vectorial sectorizado, por ejemplo, una placa zonal de Fresnel binaria de amplitud (constituidas por una serie de zonas anulares concéntricas alternativamente transparentes y opacas a la luz incidente) . Para evitar el solapamiento de los focos provenientes de cada uno de los sectores, el centro de cada placa zonal no está en el centro del elemento óptico difractivo vectorial sectorizado, sino que está separado una cierta distancia Ar respecto del centro del elemento óptico difractivo vectorial sectorizado. Asimismo, se pueden utilizar otros tipos de placas zonales como, por ejemplo, de Bessel o de Air y . Alternativamente, el enfoque se puede realizar mediante una lente generada por un modulador espacial de luz. Este modulador espacial de luz puede basarse en píxeles de cristal líquido. También puede realizarse mediante nanoestructuración de superficies metálicas, por ejemplo, de acero, oro, plata, o superficies dieléctricas, por ejemplo vidrio o plástico, siempre que se puedan grabar nanoestructuras birrefringentes, por ejemplo LIPSS, o mediante el depositado o dopado del material con nanopartículas metálicas.
Los haces de luz de salida inciden sobre el sistema de fotodetección. Desde el punto de vista electrónico, para obtener una configuración rápida para el procesamiento de datos, como sistema de fotodetección se puede utilizar un conjunto de fotodetectores monolíticos, colocado tras el elemento óptico difractivo vectorial sectorizado en un plano paralelo al del elemento óptico difractivo vectorial sectorizado, cuyo número es igual al número de sectores de la lente. También es posible utilizar como sistema de fotodetección una matriz formada por una distribución bidimensional de fotodetectores como, por ejemplo, una cámara CCD o una cámara CMOS. Dicho sistema de detección convierte la irradiancia de luz de cada uno de los haces en señales eléctricas. Dichas señales son procesadas mediante uno o más elementos de procesamiento de datos. Entre los elementos para el procesamiento de datos se pueden seleccionar una placa electrónica, un microprocesador o un ordenador. La cantidad de luz que atraviesa un determinado sector es dependiente del estado de polarización del haz incidente. Por ello, cuando enfocamos cada uno de los haces de luz de salida sobre el sistema de fotodetectores, la cantidad de luz de dichos haces de salida depende del estado de polarización del haz incidente.
La invención también se refiere a un procedimiento para determinar los parámetros ópticos mediante el dispositivo que se ha descrito más arriba, con el que se pueden medir los parámetros de Stokes de forma síncrona, es decir, mediante la medida simultánea de todos los parámetros característicos, que son los elementos del vector de Stokes o parámetros de Stokes. El haz de iluminación, cuyo estado de polarización es ^incidente_ ¡ncide preferentemente de forma normal sobre el elemento óptico difractivo vectorial sectorizado.
Como cada uno de los N sectores del elemento óptico difractivo vectorial sectorizado del dispositivo optoelectrónico tiene un distinto comportamiento polarimétrico, éste se puede caracterizar mediante una matriz de Mueller 4x4 distinta. Por ejemplo, para el caso del sector j, la matriz de polarización de las zonas transparentes se define como
Cada uno de los haces de luz de salida tendrá un estado de polarización determinado por
Un caso particular es aquel en el que los elementos polarizadores del elemento óptico difractivo vectorial sectorizado son elementos ideales:
P1 - polarizador lineal cuyo eje está orientado a 0º,
P2 - polarizador lineal cuyo eje está orientado a 90º,
P3 - polarizador lineal cuyo eje está orientado a 45°,
P4 - polarizador lineal cuyo eje está orientado a 135º,
P5 - polarizador circular a derechas,
P6 - polarizador circular a izquierdas.
En este caso las intensidades de los haces,
y h , que intervienen en la definición de los elementos del vector de Stokes (Ec. 1 y Ec. 2) , se pueden obtener directamente a partir de la Ec. 3.
En el caso de que los elementos polarizadores del elemento óptico difractivo vectorial sectorizado sean imperfectos o sean distintos a los enumerados en el párrafo anterior, se puede obtener los elementos del vector de Stokes de la siguiente forma: Consideramos que tenemos un elemento óptico difractivo vectorial sectorizado con N sectores. Entonces, la intensidad que atraviesa el sectorj-ésimo es
Si reunimos todas las intensidades Ij en el vector I, entonces podemos escribir la ecuación como
donde W es una matriz Nx4, que denominamos Matriz de polarización del elemento óptico difractivo vectorial. Entonces, se puede calcular el vector de Stokes original
S ca ic=w '~ Í , (Ec. 7)
donde W es la matriz inversa de W s i N e s 4 osu matriz pseudo-inversa,
donde W 7 es la matriz traspuesta de W.
Otro aspecto de la invención se refiere a un procedimiento para reducir las incertidumbres en el cálculo de los parámetros de Stokes realizado por el sistema de tratamiento de datos que incluye el dispositivo de la invención. Como se ha indicado, debido a la capacidad de enfoque de cada uno de los sectores, toda la luz que atraviesa un sector determinado debería enfocarse en la zona del fotodetector correspondiente. No obstante, es posible que la cantidad de luz que incide sobre cada sector sea diferente. Esto puede deberse a diferencias de tamaño entre los sectores, diferencias entre la reflectancia/transmitancia entre los elementos de los sectores, e incluso errores de fabricación. Además, debido a los efectos difractivos que se producen en el elemento óptico difractivo vectorial sectorizado, parte de la luz que atraviesa cada uno de los sectores se puede dispersar y llegar a fotodetectores distintos al deseado. Por ello, aumentará la incertidumbre en el cálculo del estado de polarización del haz incidente. Con el objeto de aumentar la precisión del sistema de procesamiento de la señal, se puede tener en cuenta esta luz no deseada y corregir el estado de polarización calculado mediante el procedimiento anteriormente descrito. Dicha corrección se puede obtener mediante computación numérica. Con todo ello, es posible obtener los parámetros con una incertidumbre de hasta dos órdenes de magnitud menor. El rocedimiento es el siguiente. Se iluminan de forma secuencial los sectores Si, S2, Sn y se obtiene la señal recibida en cada uno de los fotodetectores. En la Tabla 1 se muestra un ejemplo de dichas señales.
Tabla 1. Matriz de difracción para la corrección de los errores por diferencias de recolección de luz y difracción.
La primera fila representa las señales obtenidas por cada uno de los fotodetectores cuando se ilumina el sector Si, la segunda fila representa las señales obtenidas cuando se ilumina el sector S2 y así sucesivamente. La primera columna es la señal obtenida en el fotodetector FD1, la segunda columna es la señal obtenida por el fotodetector FD2, y así sucesivamente. Por consiguiente, la matriz de corrección de dichos errores difractivos es cuadrada, con un
tamaño N x N, siendo
la intensidad recibida por el detector FD, cuando se ilumina el sector S¡, siendo i = 1, 2, ..., N y j = 1, 2, ..., N. Los diferentes valores de los elementos de la diagonal de la matriz D indican la proporción de luz que incide sobre cada uno de los sectores.
Las intensidades corregidas resultan de multiplicar la inversa de la matriz D por las intensidades determinadas por los fotodetectores
Una vez determinado el vector de intensidades corregido, el vector de Stokes se obtiene multiplicando la inversa de la matriz W por el vector de intensidades corregido.
donde W es la matriz inversa de W s i N e s 4 osu matriz pseudo-inversa (Ec. 8) .
BREVE DESCRIPCIÓN DE LOS DIBUJOS
Figura 1. Muestra, de forma esquemática, un ejemplo del dispositivo optoelectrónico para determinar el estado de polarización de un haz de luz. Una vez atravesado el sistema de recolección de luz (1) , el haz de luz (2) , con un cierto estado de polarización, incide sobre el elemento óptico difractivo vectorial sectorizado (3) . Debido a los sectores del elemento óptico difractivo vectorial sectorizado, el haz incidente se divide en una serie de haces de luz de salida (4) . Los haces de luz de salida (4) se capturan en distintas posiciones posteriores mediante un sistema de fotodetectores (5) . Las señales generadas por el sistema de fotodetectores son procesadas mediante elementos de procesamiento de datos (6) .
Figura 2. Muestra, de forma esquemática, la transmitancia de un elemento óptico difractivo vectorial sectorizado (3) . En este caso, el número de sectores es N = 6. Cada uno de los sectores se corresponde con una placa zonal de Fresnel, cuyo eje óptico no está en el centro del elemento óptico difractivo vectorial sectorizado. Sobre el sector S2 se muestra la distancia Ar entre el centro del elemento óptico difractivo vectorial sectorizado y el centro de la placa zonal asociada al sector S2. Las zonas blancas y negras representan valores de transmitancia alta y baja, respectivamente.
Figura 3. Muestra, de forma esquemática, la capacidad de polarización de un elemento óptico difractivo vectorial sectorizado (3) a través de la matriz de Mueller. En este caso, el número de sectores es N = 6 y la transmitancia es la presentada en la Figura 2. Cada imagen es uno de los elementos 4 x 4 d e l a matriz de Mueller.
Figura 4. Ejemplo de la distribución de intensidad sobre el plano del sistema de fotodetección (6) , generado por el elemento óptico difractivo vectorial sectorizado (3) descrito en la Figura 2 y la Figura 3. En este caso, el haz incidente es una onda plana cuyo estado de polarización , rr>
es Sinádentis = ( 1> 1, 0, 0 ) ^ siendo T la operación transpuesta de un vector. Las zonas claras significan mayor cantidad de luz y las zonas oscuras significan menor cantidad de luz.
Figura 5. Ejemplo de disposición de fotodetectores para capturar la luz enfocada. A partir de las señales obtenidas con este conjunto de fotodetectores se puede obtener el estado de polarización del haz incidente.
REALIZACIÓN PREFERENTE DE LA INVENCIÓN
Una vez definida la geometría del dispositivo, el procedimiento de medida y el análisis de los datos, a continuación, se presentan ejemplos de dispositivos para medir los vectores de Stokes de un haz de luz.
El primer ejemplo se ha realizado con un elemento óptico difractivo vectorial sectorizado generado mediante polarizadores y retardadores estándar con forma de sectores circulares. En el segundo ejemplo se ha generado el elemento óptico difractivo vectorial sectorizado mediante un modulador espacial de luz (SLM) . En el tercer ejemplo se ha implementado el elemento óptico difractivo vectorial sectorizado mediante la nanoestructuración de la superficie de una placa metálica.
Ejemplo 1. Dispositivo optoelectrónico que incluye un elemento óptico difractivo vectorial sectorizado constituido por 6 sectores, cada uno con una placa zonal de Fresnel.
Se fabricó un dispositivo para medir el vector de Stokes de un haz de luz incidente (2) , cuya longitud de onda es 632, 8 nm. El dispositivo está esquematizado en la Figura 1. El elemento óptico difractivo vectorial sectorizado (3) con N = 6 está formado por la superposición de una máscara escalar donde se grabaron zonas opacas y zonas transparentes (Figura 2) y una máscara vectorial (Figura 3) formada por 6 polarizadores diferentes en forma de sectores circulares iguales entre sí que coinciden con los sectores circulares definidos en la máscara escalar. El radio de los sectores es de 12 mm y la focal de 200 mm, el desplazamiento del centro Ar es de 1.5 mm.
En esta realización, la máscara vectorial se corresponde con los siguientes 6 elementos polarizadores: 1: polarizador lineal a 0º, 2: polarizador lineal a 90º, 3: polarizador lineal a 45° 4: polarizador lineal a 135°, 5: polarizador lineal + retardador de cuarto de onda a 45°, 6: polarizador lineal + retardador de cuarto de onda a 135°.
Las propiedades polarimétricas de cada uno de los sectores compuestos se midieron con un polarímetro, según J. del Hoyo, L. M. Sanchez-Brea, and A. Soria-Garcia, "Calibration of the complete Jones matrix of SLMs, " Opt. Lasers Eng., vol. 151, p. 10, (2022) , doi: 10.1117/12.2597156. Se obtuvieron las matrices de Mueller de cada uno de dichos elementos polarizadores.
Para la prueba del dispositivo, como fuente de iluminación se utilizó un láser de He-Ne de 632, 8 nm, expandido mediante un sistema 4-f, que también se utiliza para filtrar el haz (1) . En la Figura 4, se muestra la distribución de intensidad en el plano donde se ubican los fotodetectores para el caso de un haz colimado cuyo estado de polarización es
^incidente = ( 1» 1, 0, 0 ) , s ¡enc|0 t |a operación transpuesta de un vector. Las zonas claras significan mayor cantidad de luz y las zonas oscuras significan menor cantidad de luz.
Como sistema de fotodetección (5) se utilizó un conjunto de fotodetectores monolíticos, que se conectaron a una placa electrónica para convertir las corrientes eléctricas en voltajes. La posición de los fotodetectores se muestra en la Figura 5. Dichos voltajes se midieron mediante una tarjeta digitalizadora.
En la Tabla 2 se muestran los datos obtenidos con el dispositivo desarrollado en el ejemplo 1, cuando el estado de polarización (EDP) se calcula de forma directa (sin corregir) y cuando se corrige mediante la Matriz de difracción D.
Tabla 2. Datos experimentales para obtener los parámetros ópticos del ejemplo 1.
Ejemplo 2. Dispositivo optoelectrónico que incluye un elemento óptico difractivo vectorial sectorizado constituido por una lente generada mediante un modulador espacial de luz
Se fabricó un dispositivo para medir el vector de Stokes del haz de luz incidente (2) . El elemento óptico difractivo vectorial sectorizado (3) (descrito mediante la matriz de Mueller representada en la Figura 3) se conformó mediante un modulador espacial de luz basado en íxeles de cristal líquido. Esto es posible ya que la manera en que el cristal líquido de los píxeles de los moduladores espaciales de luz afecta a la polarización de la luz depende del voltaje que se le aplique a los SLM. De esa manera, se puede conseguir una máscara vectorial difractiva aplicando diferentes voltajes a los píxeles del modulador espacial de luz.
Como fuente de iluminación se utilizó un láser de He-Ne de 632, 8 nm, expandido mediante un sistema 4-f que actúa como sistema de recolección de luz (1) . El modulador espacial de luz empleado fue el LC-R-2500 de la marca Holoeye, de 1024x768 píxeles de 19x19 micrómetros de tamaño y 256 niveles de gris. Como sistema de fotodetección (5) se utilizó una cámara CMOS modelo UI-1492LE de la firma IDS cuyo tamaño de píxel es de 1.67 * 1.67 micrómetros. Se unió la señal de diferentes píxeles de dicha cámara para simular la fotodetección por los elementos monolíticos de la Figura 5. Para el procesamiento de las imágenes adquiridas con la cámara CMOS y el tratamiento de datos se utilizó un ordenador PC.
Este ejemplo presenta ciertas características específicas. Las matrices de polarización que normalmente proporcionan los moduladores espaciales de luz no son las matrices EP1, EP2, ..., EP6 que permiten utilizar la Ec. (2) para el cálculo de los parámetros de Stokes. Por consiguiente, es necesario adaptar la propuesta al caso de polarizadores no ideales. Para ello, por un lado, se midió la capacidad polarimétrica de cada nivel de gris del modulador espacial de luz con un polarímetro, calculando la matriz de Mueller para cada uno de los 256 niveles de gris que presenta este modulador. A continuación, se escogieron siete de esos niveles de gris, seis para conformar los sectores de medida y un séptimo para conformar el nivel de absorción necesario para implementar el elemento óptico difractivo vectorial sectorizado. Se eligieron los niveles de gris más cercanos a los elementos P1, P2, ..., P6 (zonas blancas en la Figura 2) y el elemento más cercano a la matriz de Mueller nula para la parte absorbente (zonas negras en la Figura 2) . Finalmente, empleando las matrices de Mueller de los seis estados escogidos para conformar los sectores se calculó la W necesaria para obtener el vector de Stokes a partir del vector de intensidades, medidas por el sistema de fotodetección.
En la Tabla 3 se muestran los datos experimentales obtenidos con el dispositivo desarrollado en el ejemplo 2.
Tabla 3. Datos experimentales para obtener los parámetros ópticos del ejemplo 2.
Ejemplo 3. Dispositivo optoelectrónico que incluye un elemento óptico difractivo vectorial sectorizado constituido por una máscara difractiva vectorial implementada mediante nanoestructuración de la superficie de un metal.
Se fabricó un dispositivo para medir el vector de Stokes del haz de luz incidente (2) . El elemento óptico difractivo vectorial sectorizado (3) (descrito mediante la matriz de Mueller representada en la Figura 3) empleado fue fabricado mediante la nanoestructuración de una placa de acero mediante la irradiación de pulsos láser ultracortos. Las características de la nanoestructuración dependen de los parámetros del láser de grabación, y éstas pueden variarse durante la grabación cambiando dichos parámetros. De esta manera, se crea una región en que las características de la nanoestructura, y por lo tanto su respuesta polarimétrica, pueden cambiar cada pocos micrómetros. La respuesta polarimétrica de estas nanoestructuras fue estudiada en M. Elshorbagy et al., "Polarizaron conversión using customized subwavelength laser-induced periodic surface structures on stainless Steel", Photon. Res. 10, 2024-2031 (2022) . En el caso de este ejemplo, se escogieron 7 tipos de nanoestructuras, 6 con una respuesta polarimétrica similar a los estados de la Ec. (2) (zonas blancas en la Figura 2) , y un séptimo con una reflectancia muy baja correspondiente al cero (zonas negras en la Figura 2) .
Puesto que el elemento óptico difractivo vectorial sectorizado (3) fue fabricado sobre una placa de acero, este elemento funciona en configuración de reflexión. La luz reflejada en el elemento óptico difractivo vectorial sectorizado (3) fue recogida mediante una cámara CCD, y el tratamiento de datos en un ordenador.
Este ejemplo en concreto tiene características distintas a los otros ejemplos. Las diferentes nanoestructuras escogidas para implementar los 6 estados de los diferentes sectores presentaban diferentes reflectividades. Estas diferencias tuvieron que ser corregidas para medir correctamente el vector de Stokes de la luz incidente, lo que se refleja en los elementos diagonales de la matriz de corrección D medida para este dispositivo.
Tabla 4. Matriz de difracción para la corrección de los errores por diferencia de reflectividad de las nanoestructuras y difracción.