BIOCONJUGADOS Y ANTICUERPOS PARA LA INMUNODETECCIÓN ASISTIDA POR
DERIVATIZACIÓN DE LA MICOTOXINA PATULINA
CAMPO DE LA INVENCIÓN
La presente invención se refiere a bioconjugados y derivados marcados de los aductos 1:1 formados por la reacción de patulina con benceno-1, 2-ditioles o sus sales. Dichos bioconjugados resultan adecuados para la producción de anticuerpos capaces de reconocer con elevada afinidad y especificidad los mencionados aductos patulina- (benceno-1, 2-ditioles) . Asimismo, la presente invención también se refiere al uso de bioconjugados délos aductos patulina- (benceno-1, 2-ditioles) y de derivados marcados de los mismos como antígenos de ensayo. Además, la presente invención también se refiere a métodos inmunoquímicos de análisis de patulina, utilizando los bioconjugados y derivados marcados y anticuerpos de la invención, que incluyen un paso previo, simple y rápido, para convertir cuantitativamente la patulina en estos aductos.
ESTADO DE LA TÉCNICA
La presencia de contaminantes químicos tóxicos en los alimentos, particularmente en aquellos destinados al consumo infantil, es un tema de gran preocupación para los consumidores y las autoridades sanitarias europeas. Según los informes anuales publicados por el Sistema de Alerta Rápida para Alimentos y Piensos (RASFF) de la Comisión Europea, alrededor del 45% de las notificaciones informativas emitidas en los últimos años estaban relacionadas con la presencia de sustancias químicas como plaguicidas, biotoxinas, medicamentos veterinarios, aditivos alimentarios, etc. Entre ellos, las micotoxinas son, cada año, el peligro responsable del mayor número de notificaciones. La presencia de micotoxinas en alimentos, piensos y bebidas ha sido reconocida como una amenaza potencial para la salud humana y animal, ya sea causada por la contaminación directa de materiales vegetales o sus productos, o por la "transferencia" de dichas micotoxinas y sus metabolitos a los tejidos animales, leche y huevos como consecuencia de la ingesta de alimentos contaminados. Debido a la extrema dificultad para evitar su presencia, las micotoxinas también suponen una carga económica al sector agroalimentario que anualmente representa la pérdida de millones de euros en todo el mundo.
La contaminación por micotoxinas se considera un problema impredecible, incluso cuando se implementan buenas prácticas agrícolas, de almacenamiento y procesamiento, lo que supone un difícil desafío para garantizar la seguridad de los alimentos y piensos. Además, muchas icotoxinas no se eliminan fácilmente durante el procesamiento de los alimentos debido a su estabilidad frente a tratamientos físicos y químicos. Los principales hongos productores de micotoxinas pertenecen a los géneros Aspergillus, Penicillium, Fusarium y Alternaría. Hasta el momento se han identificado más de 400 micotoxinas con gran diversidad estructural. Las más relevantes, debido a su incidencia y/o toxicidad, son las aflatoxinas, las ocratoxinas, la patulina, las fumonisinas, el deoxinivalenol, la zearalenona, el T-2 y el alternariol. En consecuencia, las autoridades nacionales e internacionales en salud pública han adoptado pautas regulatorias estrictas encaminadas a controlar la presencia de las principales clases de micotoxinas en alimentos y en piensos.
La patulina [4-hidroxi 4H-furo[3, 2 c]piran-2 (6H) -ona] es un metabolito policétido tóxico producido principalmente por Penicillium expansum. Aunque puede presentarse en frutas, granos y otros alimentos infectados, la vía principal de exposición a patulina es la ingesta de manzanas infectadas y algunos de sus derivados, como zumos y compotas. El Comité Mixto FAO/OMS (Organización de las Naciones Unidas para la Alimentación y la Agricultura/Organización Mundial de la Salud) de Expertos en Aditivos Alimentarios (JECFA) ha establecido desde 1995 una ingesta diaria máxima tolerable (PMTDI) provisional para patulina de 0, 4 pg/kg de peso corporal/día. En base a esto, la Unión Europea ha establecido niveles máximos admisibles de patulina de 50 pg/kg para zumos, 25 pg/kg para manzanas y 10 pg/kg para productos infantiles. Otros organismos nacionales, como la Administración de Medicamentos y Alimentos de los Estados Unidos (USFDA) , el Ministerio de Salud de la República Popular China, el Ministerio de Salud de Canadá o el Ministerio de Salud de la Federación Rusa, entre otros, han adoptado criterios similares. Diversos estudios internacionales sobre la incidencia de patulina en manzanas y productos derivados de manzana, muestran que un porcentaje muy elevado de las muestras analizadas contenían concentraciones detectables de patulina, en muchos casos superior al 50% del límite establecido, y en ocasiones superándolo [Erdogan et al., Eur. J. Sci.Technology, 2018, 14, 39-48; Pallarás et al., Toxins, 2019, 11, 684], Más importante aún, en los últimos años se han llevado a cabo una serie de alertas y retiradas de productos debido a la presencia de niveles excesivos de patulina en productos derivados de manzana en Europa, EE.UU., Canadá, Australia, Hong Kong y otros. Por lo tanto, el control de patulina en alimentos resulta imprescindible tanto por razones de seguridad alimentaria como de control de calidad de materias primas.
Los métodos analíticos se consideran herramientas fundamentales para que los organismos reguladores garanticen altos estándares de seguridad en alimentos y piensos. Los rocedimientos para la determinación de micotoxinas son esencialmente de dos tipos: métodos cromatográficos y técnicas de reconocimiento molecular. Los métodos cromatográficos se consideran las técnicas de referencia, dado que son capaces de determinar simultáneamente varias micotoxinas con gran sensibilidad, selectividad y reproducibilidad. En el caso de patulina, el método adoptado por la AOAC (Association of Official Analytical Chemists) es la cromatografía líquida de alta resolución acoplada a la detección en el ultravioleta (HPLC-UV, métodos oficiales 995.10 y 2000.02) . La principal desventaja de este método es la falta de selectividad, ya que hay compuestos como el 5-hidroximetilfurfural y compuestos fenólicos, ambos presentes en los productos a base de manzana, que interfieren en la medida. Otras técnicas instrumentales que también se han utilizado para determinar patulina son la electroforesis capilar (CE) , la cromatografía capilar micelar electrocinética (MEKC) , la cromatografía de gases (GC) con derivatización y la HPLC acopladas a un detector basado en espectrometría de masas (GC/MS y HPLC/MS, respectivamente) [Li et al., Food Chem., 2017, 233, 290-301], A pesar de su alta fiabilidad y precisión, las técnicas instrumentales presentan algunos inconvenientes, siendo el más notorio la necesidad de realizar los análisis en instalaciones bien dotadas técnicamente y con personal altamente cualificado para el manejo de la sofisticada instrumentación que se requiere. Otros inconvenientes están asociados a la complejidad de las matrices a analizar, lo que conlleva la necesidad de introducir etapas previas de preparación, purificación y concentración de las muestras.
Por otro lado, las técnicas analíticas basadas en receptores moleculares, ya sean aptámeros, polímeros de impresión molecular, proteínas de membrana o, especialmente, anticuerpos, se consideran la mejor opción cuando se necesita analizar un gran número de muestras en poco tiempo, in situ, y/o en entornos poco dotados técnicamente, así como para la purificación selectiva, concentración y limpieza de muestras antes de su determinación por métodos instrumentales. Los métodos inmunoanalíticos se basan en la unión de alta afinidad, selectiva, reversible y no covalente, entre una sustancia objetivo (analito) y un anticuerpo. Dependiendo de los requisitos analíticos, los anticuerpos se pueden implementar en una gran variedad de formatos de ensayo, como inmunoensayos enzimáticos en placa (ELISA) , columnas de inmunoafinidad, inmunocromatografía de flujo lateral (inmunostrips) , biosensores, microarrays, y sistemas de inyección en flujo. A este respecto, las micotoxinas son el grupo de contaminantes químicos potencialmente presentes en alimentos y piensos para los cuales las técnicas inmunoanalíticas disfrutan de un mayor grado de implementación y aceptación en laboratorios analíticos de todo el mundo, en algunos casos incluso respaldados y recomendados por organismos reguladores. De hecho, una gran cantidad de compañías de nmunodiagnóstico comercializan actualmente métodos rápidos para el control y la detección de diversas micotoxinas (Abraxis, Europroxima, Zeulab, BiooScientific, r-Biopharm, Romer Labs, Neogen, Creative Diagnostic, etc.) . Sin embargo, ninguna de estas empresas comercializa kits rápidos para la determinación de patulina, y esto se debe a la carencia de anticuerpos capaces de reconocer a esta micotoxina con la afinidad y especificidad necesarias.
Existen algunos ejemplos en la bibliografía científica en los que se informa de aproximaciones para obtener anticuerpos anti-patulina. La mayor parte de estos artículos emplean conjugados proteicos de patulina-hemiglutarato [Seong et al., KR20160064781, 08-06-2016; Weimin et al., CN102081094A, 01-06-2011; Mhadbhi et al., Food Addit. Contam., 2005, 22, 1243-1251; McEIroy et al., Can. J. Microbio!., 1993, 39, 861-863], o patulina-hemisuccinato [Mehl et al., Pharmazie, 1986, 41, 147-148; Sheu et al., Yaowu Shipin Fenxi, 1999, 7, 65-72] como inmunógenos. Los resultados poco satisfactorios obtenidos en todos los casos pueden atribuirse al pequeño tamaño y baja complejidad estructural de la molécula de patulina (su masa molecular es de 154, 12) , pero sobre todo a su reactividad electrofílica, que le permite reaccionar con extrema facilidad con nucleófilos tiolados como el glutatión y con proteínas con residuos libres de cisteína [Fliege et al., Chem. Res. Toxicol., 2000, 13, 373-381; Pfenning et al., Arch. Toxicol., 2016, 90, 433-448], por lo que los epítopos de los análogos funcionalizados con patulina muy probablemente se destruyen o modifican después de la exposición in vivo del bioconjugado al sistema inmune durante la vacunación. Otros autores han evaluado la obtención de anticuerpos anti-patulina utilizando como inmunógenos conjugados de análogos estructurales que mantienen el esqueleto original de la micotoxina natural, pero en los que se ha modificado alguno de los grupos funcionales para reducir su reactividad e incrementar su estabilidad química [DAuria et al., WO 2007/083345 A1, 26-07-2007; de Champdore et al., Anal. Chem., 2007, 79, 751-757], Tampoco esta estrategia ha conducido a anticuerpos antipatulina de las características adecuadas para su incorporación en sistema analíticos comerciales. También se ha descrito la utilización de anticuerpos anti-patulina producidos según alguna de las estrategias anteriores para el desarrollo de algunos biosensores. En concreto, se ha descrito un inmunosensor óptico basado en silicio nano-poroso [Starodub et al., Adv. Biosens. Bioelectron., 2013, 2], un biochip basado en resonancia de plasmón superficial [Pennachio et al., Opt. Mater, 2014, 36, 1670-1675], y una microbalanza de cristal de cuarzo basado en la inmovilización fotónica de anticuerpos anti-patulina [Funari et al., Biosens. Bioelectron., 2015, 67, 224-229], Con independencia de si estos sistemas analíticos poseen realmente la sensibilidad adecuada para la determinación de patulina a los niveles equeridos, su utilización presenta también la mayor parte de inconvenientes que se han mencionado para los métodos instrumentales basados en cromatografía.
Por lo tanto, y a la vista del estado de la técnica, existe una importante necesidad de inmunorreactivos (bioconjugados y anticuerpos) que posibiliten el desarrollo de metodologías sencillas, rápidas, fiables y de alto rendimiento para la inmunodetección in situ de patulina y/o en entornos poco dotados técnicamente; metodologías que permitirían satisfacer las demandas en este sentido del sector agroalimentario y de las empresas de inmunodiagnóstico.
DESCRIPCIÓN DE LA INVENCIÓN
La presente invención supera muchos de los problemas de la técnica al proporcionar un método novedoso para un inmunoensayo simple, rápido, económico y de alto rendimiento para la micotoxina patulina.
El fundamento de la invención reside en el descubrimiento, no previamente conocido, de la reacción particular que experimenta la patulina con benceno-1, 2-ditioles de estructura general (i) o sus sales,
en la que R1, R2, R3 y R4 se seleccionan entre H, grupos arilo sustituidos o no, grupos alquilo lineales o ramificados de 1 a 6 átomos de carbono, OMe, OEt, OPr, C=N, CO2 H, C02-alquilo, N 02, F, Cl, Br y l .
Cuando una disolución de patulina en un medio acuoso se trata con al menos un equivalente de un benceno-1, 2-ditiol de estructura general (i) o sus sales, a temperaturas de entre -200C y 60 0C, se produce en pocos minutos la formación, con rendimientos muy elevados, en muchos casos prácticamente cuantitativos, de un único aducto 1:1 entre ambos compuestos ue responde a la estructura de fórmula general (¡i) , en la que R1, R2, R3 y R4 son como se han definido para la estructura (i) .
Este descubrimiento novedoso resulta particularmente relevante, ya que contrasta con la conocida reacción que experimenta la patulina con monotioles, tanto con benceno-1-tioles como con alquil-1-tioles [Fliege et al., Chem. Res. Toxicol., 2000, 13, 373-381], en la cual se forma una mezcla de hasta 16 productos distintos, en la que se identifican, entre otros, los aductos patulina-monotiol con relaciones molares 1:1, 1:2y 1:3.
El descubrimiento de la reacción entre patulina y los benceno-1, 2-ditioles de estructura general (i) o sus sales, ha permitido obtener los aductos de fórmula (ii) , así como compuestos bioconjugados derivados de dichos aductos a partir de los cuales se han podido generar anticuerpos capaces de reconocer específicamente a los aductos estables de patulina de estructura (ii) formados, superando así los problemas mencionados anteriormente relativos al pequeño tamaño, la escasa complejidad estructural y la elevada reactividad de la patulina, y que dificultan enormemente la inducción de una adecuada respuesta inmune frente a esta micotoxina. Estos anticuerpos resultan útiles para el desarrollo de métodos inmunoanalíticos robustos y sensibles para la determinación indirecta de patulina. Dichos métodos incluyen un paso previo simple y rápido para convertir de forma prácticamente cuantitativa la patulina en un derivado predefinido de estructura general (ii) .
Por tanto, un primer aspecto de la presente invención se refiere a un bioconjugado de fórmula general (I)
[T-L-Z]m-P (I)
donde:
T se selecciona del grupo que consiste en los radicales R-l y R-ll en los que R1, R2, R3 y R4 se seleccionan independientemente entre H, grupos arilo sustituidos o no, grupos alquilo ineales o ramificados de 1 a 6 átomos de carbono, OMe, OEt, OPr, C=N, CO2H, C02-alquilo d e 1 a 6 átomos de carbono, NO2 , NH2 , F, Cl, Br y I
R-l R-ll
L es una cadena hidrocarbonada, saturada o insaturada, de 0 a 14 átomos de carbono, donde la cadena es lineal o ramificada, y dicha cadena hidrocarbonada comprende la sustitución de entre 0 y 7 átomos de carbono por heteroátomos, que se seleccionan del grupo que consiste en S, O y N; preferiblemente L es una cadena hidrocarbonada lineal saturada de 0 a 7 átomos de carbono y opcionalmente la cadena hidrocarbonada comprende la sustitución de 0 a 3 átomos de carbono por heteroátomos seleccionados del grupo que consiste en O y N; y más preferiblemente L es una cadena hidrocarbonada lineal saturada de 0 a 3 átomos de carbono y opcionalmente la cadena hidrocarbonada comprende la sustitución de 0 a 2 átomos de carbono por heteroátomos seleccionados del grupo que consiste e n O y N ; y
Z es un grupo funcional seleccionado entre:
En una realización preferida, Z se selecciona del grupo que consiste en:
Más preferentemente, Z es - (C = 0 ) N H -
P es un péptido o polipéptido, natural o sintético, o una proteína, de peso molecular mayor de 2000 daltons, preferiblemente mayor de 15000 daltons, por ejemplo, superior a 35000 daltons.
El término "bioconjugado" hace referencia en la presente invención al complejo formado por la unión covalente de un hapteno a un péptido, polipéptido o proteína.
El término "hapteno", tal como se emplea en la presente invención, hace referencia a una molécula de bajo peso molecular que por sí sola no es capaz de generar una respuesta inmune en un animal y necesita estar unida a una molécula portadora para generar una respuesta inmune. Por lo tanto, el hapteno es una molécula pequeña de carácter noinmunógeno con capacidad de inducir la formación de anticuerpos cuando está unida a una molécula portadora, en particular una proteína portadora. En la presente invención, los haptenos son los aductos de fórmula (ii) o derivados funcionalizados de los mismos, es decir, análogos estructurales de estos aductos que incorporan un grupo funcional susceptible de ser utilizado para la conjugación a un portador P.
Según otra realización preferida de la presente invención, el bioconjugado de fórmula (I) descrito en esta solicitud de patente se caracteriza porque P se selecciona del grupo que consiste en albúmina, tiroglobulina, hemocianina, beta-galactosidasa, fosfatasa, peroxidasa y oxidasa. Más preferiblemente P es albúmina, que puede ser albúmina de huevo o albúmina sérica, o peroxidasa; y
m es un número con un valor entre 1 y 500; preferiblemente m es un valor entre 1 y 50.
El valor de m indica el grado de conjugación, es decir, la relación molar entre la fracción derivada del compuesto de fórmula T -L -Z y P, en el bioconjugado de fórmula (I) resultante.
Según otra realización preferida de la presente invención, el bioconjugado de fórmula (I) es un bioconjugado de fórmula (la)
donde:
P y m s e han definido anteriormente. Preferiblemente P es albúmina o peroxidasa y m es un valor seleccionado entre 1 y 50.
Según otra realización preferida, el bioconjugado de fórmula (I) es un bioconjugado de fórmula (Ib)
donde:
P y m s e han definido anteriormente. Preferiblemente P es albúmina o peroxidasa y m es un valor seleccionado entre 1 y 50.
Según otra realización preferida, el bioconjugado de fórmula (I) es un bioconjugado de fórmula (le )
donde R2 es CH3 y R3 es H, o bien R2 e s H y R3 es CH3 ,
P y m s e han definido anteriormente. Preferiblemente P es albúmina o peroxidasa y m es un valor seleccionado entre 1 y 50.
Según otra realización preferida, el bioconjugado de fórmula (I) es un bioconjugado de fórmula (Id)
donde:
P y m s e han definido anteriormente. Preferiblemente P es albúmina o peroxidasa y m es un valor seleccionado entre 1 y 50.
Según otra realización preferida, el bioconjugado de fórmula (I) es un bioconjugado de fórmula (le)
donde:
P y m s e han definido anteriormente. Preferiblemente P es albúmina o peroxidasa y m es un valor seleccionado entre 1 y 50.
Según otra realización preferida, el bioconjugado de fórmula (I) es un bioconjugado de fórmula (lf)
donde R2 es CH3 y R3 es H, o bien R2 e s H y R3 es CH3.
P y m s e han definido anteriormente. Preferiblemente P es albúmina o peroxidasa y m es un valor seleccionado entre 1 y 50.
Según otra realización preferida, el bioconjugado de fórmula (I) es un bioconjugado de fórmula (ig)
ll
donde:
P y m s e han definido anteriormente. Preferiblemente P es albúmina o peroxidasa y m es un valor seleccionado entre 1 y 50.
Según otra realización preferida, el bioconjugado de fórmula (I) es un bioconjugado de fórmula (lh)
donde:
P y m s e han definido anteriormente. Preferiblemente P es albúmina o peroxidasa y m es un valor seleccionado entre 1 y 50.
Según otra realización preferida, el bioconjugado de fórmula (I) es un bioconjugado de fórmula
(l¡)
P y m s e han definido anteriormente. Preferiblemente P es albúmina o peroxidasa y m es un valor seleccionado entre 1 y 50.
El bioconjugado de formula (I) de la presente invención se puede obtener por un procedimiento que comprende hacer reaccionar un aducto de fórmula (¡i) , resultante de la reacción de patulina con un benceno-1, 2-ditiol, o un derivado funcionalizado del mismo (hapteno) , con P, un péptido o polipéptido, natural o sintético, o una proteína, de peso molecular mayor a 2000 daltons, por métodos ampliamente conocidos en la técnica.
En otra realización de la presente invención, cuando el material portador es un marcador detectable, el derivado es un compuesto de formula (II) :
[T -L -Z ]n-Q (II)
donde T, L y Z tienen el mismo significado definido anteriormente para el bioconjugado de formula (I) ;
Q es un marcador detectable; y
n es un número con un valor entre 1 y 500; preferiblemente n es un valor seleccionado entre 1 y 50.
En la presente invención se entiende por "marcador detectable" cualquier molécula o fragmento que dé lugar a una señal medible por cualquier tipo de técnica analítica, como por ejemplo, métodos espectroscópicos, fotoquímicos, bioquímicos, inmunoquímicos o químicos. En la presente invención, Q identifica un fragmento o una molécula química detectora, marcadora o trazadora.
En una realización preferida, Q es una enzima, biotina, un compuesto luminiscente, un fluoróforo, un marcador acoplado a un sistema de detección indirecta, micro- o nanopartículas u otros. Preferentemente, Q se selecciona del grupo que consiste en peroxidasa, fosfatasa alcalina, biotina, fluoresceína o uno cualquiera de sus derivados, un fluoróforo de cianina, un fluoróforo de rodamina, un fluoróforo de cumarina, un bipirilo de rutenio, luciferina o uno cualquiera de sus derivados, un éster de acridinio, nanoparticulas cuánticas (en inglés quantum dots) , y micro- o nanopartículas de oro coloidal, de carbón o de látex.
Según una realización preferida, el derivado de fórmula (II) es un derivado de fórmula (lia)
donde Q se selecciona del grupo que consiste en peroxidasa, biotina, fluoresceína o nanopartículas de oro, y n esun valor seleccionado entre 1 y 10.
Según una realización preferida, el derivado de fórmula (II) es un derivado de fórmula (llb)
donde Q se selecciona del grupo que consiste en peroxidasa, biotina, fluoresceína o nanopartículas de oro, y n esun valor seleccionado entre 1 y 10.
Según una realización preferida, el derivado de fórmula (II) es un bioconjugado de fórmula (lie )
donde R2 es CH3 y R3 es H, o bien R2 e s H y R3 es CH3.
Q se selecciona del grupo que consiste en peroxidasa, biotina, fluoresceína o nanopartículas de oro, y n esun valor seleccionado entre 1 y 10.
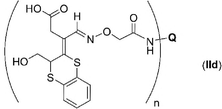
Según una realización preferida, el derivado de fórmula (II) es un derivado de fórmula (lid)
donde Q se selecciona del grupo que consiste en peroxidasa, biotina, fluoresceína o nanopartículas de oro, y n esun valor seleccionado entre 1 y 10.
Según una realización preferida, el derivado de fórmula (II) es un derivado de fórmula (lie)
donde Q se selecciona del grupo que consiste en peroxidasa, biotina, fluoresceína o nanopartículas de oro, y n esun valor seleccionado entre 1 y 10.
Según una realización preferida, el derivado de fórmula (II) es un bioconjugado de fórmula (llf)
donde R2 es CH3 y R3 es H, o bien R2 e s H y R3 es CH3.
Q se selecciona del grupo que consiste en peroxidasa, biotina, fluoresceína o nanopartículas de oro, y n esun valor seleccionado entre 1 y 10.
Según una realización preferida, el derivado de fórmula (II) es un derivado de fórmula (llg)
donde Q se selecciona del grupo que consiste en peroxidasa, biotina, fluoresceína o nanopartículas de oro, y n esun valor seleccionado entre 1 y 10.
Según una realización preferida, el derivado de fórmula (II) es un derivado de fórmula (llh)
donde Q se selecciona del grupo que consiste en peroxidasa, biotina, fluoresceína o nanopartículas de oro, y n esun valor seleccionado entre 1 y 10.
Según una realización preferida, el derivado de fórmula (II) es un bioconjugado de fórmula (lli)
donde R2 es CH3 y R3 es H, o bien R2 e s H y R3 es CH3.
Q se selecciona del grupo que consiste en peroxidasa, biotina, fluoresceína o nanopartículas de oro, y n esun valor seleccionado entre 1 y 10.
El derivado marcado de formula (II) de la presente invención se puede obtener por un procedimiento que comprende hacer reaccionar un aducto de fórmula (¡i) , resultante de la eacción de un benceno-1, 2-ditiol con patulina, o un derivado funcionalizado de dicho aducto (hapteno) , con Q, un marcador detectable, por métodos ampliamente conocidos en la técnica.
Para obtener los bioconjugados de fórmula (I) y los derivados marcados de fórmula (II) , puede utilizarse alguno de los grupos funcionales propios del aducto, preferentemente el grupo CO2 H, para la conjugación directa a un portador P o marcador Q. También pueden prepararse derivados funcionalizados de dicho aducto, es decir, análogos estructurales de este aducto que incorporan un grupo funcional susceptible de ser utilizado para la conjugación a un portador P o marcador Q. Este grupo funcional está separado del esqueleto molecular del aducto por un espaciador L. La posición de incorporación del grupo funcional a la estructura del aducto para la conjugación no es un aspecto obvio y puede ser determinante para la viabilidad de los bioconjugados de fórmula (I) como inductores de la producción de anticuerpos de afinidad y selectividad adecuadas frente a los aductos de fórmula (ii) , e incluso para la viabilidad de los bioconjugados de fórmula (I) o de derivados marcados de fórmula (II) para actuar como moléculas competidoras que permitan el desarrollo de un método inmunoanalítico sensible y específico para dicho aducto e indirectamente para la micotoxina patulina.
El bioconjugado de fórmula (I) de la presente invención puede utilizarse para la producción de anticuerpos capaces de reconocer a un aducto de fórmula (ii) . El bioconjugado de fórmula (I) de la presente invención también puede utilizarse, junto con un anticuerpo capaz de reconocer a un aducto de fórmula (ii) , para determinar o detectar la presencia de la micotoxina patulina en una muestra mediante métodos inmunoanalíticos, tal y como posteriormente se explicará en el método de la invención. Además, los derivados marcados de formula (II) pueden utilizarse, junto con un anticuerpo capaz de reconocer a un aducto de fórmula (ii) , para determinar o detectar la presencia de la micotoxina patulina en una muestra mediante métodos inmunoanalíticos, tal y como posteriormente se explicará en el método de la invención.
Por tanto, otro aspecto de la invención se refiere al uso del bioconjugado de fórmula (I) definido anteriormente para la obtención de anticuerpos.
Asimismo, otro aspecto de la invención se refiere al uso del bioconjugado de fórmula (I) y del derivado marcado de fórmula (II) para, junto con un anticuerpo capaz de reconocer a un aducto de fórmula (ii) , detectar la presencia de patulina en una muestra mediante métodos inmunoanalíticos.
En el contexto de esta invención, el término "anticuerpo" se refiere a una inmunoglobulina producida de forma específica por un animal o una célula híbrida (como un hibridoma) contra el inmunógeno de la invención (bioconjugado de la invención) .
Por tanto, otro aspecto de la presente invención se refiere a un anticuerpo (a partir de ahora anticuerpo de la invención) generado en respuesta a un bioconjugado de la invención, en particular al bioconjugado de fórmula (I) . Más preferiblemente los anticuerpos son generados en respuesta al bioconjugado de fórmula (la) , (Ib) , (le) , (Id) , (le) , (lf) , (lg) , (lh) o (li) , más preferiblemente al bioconjugado de fórmula (le) .
El procedimiento de obtención de los anticuerpos de la invención a partir de bioconjugados de la invención se puede llevar a cabo por métodos de inmunización ampliamente conocidos en la técnica. Los anticuerpos generados a partir de un bioconjugado de la presente invención pueden ser anticuerpos policlonales, anticuerpos monoclonales, anticuerpos recombinantes o fragmentos de anticuerpo. Los anticuerpos de la invención tienen alta afinidad y especificidad hacia un aducto de fórmula (¡i) , resultante de la reacción de un benceno-1, 2-ditiol con patulina.
Los "anticuerpos monoclonales" son poblaciones homogéneas de anticuerpos idénticos, producidos por una célula híbrida producto de la fusión de un clon de linfocitos B descendiente de una sola y única célula madre y una célula plasmática tumoral, que están dirigidos contra un único sitio o determinante antigénico. Los "anticuerpos policlonales" incluyen poblaciones heterogéneas de anticuerpos que están dirigidos contra diferentes determinantes antigénicos. Los "anticuerpos recombinantes" son aquellos en los que para su obtención se han empleado técnicas de ingeniería genética o biología molecular.
Otro aspecto de la presente invención se refiere a un antisuero (a partir de ahora antisuero de la invención) que comprende los anticuerpos de la invención.
El término "antisuero" se refiere a un suero obtenido tras la inmunización de un animal con un inmunógeno. El antisuero comprende anticuerpos específicos de dicho inmunógeno generados tras la respuesta inmune producida en el animal. En el contexto de la presente invención, el inmunógeno es el bioconjugado de la invención y el antisuero comprende anticuerpos específicos generados frente al bioconjugado de la invención, los anticuerpos de la invención.
Otro aspecto de la presente invención se refiere a un método de análisis in vitro de patulina en una muestra que comprende el uso de un anticuerpo (o un antisuero) de la invención. En una realización preferida, dicho método comprende las siguientes etapas:
a) poner en contacto la muestra a analizar con un benceno-1, 2-ditiol de estructura general (i) o sus sales;
en la que R1, R2, R3 y R4 se seleccionan entre H, grupos arilo sustituidos o no, grupos alquilo lineales o ramificados d e 1 a 6 átomos de carbono, OMe, OEt, OPr, C=N, CO2 H, C02-alquilo d e 1 a 6 átomos de carbono, NO2 , F, Cl, B r y l .
b) incubar la muestra de la etapa (a) para que, en el caso de que la muestra contenga patulina, tenga lugar la reacción química de formación del aducto de fórmula (ii) ;
en la que R1, R2, R3 y R4 son como se han definido para la estructura (i) .
c) poner en contacto la muestra de la etapa (b) con el anticuerpo (o el antisuero) de la invención, que se obtiene a partir de un bioconjugado de formula (I) ;
d) incubar la muestra y el anticuerpo (o el antisuero) de la etapa (c)
e) determinar si se ha producido reacción inmunoquímica entre el aducto de fórmula (ii) y el anticuerpo (o el antisuero) de la invención tras la etapa (d) , de manera que si se detecta reacción inmuniquímica, se concluye que existe patulina en la muestra y, en caso contrario, se concluye que no existe patulina en dicha muestra.
En la etapa d) se producirá una reacción inmunoquímica entre el aducto (ii) y el anticuerpo en caso de que en la muestra original exista patulina. No tendrá lugar dicha reacción en caso contrario.
El método de la presente invención permite la determinación cuantitativa o análisis cualitativo del contenido de la micotoxina patulina en una muestra. Asimismo, el método de la presente invención permite analizar el contenido de patulina en diferentes tipos de muestras, por ejemplo, muestras de alimentos, muestras medioambientales tales como agua y suelo, y muestras biológicas aisladas tales como, saliva, orina o sueros. Preferentemente, la presente invención proporciona un método de análisis in vitro de patulina en frutos y derivados y más preferentemente en manzanas y productos derivados de las mismas, como zumos o compotas.
La determinación de la reacción inmunoquímica en el paso (e) se realiza mediante métodos ampliamente conocidos en el estado de la técnica. Dichos métodos comprenden, sin limitarse a, diferentes formatos de inmunoensayo, tales como ELISA (Enzyme-Linked Immunosorbent Assay) , LFIA (Lateral-Flow ImmunoAssay) Western Blot, radioinmunoensayo (RIA) , biosensores, inmunocromatografía, y microarrays.
Según una realización preferida, los tiempos de incubación de las etapas (b) y (d) son superiores a 5 minutos.
En una realización preferida, la etapa b) se lleva a cabo a temperaturas de entre -200C y 60 °C,
Según otra realización preferida, la determinación de la reacción inmunoquímica en el paso (e) se realiza mediante un inmunoensayo competitivo, usando como competidor un bioconjugado de formula (I) o un derivado marcado de fórmula (II) . Preferentemente, el inmunoensayo competitivo es de tipo ELISA o inmunocromatográfico.
El término "inmunoensayo" hace referencia a un ensayo analítico en el que ocurre una reacción inmunoquímica para la detección o cuantificación de un analito. Los inmunoensayos competitivos son aquéllos en los que el analito compite con otra molécula por la unión con el anticuerpo.
El término "antígeno" en esta solicitud de patente se refiere a una molécula capaz de interaccionar específicamente con un anticuerpo. La interacción o reacción inmunoquímica consiste en la unión específica y no covalente entre un anticuerpo y un antígeno, pudiendo ser éste el analito o un antígeno de ensayo.
En la presente memoria el término "antígeno de ensayo", "antígeno enzimático" o "trazador" se refiere a un bioconjugado de formula (I) o a un derivado marcado de formula (II) que se utiliza en el ensayo competitivo.
Un último aspecto de la presente invención también se refiere a un kit de detección de patulina que utiliza un benceno-1, 2-ditiol de fórmula (i) y al menos un anticuerpo de la invención. Adicionalmente, el kit de detección de patulina puede comprender un bioconjugado de formula (I) o un derivado marcado de formula (II) tal como se describen en la presente solicitud de patente.
Los términos "inmunógeno" e "inmunogénico" tal como se utilizan en la presente invención se refieren a una sustancia que es reconocida como extraña al organismo vivo y por lo tanto es capaz de generar una respuesta inmune en un huésped. En la presente invención el inmunógeno es un bioconjugado de fórmula (I) .
A lo largo de la descripción y las reivindicaciones la palabra "comprende" y sus variantes no pretenden excluir otras características técnicas, aditivos, componentes o pasos. Para los expertos en la materia, otros objetos, ventajas y características de la invención se desprenderán en parte de la descripción y en parte de la práctica de la invención.
A continuación se ilustra con algunos ejemplos y figuras la forma en que puede efectuarse la preparación de varios aductos de fórmula (¡i) , resultantes de la reacción de un benceno-1, 2-ditiol con patulina, de algunos derivados funcionalizados de los mismos (haptenos) , y de los correspondientes bioconjugados de fórmula (I) y derivados marcados de fórmula (II) , que no pretenden que sean limitativos de la presente invención, y que sirven para mostrar no sólo la forma en que puede efectuarse la preparación de los mismos sino también la importancia que puede tener la naturaleza estructural del bioconjugado de fórmula (I) para la producción de anticuerpos de afinidad adecuada hacia el analito, aptos para el desarrollo de un eficaz método inmunoanalítico.
BREVE DESCRIPCIÓN DE LAS FIGURAS
Figura 1. Prueba de especificidad. Dos anticuerpos monoclonales (mAb#235 y mAb#338) obtenidos frente al conjugado BSA-le, se ensayaron mediante ELISA competitivo en formato directo utilizando como competidores el aducto de patulina de estructura (ii-2) (círculos) , patulina (cuadrados) , y 3, 6-diclorobenceno-1, 2-bis (tiolato) de sodio (triángulos) , compuesto de fórmula (i) que tras reaccionar con patulina origina el compuesto de fórmula (ii-2) .
EJEMPLOS
A continuación, se ilustra la invención mediante unos ensayos realizados por los inventores, que muestran cómo pueden prepararse los bioconjugados de fórmula (I) y los derivados marcados de fórmula (II) a partir de los aductos 1:1 resultantes de la reacción de patulina con un benzeno-1, 2-ditiol, y que ponen de manifiesto la efectividad de los bioconjugados de fórmula (I) para la obtención de anticuerpos frente a este aducto. Se muestra también cómo, a partir de estos bioconjugados, marcadores y anticuerpos, puede desarrollarse un inmunoensayo de elevada sensibilidad para la determinación de patulina que incluye una etapa previa para su conversión en el mencionado aducto. Los números en negrita hacen referencia a la correspondiente estructura que se muestra en los esquemas. Estos ejemplos se presentan a modo de demostración, pero de ningún modo pueden suponer un límite a la invención.
1. Técnicas generales
1.1. Reactivos, equipos y técnicas generales utilizadas en la preparación de los aductos, haptenos y bioconjugados.
Los disolventes orgánicos se secaron y destilaron antes de su uso utilizando técnicas estándar. El tetrahidrofurano (THF) se destiló sobre Na y benzofenona en atmósfera de N2 justo antes de usarse. CH2 CI2 y MeCN se destilaron de CaH2 de la misma manera. La N, N-dimetilformamida (DMF) se destiló de CaH2 a 7 mmHg y se almacenó a ~20 °C sobre tamiz molecular de 4Á. Los solventes y reactivos comerciales restantes se usaron sin purificación previa. Las reacciones se monitorizaron mediante cromatografía en capa fina (TLC) en placas de sílice pre-recubiertas (espesor de capa de 0, 25 mm, gel de sílice 60 F254) usando luz UV como agente de visualización y ácido fosfomolibódico etanólico o soluciones acuosas de molibdato de amonio cérico y calor como agentes de desarrollo. Las purificaciones cromatográficas en columna se realizaron usando gel de sílice 60 (tamaño de partícula 0, 043 0, 063 mm) . Los espectros de RMN se registraron con un espectrómetro Bruker DPX300 a 300 MHz (1H) y a 75 MHz (13C) , con un espectrómetro Bruker DRX400 a 400 MHz (1H) y a 100 MHz (13C) y con un espectrómetro Bruker DRX 500 a 500 MHz (1H) y a 125 MHz (13C) . Los desplazamientos químicos (5) se expresan en ppm utilizando el solvente residual como referencia interna en todos los casos [ (7, 27 y 77, 00) , (2, 05 y 29, 84) y (3, 58 y 67, 57) ppm, para los espectros de (1H y 13C) en CDCI3 , acetona-d6 y THF-ds, respectivamente]. Los grados de sustitución de carbono se establecieron mediante secuencias de pulsos DEPT. En la mayoría de los casos, se usó una combinación de experimentos COSY y HSQC para la asignación de esplazamientos químicos de 1H y 13C. Los espectros de infrarrojo (IR) se adquirieron sin preparación previa en un espectrómetro FTIR de Thermo Fisher Scientific (Waltham, EE. UU.) empleando la técnica de Reflectancia Total Atenuada (ATR) ; la intensidad de los picos se da utilizando las siguientes abreviaturas: f (fuerte) , m (medio) , d (débil) . Los espectros de masas de alta resolución (EMAR) se obtuvieron utilizando un equipo TripleTOF TM 5600 LC/MC/MC System, de AB SCIEX (Nieuwerkerk aan den IJssel, Países Bajos) , equipado con una fuente de electrospray. Los datos obtenidos se expresan como relación masa/carga (m/z) .
El análisis de los bioconjugados se realizó con un espectrómetro de masas con analizador de tiempo de vuelo e ionización por desorción láser asistida por matriz (MALDI-TOF) , modelo 5800 (ABSciex) , en modo lineal positivo (1500 disparos para cada posición) en un rango de masa de 12.000-100.000 m/z.
1.2. Reactivos, equipos y técnicas generales utilizadas en la generación de anticuerpos e inmunoensayos.
La patulina de referencia se compró de Fermentek (Jerusalem, Israel) . La BSA (fracción V) fue de Roche Applied Science (Mannheim, Alemania) . Sigma/Aldrich (Madrid, España) proporcionó OVA, HRP, suero bovino, adyuvantes de Freund y o-fenilendiamina. Para la purificación de los bioconjugados de fórmula I y II se utilizaron columnas preempaquetadas de desalinización Sephadex G-25 HiTrap™ de GE Healthcare (Uppsala, Suecia) utilizando como tampón de elución fosfato sódico (PB) 100 mM, pH 7, 4. Las inmunoglobulinas anti conejo de cabra (GAR) y las inmunoglobulinas anti-ratón de cabra (GAM) se obtuvieron de Rockland Inc. (Limerick, PA, EE. UU.) y Jackson ImmunoResearch Laboratories Inc. (West Grove, PA, EE. UU.) , respectivamente. Como anticuerpo secundario, se usó el conjugado policlonal de anticuerpo anti-inmunoglobulina de conejo anti-ratón (RAM-HRP) de Dako (Glostrup, Dinamarca) . Se utilizaron placas Costar ELISA de poliestireno de 96 pocilios de alta unión y fondo plano de Corning (Corning, NY, EE. UU.) . Las absorbancias de ELISA se leyeron con un PowerWave HT de BioTek Instruments (Winooski, VT, EE.UU.) . Los pocilios de microplacas se lavaron con un lavador de microplacas ELx405 también de BioTek Instruments.
2. Preparación de aductos patulina-benceno-1, 2-ditiol de fórmula (ii)
Ejemplo 2.1. Preparación del ácido (Z) -3- (3- (hidroximetil) benzo[b][1, 4]ditiin-2 (3H) -ilideno) -4-oxobutanoico [aducto (ii-1) ].
Se pesó patulina (19, 7 mg, 0, 130 mmol) en un matraz de fondo redondo equipado con barra de agitación magnética y luego se disolvió en 17, 0 mL de PB 100 mM (pH 7, 4) . Por otro lado, se pesó benceno-1, 2-bis (tiolato) de sodio (21, 2 mg, 0, 141 mmol, 1, 1 eq.) en un vial y se disolvió en 8, 7 mL de agua MiliQ. La última solución se añadió luego al matraz con la patulina y la mezcla se agitó durante 20 minutos a temperatura ambiente. La mezcla de reacción se enfrió en un baño de agua-hielo, se acidificó con ácido fórmico hasta pH 3-4 y se extrajo con AcOEt (20 mL x 3) . Las fases orgánicas reunidas se lavaron con salmuera (15 mL) , se secaron sobre MgSÜ4 anhidro y se concentraron a presión reducida para proporcionar el aducto (ii-1) (35, 5 mg, 92%) como un aceite amarillo.
Datos espectroscópicos del aducto (ii-1) : RMN d e 1H (500 MHz, acetona-de) 5 (ppm) 10, 25 (s, 1H, HCO) , 7, 38 (dd, J= 7, 2, 1, 9 Hz, 1H, H-8) , 7, 35 (dd, J= 7, 0, 2, 1 Hz, 1H, H--5) , 7, 28 7, 19 (m, 2H, H-6 y H-7) , 4, 54 (t, J = 7, 3 Hz, 1H, H-3) , 3, 70 (dd, J = 11, 2, 7, 9 Hz, 1H, CHOH) , 3, 67 y 3, 61 (sistema AB, J = 16, 8 Hz, cada uno 1H, H-2) , 3, 62 (dd, J = 11, 2, 6, 8 Hz, 1H, CHOH) ; RMN d e 13C (126 MHz, acetona-de) ó (ppm) 188, 7 (CH, C-4) , 171, 5 (C-1) , 154, 0 (C-2) , 131, 2 (CH, C-8) , 130, 7 (C, C-8a) , 128, 6 (C, C-4a) , 127, 9 (CH, C-6) , 127, 7 (CH, C-7) , 127, 6 (CH, C-5) , 127, 6 (C, C-3) , 62, 9 (CH2OH) , 43, 7 (CH, C-3) , 32, 4 (CH2, C-2) ; IR vmax (cmr 1) 3447m, 2924m, 1783m, 1725f, 1654f, 1558m, 1451m, 1200f, 1062f; EMAR m/z calculada para Ci3Hi304S2 [M+H]'+ 297, 0250, encontrada [M+H]'+ 297, 0250.
Ejemplo 2.2. Preparación del ácido (Z) -3- (5, 8-dicloro-3- (hidroximetil) benzo[b][1, 4]ditiin-2 (3H) -ilideno) -4-oxobutanoico [aducto (ii-2) ].
Se pesó patulina (7 mg, 0, 045 mmol) en un matraz de fondo redondo equipado con una barra magnética de agitación y se disolvió en 5, 5 mL de PB 100 mM (pH 7, 4) . A continuación, se añadió una disolución de 3, 6-diclorobenceno-1, 2-bis (tiolato) de potasio (14, 2 mg, 0, 049 mmol, 1, 1 eq.) en 3, 6 mL de MiliQ H2 O y la mezcla se agitó durante 20 minutos a temperatura ambiente. La mezcla de reacción se enfrió en un baño de agua-hielo y se acidificó con ácido fórmico hasta pH 3-4 y se extrajo con AcOEt (20 mL x 3) . Las fases orgánicas combinadas se lavaron con salmuera (15 mL) , se secaron sobre MgSÜ4 anhidro y se concentraron a presión reducida para proporcionar el aducto (ii-2) (16, 7 mg, 100%) como una espuma amarillenta.
Datos espectroscópicos del aducto (ii-2) : RMN de 1H (500 MHz, CDCI3) ó (ppm) 10, 36 (s,
vmax (cm-1) 3278m, 2920f, 2853m, 1701m, 1656f, 1559d, 1399f, 1162f; EMAR m/z calculada para C13H11CI2O4S2 [M+H] + 364, 9470, encontrado [M+H] + 364, 9454.
Ejemplo 2.3. Preparación de los ácidos (Z) -3- (3- (hidroximetil) -6-metilbenzo[b][1, 4]ditiin-2 (3H) -ilideno) -4-oxobutanoico y (Z) -3- (3- (hidroximetil) -7-metilbenzo[b][1, 4]ditiin-2 (3H) -ilideno) -4-oxobutanoico [aducto (ii-3) ].
Patulina (15, 6 mg, 0, 101 mmol) se añadió a un matraz de fondo redondo equipado con una barra magnética de agitación y luego se disolvió con 12, 0 mL de PB 100 mM (pH 7, 4) . A continuación, se añadió una disolución de 4-metilbenceno-1, 2-bis (tiolato) de sodio (22, 1 mg, 0, 110 mmol, 1, 1 eq.) en 12, 0 mL de MiliQ H2 O y la mezcla se agitó durante 20 minutos a temperatura ambiente, se enfrió en un baño de agua-hielo y se acidificó con ácido fórmico hasta pH 3-4. La mezcla se extrajo con CH CI3 (20 mL x 3) y las fases orgánicas combinadas se lavaron con salmuera (15 mL) , se secaron sobre MgSÜ4 anhidro y se concentraron a vacío ara dar una mezcla aproximadamente equimolecular de los aductos (ii-3) (30, 3 mg, 97%) como un aceite amarillo.
Datos espectroscópicos de los aductos (ii-3) : RMN de 1H (400 MHz, CDCI3) 5 (ppm) 10, 27 (s ancho, 1H, H-4) , 7, 18 (d, J = 8, 0 Hz, 0, 5H, H-5) , 7, 15 (d, J = 8, 0 Hz, 0, 5H, H-8) , 7, 12 (s ancho, 0, 5H, H-8) , 7, 09 (s ancho, 0, 5H, H-5) , 6, 99 (dd, J =8, 1, 1, 0 Hz, 0, 5H, H-6) , 6, 97 (dd, J = 8, 1, 1, 0 Hz, 0, 5H, H-7) , 4, 27 (m, 1H, H-3) , 3, 75-3, 58 (m, 2H, CH2OH) , 3, 67 y 3, 46 (sistema AB, J = 16, 6 Hz, cada uno 1H, H-2) , 2, 31 y 2, 30 (cada uno s, cada uno 1, 5H, CH3) ; RMN de 13C (126 MHz, CDCI3) 5 (ppm) 188, 3 (CH, C-4) , 174, 4 y 174, 3 (C, C-1) , 155, 1 (C, C-2) , 137, 6 y 126, 0 (C, C-4a) , 137, 4 y 129, 1 (C, C-8a) , 131, 1 y 127, 5 (CH, C-8) , 130, 5 y 127, 0 (CH, C-5) , 128, 4 y 128, 3 (CH, C-77C-6) , 126, 1 y 126, 0 (C, C-3) , 125, 9 y 123, 3 (C, C-6/C-7) , 62, 3 y 62, 2 (CH2OH) , 43, 2 y 43, 1 (CH, C-3) , 32, 3 y 32, 2 (CH2, C-2) , 21, 13 y 21, 07 (CH3) ; IR vmax (cm-1) 3406m, 2922m, 1709f, 1655f, 1562m, 1469m, 1175f, 1044f; EMAR m/z calculada para C 14 H13O3S2 [M-H20+H] + 293, 0301, encontrada [M-H20+H] + 293, 0298.
Ejemplo 2.4. Preparación del ácido (Z) -3- (6, 7-diciano-3- (hidroximetil) benzo[b][1, 4]ditiin-2 (3H) -ilideno) -4-oxobutanoico [aducto (ii-4) ].
Se pesó patulina (7 mg, 0, 045 mmol) en un matraz de fondo redondo equipado con una barra magnética de agitación y luego se disolvió con 6, 2 mL de PB 100 mM (pH 7, 4) . A continuación, se preparó en un vial una disolución de 4, 5-dimercaptoftalonitrilo (8, 8 mg, 0, 046 mmol, 1, 05 eq.) en 6, 2 mL de una solución acuosa 0, 016 M de NaOH (4, 0 mg, 0, 099 mmol, 2, 2 eq.) y se añadió al matraz de fondo redondo conteniendo la patulina. La mezcla se agitó durante 20 minutos a temperatura ambiente, se enfrió en un baño de agua-hielo y se acidificó con ácido fórmico hasta pH 3-4. La mezcla se extrajo con AcOEt (20 mL x 3) , las fases orgánicas combinadas se lavaron con salmuera (15 mL) , se secaron sobre MgSÜ4 anhidro y se concentraron a vacío para dar el aducto (ii-4) (17, 4 mg, 88%) como un aceite amarillo oscuro.
Datos espectroscópicos del aducto (ii-4) : RMN de 1H (300 MHz, acetona-d6) 5 (ppm) 10, 19 (s, 1H, HCO) , 8, 08 (s, 1H, H-8) , 8, 01 (s, 1H, H-5) , 4, 77 (t ancho, J = 7, 3 Hz, 1H, H-3) , 3, 76 (dd, J = 11, 3, 7, 8 Hz, 1H, CHOH) , 3, 75 y 3, 68 (sistema AB, J= 17, 0 Hz, cada uno 1H, H-2) , 3, 68 (dd, J = 11, 3, 6, 8 Hz, 1H, CHOH) ; RMN de 13C (75 MHz, acetona-d6) 5 (ppm) 189, 5 (CH, C-4) , 171, 2 (C, C-1) , 148, 6 (C, C-2) , 137, 9 (C, C-4a) , 136, 5 (C, C-8a) , 135, 2 (CH, C-5) , 132, 3 (CH, C-8) , 129, 5 (C, C-3) , 115, 9 (2C, CNx2) , 113, 0 (C, C-6) , 112, 8 (C, C-7) , 63, 0 (CH2OH) , 43, 2 (CH, C-3) , 32, 9 (CH2, C-2) ; IR vmax (crrr1) 3442m, 2232f, 1716f, 1668m, 1571f, 1518m, 1470m, 1220f, 1118f; EMAR m/z calculada para Ci5HgN204S2 [M-H]" 345, 0009, encontrado [M-H]" 344, 9994.
Ejemplo 2.5. Preparación del ácido (Z) -3- (3- (hidroximetil) -6, 7-dimetilbenzo[b][1, 4]ditiin-2 (3H) -ilideno) -4-oxobutanoico [aducto (ii-5) ].
Se pesó patulina (9, 8 mg, 0, 063 mmol) en un matraz de fondo redondo equipado con una barra magnética de agitación y se disolvió con 8, 7 mL de PB 100 mM (pH 7, 4) . A continuación, se añadió una disolución de 4, 5-dimetilbenceno-1, 2-bis (tiolato) de sodio (15 mg, 0, 070 mmol, 1, 1 eq.) en 8, 7 mL de MiliQ H20 y la mezcla se agitó durante 20 minutos a temperatura ambiente. La mezcla de reacción resultante se enfrió en un baño de agua-hielo y se acidificó con ácido fórmico hasta pH 3-4, se extrajo con AcOEt (20 mL x 3) , las fases orgánicas reunidas se lavaron con salmuera (15 mL) , se secaron sobre MgSÜ4 anhidro y se concentraron a presión reducida en el rotavapor. El residuo obtenido se purificó por medio de una cromatografía de columna rápida sobre gel de sílice, utilizando una mezcla 95:5 de CH CI3-MeOH como eluyente, para proporcionar el aducto (ii-5) (6, 5 mg, 32%) como un aceite amarillo.
Datos espectroscópicos del aducto (ii-5) . RMN de 1H (300 MHz, acetona-de) ó (ppm) 10, 23 (s, 1H, HCO) , 7, 14 (s, 1H, H-8) , 7, 11 (s, 1H, H-5) , 4, 47 (dd, J = 7, 9, 6, 8 Hz, 1H, H-3) , 3, 69 (dd, J= 11, 1, 7, 9 Hz, 1H, CHOH) , 3, 66 y 3, 58 (sistema AB, J= 16, 9 Hz, cada uno 1H, H-2) , 3, 60 (dd, J= 11, 1, 6, 8 Hz, 1H, CHOH) , 2, 23 y 2, 22 (cada unos, cada uno3H, CH3x2) ; RMN de 13C (75 MHz, acetona-d6) 5 (ppm) 188, 5 (CH, C-4) , 171, 7 (C, C-1) , 154, 9 (C, C-2) , 136, 9 (C, C-4a) , 136, 8 (C, C-8a) , 131, 8 (CH, C-8) , 128, 2 (CH, C-5) , 127, 3 (C, C-6) , 127, 3 (C, C-7) , 125, 0 (C, C-3) , 62, 9 (CH2OH) , 43, 9 (CH, C-3) , 32, 4 (CH2, C-2) , 19, 2 (CH3x 2) ; IR vmax (cmr 1) 3375m, 2922m, 1716m, 1651f, 1558m, 1455m; EMAR m/z calculada para C15H17O4S2 [M+H] + 325, 0563, encontrado [M+H] + 325, 0558.
3. Preparación de bioconjugados de fórmula (I) y (II)
Ejemplo 3.1. Preparación de bioconjugados de fórmula (I) para T = R-l (R1 = R2 = R3 = R4 = H) , sin cadena L, Z = -N H - y P = BSA (seroalbúmina bovina) y OVA (ovoalbúmina) .
BSA-la: P = BSA; m = 6, 0
OVA-la: P = OVA; m = 4, 6
3.1.1. Activación del grupo carboxílico del aducto (ii-1) . El aducto (ii-1) (5, 2 mg, 0, 018 mmol) , W- (3-dimetilaminopropil) -W'-etil carbodiimida clorhidrato, EDC HCI, (4, 2 mg, 0, 022 mmol, 1, 25 eq.) y W-hidroxisuccinimida, NHS, (3, 5 mg, 0, 022 mmol, 1, 25 eq.) se añadieron a un vial de reacción que se purgó con nitrógeno. A continuación, se añadió acetona seca (400 pL) y la mezcla se agitó durante 2 horas a temperatura ambiente. Una vez comprobada la finalización de la reacción por CCF, se añadieron 5 mL de agua al vial y la mezcla se extrajo con CHCI3 (10 mL x 3) . Las fases orgánicas combinadas se lavaron con salmuera (10 mL) , se secaron sobre MgSÜ4 anhidro y se concentraron a presión reducida para dar (ii-l) -NH S (4, 1 mg, 59%) como un aceite amarillo. RMN de 1H (500 MHz, CDCI3) 5 (ppm) 10, 33 (s, 1H, HCO) , 7, 35 y 7, 28 (m, 2H, H-8 y H-5) , 7, 23-7, 15 (m, 2H, H-6 y H-7) , 4, 20 (t, J= 7, 3 Hz, 1H, H-3) , 4, 06 y 3, 73 (cada uno d, J= 17, 3 Hz, cada uno 1H, H-2) , 3, 71 (dd, J= 11, 7, 7, 2 Hz, 1H, CHOH) , 3, 65 (dd, J= 11, 7, 7, 5 Hz, 1H, CHOH) , 2, 85 [s ancho, 4H, CO (CH2) 2CO],
3.1.2. Preparación del bioconjugado del aducto (ii-1) con BSA [Bioconjugado BSA-la], 132 pL de la disolución aproximadamente 100 mM en DMSO del éster activo del aducto (ii-1) obtenido n la reacción anterior, [ (ii-l) -NHS], se añadieron lentamente y con agitación sobre 0, 97 mL de una disolución de BSA (15 mg/mL) en PB 100 mM, pH 7, 4. La reacción de conjugación se incubó durante 20 h con agitación a temperatura ambiente. Transcurrido este tiempo, el bioconjugado de BSA formado se purificó por cromatografía de exclusión molecular en 3 columnas de desalinización Sephadex G-25 HiTrap™ de 5 mL acopladas, utilizando como tampón de elución PB 100 mM, pH 7, 4. Tras el proceso de purificación, las fracciones recogidas que contenían el bioconjugado de BSA se reunieron, se esterilizaron por filtración a través de un filtro de nylon de 0, 45 pm y se llevaron a una concentración final de 1 mg/mL con tampón de elución filtrado y se almacenaron a -20 °C.
Para determinar la carga hapténica (m) obtenida en el bioconjugado, una alícuota de 100 pL del bioconjugado BSA-la purificado se dializó (diálisis contra 5 L de agua desionizada con al menos 3 a 4 cambios de agua por 24 h a 4 °C) ; finalmente, el producto dializado se utilizó para calcular la eficiencia de la conjugación en términos del número medio de moléculas de aducto (ii-1) acoplados por molécula de BSA mediante MALDI-TOF-MS (m = 6, 0, ver Tabla 2, entrada 1) .
3.1.3. Preparación del bioconjugado del aducto (ii-1) con OVA [Bioconjugado OVA-la], A partir de una disolución 50 mM en DMF del ésterde W-hidroxisuccinimidilo del aducto (ii-1) , [ (ii-1 ) -NHS], se tomaron 125 pL y se añadieron lentamente y con agitación a un volumen de 1, 85 mL de una disolución de OVA (15 mg/mL) en PB 100 mM, pH 7, 4. Después de 20 h de reacción en agitación lenta a temperatura ambiente, el bioconjugado formado se purificó como se ha descrito anteriormente para el bioconjugado de BSA. Las fracciones recogidas se llevaron a una concentración final de-1 mg/mL en tampón de elución con timerosal al 0, 01% (v/v) y se almacenaron a -20 °C. Una alícuota del bioconjugado OVA-la recién purificado se dializó y el número medio de moléculas de aducto conjugadas por molécula de OVA se determinó mediante MALDI-TOF-MS (m = 4, 6, verTabla 2, entrada 11) .
Ejemplo 3.2. Preparación de bioconjugados de fórmula (I) para T = R-l (R1 = R4 = Cl, R2 = R3 = H) , sin cadena L, Z = - (C = 0 ) N H - y P = BSA (seroalbúmina bovina) y OVA (ovoalbúmina) .
BSA-lb: P = BSA; m = 9, 6
OVA-Ib: P = OVA; m = 3, 7
3.2.1. Activación del grupo carboxílico del aducto (ii-2) . En un vial se pesaron el aducto (ii-2) (13, 0 mg, 0, 036 mmol) , EDC-HCI (8, 5 mg, 0, 045 mmol, 1, 25 eq.) y NHS (5, 4 mg, 0, 047 mmol, 1, 3 eq.) . Después de purgar con nitrógeno, se añadió una mezcla de MeCN (600 pL) y THF (100 pL) anhidros y la mezcla resultante se agitó durante 2 horas a temperatura ambiente. A continuación, se añadieron 5 mL de agua y se extrajo con CH2 CI2 (10 m L x 3) . Las fases orgánicas reunidas se lavaron con salmuera (10 mL) , se secaron sobre MgSÜ4 anhidro y se concentraron a presión reducida para dar (ii-2) -NHS (11, 5 mg, 69%) como un aceite amarillo. RMN de 1H (300 MHz, CDCI3) ó (ppm) 10, 38 (s, 1H, HCO) , 7, 21 (s, 2H, H-6 y H-7) , 4, 34 (t, J = 7, 3 Hz, 1H, H-3) , 4, 05 y 3, 79 (cada uno d, J = 17, 3 Hz, cada uno 1H, H-2) , 3, 73 (m, 2H, CH2OH) , 2, 86 [s ancho, 4H, CO (CH2) 2CO].
3.2.2. Preparación del bioconjugado del aducto (ii-2) con BSA [Bioconjugado BSA-lb], Preparado siguiendo el mismo procedimiento descrito anteriormente para el bioconjugado BSA-la (apartado 3.1.2) a partir de 132 pL de una disolución 100 mM en DMSO del éster activo del aducto (ii-2) [ (ii-2) -NHS] y 0, 97 mL de una disolución de BSA (15 mg/mL) en PB 100 mM, pH 7, 4. Tras el proceso de purificación, las fracciones recogidas que contenían el bioconjugado de BSA se reunieron, se esterilizaron por filtración a través de un filtro de nylon de 0, 45 pm y se llevaron a una concentración final de 1 mg/mL con tampón de elución filtrado y se almacenaron a -20 °C. El número medio de moléculas del aducto (ii-2) conjugadas por cada molécula de BSA, determinado por MALDI-TOF-MS, fue dem = 9, 6 (ver Tabla 2, entrada 2) .
3.2.3. Preparación del bioconjugado del aducto (ii-2) con OVA [Bioconjugado OVA-lb], Preparado como se ha descrito anteriormente para el bioconjugado OVA-la (apartado 3.1.3) a partir 125 pL de una disolución 50 mM en DMF del aducto (ii-2) activado [ (ii-2) -NHS] y 0, 97mL de una disolución de OVA (15 mg/mL) en PB 100 mM, pH 7, 4. Tras la correspondiente purificación cromatográfica, las fracciones recogidas se llevaron a una concentración final de 1 mg/mL en tampón de elución con timerosal al 0, 01% (v/v) y se almacenaron a -20 °C. El número medio de moléculas del aducto (ii-2) conjugadas por cada molécula de OVA, determinado por MALDI-TOF-MS, fue dem = 3, 7 (verTabla 2, entrada 12) .
E jemplo 3.3. Preparación de bioconjugados de fórmula (I) para T = R-l [ (R1 = R3 = R4 = H, R2 = CH3) y (R1 = R2 = R4 = H, R3 = CH3) ], sin cadena L, Z = -N H - y P = BSA (seroalbúmina bovina) y OVA (ovoalbúmina) .
R2 = CH3, R3 = H
BSA-lc ; P = BSA; m = 4, 6
R2 = H, R3 = CH3
R2 = CH3, R3 H
OVA-le ; P = OVA; m = 3, 9
R2 = H, R3 CH3
3.3.1. Activación del grupo carboxílico de los aductos (ii-3) . Una disolución de la mezcla de los aductos (ii-3) (26, 0 mg, 0, 09 mmol) , EDC HCI (21, 0 mg, 0, 11 mmol, 1, 25 eq.) y NHS (12, 7 mg, 0, 11 mmol, 1, 25 eq.) en acetona seca (1, 5 mL) se agitó a temperatura ambiente durante 2 horas. Finalizada la reacción, se añadieron 10 mL de agua a la reacción y se extrajo con CH2 CI2 (20 m Lx3) . Las fases orgánicas reunidas se lavaron con salmuera (15 mL) , se secaron obre MgS0 4 anhidro y se concentraron a presión reducida para dar los ésteres de N-hidroxisuccinimidilo de los aductos (ii-3) (20, 4 mg, 55%) como un aceite amarillo. RMN de 1H (300 MHz, CDCI3) 5 (ppm) RMN de 1H (300 MHz, CDCI3) 5 (ppm) 10, 32 y 10, 31 (cada uno s, cada uno 0, 5H, H-4) , 7, 22 (d, J = 8, 0 Hz, 0, 5H, H-5) , 7, 17 (d, J = 8, 0 Hz, 0, 5H, H-8) , 7, 17 (m, 0, 5H, H-8) , 7, 11 (m, 0, 5H, H-5) , 7, 01 (m, 0, 5H, H-6) , 6, 99 (m, 0, 5H, H-7) , 4, 21-4, 01 (m, 2H, H-3 y H-2) , 3, 80-3, 58 (m, 3H, H'-2 y CH2OH) , 2, 84 [s ancho, 4H, CO (CH2) 2CO], 2, 31 y 2, 30 (cada uno s, cada uno 1, 5H, CH3) .
3.3.2. Preparación del bioconjugado de los aductos (ii-3) con BSA [Bioconjugado BSA-lc], Preparado como se ha descrito anteriormente para el bioconjugado BSA-la (apartado 3.1.2) a partir de 132 pL de una disolución 50 mM en DMF de la mezcla de los ésteres activos de los aductos (ii-3) y 0, 97 mL de una disolución de BSA (15 mg/mL) en PB 100 mM, pH 7, 4. Tras el proceso de purificación, las fracciones recogidas que contenían el bioconjugado de BSA se reunieron, se esterilizaron por filtración a través de un filtro de nylon de 0, 45 pm y se llevaron a una concentración final de 1 mg/mL con tampón de elución filtrado y se almacenaron a -20 °C. El número medio de moléculas de los aductos (ii-3) conjugadas por cada molécula de BSA, determinado por MALDI-TOF-MS, fue de-m = 4, 6 (verTabla 2, entrada 3) .
3.3.3. Preparación del bioconjugado de los aductos (ii-3) con OVA [Bioconjugado OVA-lc], Preparado como se ha descrito anteriormente para el bioconjugado OVA-la (apartado 3.1.3) a partir de 125 pL de una disolución 50 mM en DMF de los ésteres activos de los aductos (ii-3) y 1, 85 mL de una disolución de OVA (15 mg/mL) en PB 100 mM, pH 7, 4. Tras la purificación cromatográfica, las fracciones recogidas se llevaron a una concentración final de 1 mg/mL en tampón de elución con timerosal al 0, 01% (v/v) y se almacenaron a -20 °C. El número medio de moléculas de los aductos (ii-3) conjugadas por cada molécula de OVA, determinado por MALDI-TOF-MS, fue dem = 3, 9 (verTabla 2, entrada 13) .
Ejemplo 3.4. Preparación de bioconjugados de fórmula (I) y (II) para T = R-ll [ (R1 = R2 = R3 = R4 = H) , L = N -O -C H 2-, Z = - (C = 0 ) N H - y P = BSA (seroalbúmina bovina) y OVA (ovoalbúmina) y Q = HRP (peroxidasa de rábano picante) .
El aducto (ii-1) (17, 5 mg, 0, 059 mmol) y el hemihidrocloruro de O- (carboximetil) hidroxilamina (10, 31 mg, 0, 094 mmol, 1, 6 eq.) se pesaron en un vial equipado con una barra magnética de agitación. El vial se purgó con nitrógeno, se añadieron 0, 4 mL de EtOH absoluto, 100 pL de THF anhidro y piridina seca (10 pL, 0, 124 mmol, 2, 1 eq.) y la disolución resultante se agitó a temperatura ambiente durante 4 horas. Los disolventes se evaporaron a presión reducida, el residuo se suspendió en 1 mL de una disolución acuosa 1M de HCI fría, se extrajo con AcOEt (10 mL x 3) , las fases orgánicas reunidas se lavaron con salmuera (15 mL) , se secaron sobre MgSÜ4 anhidro y se concentraron en el rotavapor para dar el hapteno (h-d) (14 mg, 64%) como un film amarillo.
Datos espectroscópicos del hapteno (h-d) : RMN de 1H (500 MHz, acetona-d6) 5 (ppm) 8, 54 (s, 1H, H-4) , 7, 31 (dd, J= 7, 9, 1, 5 Hz, 1H, H-5) , 7, 29 (dd, J= 7, 7, 1, 7 Hz, 1H, H-8) , 7, 19 (td, J = 7, 6, 1, 7 Hz, 1H, H-6) , 7, 15 ( td, J = 7, 4, 1, 5 Hz, 1H, H-7) , 4, 66 (s, 2H, NOCH2) , 4, 51 (dd, J = 7, 9, 6, 8 Hz, 1H, H-3) , 3, 71 (dd, J= 11, 1, 7, 9 Hz, 1H, CHOH) , 3, 70 y 3, 65 (sistema AB, J = 16, 9 Hz, cada uno 1H, H-2) , 3, 60 (dd, J= 11, 1, 6, 8 Hz, 1H, CHOH) ; RMN de 13C (126 MHz, acetona-de) 5 (ppm) 171, 4 (C, C-1) , 170, 7 (C 02H) , 148, 5 (CH, C-4) , 140, 0 (C, C-2) , 130, 95 (CH, C-8) , 130, 9 (C, C-8a) , 128, 4 (C, C-4a) , 127, 5 (CH, C-5) , 127, 3 (CH, C-6) , 127, 1 (CH, C-7) , 121, 8 (C, C-3) , 71, 4 (NOCH2) , 63, 5 (CH2OH) , 43, 4 (CH, C-3) , 33, 7 (CH2, C-2) ; IR vmax (cm-1) 3006m, 2926f, 2113d, 1707f, 1628d, 1420m, 1360f, 1220f, 1092f; EMAR calculada para C i 5Hi6N 06S2 [M+H] + 370, 0414, encontrado [M+H] + 370, 0420.
3.4.2. Preparación de los bioconjugados del hapteno (h-d) .
BSA-ld: P = BSA; m = 14, 1
OVA-Id: P = OVA; m =4, 4
HRP-lld: Q = HRP; n = 0, 8
3.4.2.1. Activación del hapteno (h-d) . El hapteno (h-d) (7, 9 mg, 0, 021 mmol) , EDC HCI (4, 1 mg, 0, 021 mmol, 1 eq.) y NHS (2, 4 mg, 0, 021 mmol, 1 eq.) se pesaron en un vial de reacción y se purgó con nitrógeno. El vial se enfrió luego a -50 0C y luego se añadieron 300 pL de una mezcla 2:1 de MeCN y THF anhidros. La mezcla se agitó durante 2 horas, manteniendo la temperatura entre -45 0C y -40 0C. Luego se añadieron 5 mL de agua fría al vial y la mezcla se extrajo con AcOEt (10 mL x 3) . Las fases orgánicas combinadas se lavaron con salmuera (15 mL) , se secaron sobre MgSÜ4 anhidro y se concentraron a vacío para dar el éster activo (h-d) -NHS como un aceite amarillo (6, 6 mg) .
3.4.2.2. Preparación del bioconjugado del hapteno (h-d) con BSA [Bioconjugado BSA-ld], Preparado como se ha descrito anteriormente para el bioconjugado BSA-la (apartado 3.1.2) a partir de 132 pL de una disolución 100 mM en DMSO del éster activo del hapteno (h-d) y 0, 97 mL de una disolución de BSA (15 mg/mL) en PB 100 mM, pH 7, 4. Tras el proceso de purificación, las fracciones recogidas que contenían el bioconjugado de BSA se reunieron, se esterilizaron por filtración a través de un filtro de nylon de 0, 45 pm y se llevaron a una concentración final de 1 mg/mL con tampón de elución filtrado y se almacenaron a -20 °C. El número medio de moléculas de hapteno (h-d) conjugadas por cada molécula de BSA, determinado por MALDI-TOF-MS, fue dem = 14, 1 (verTabla 2, entrada 4) .
3.4.2.3. Preparación del bioconjugado del hapteno (h-d) con OVA [Bioconjugado OVA-ld], Preparado como se ha descrito anteriormente para el bioconjugado OVA-la (apartado 3.1.3) a partir de 80 pL de una disolución 50 mM en DMSO del éster de W-hidroxisuccinimidilo del hapteno (h-d) y 1 mL de una disolución de OVA (5 mg/mL) en PB 100 mM, pH 7, 4. Tras la purificación cromatográfica, las fracciones recogidas se llevaron a una concentración final de 1 mg/mL en tampón de elución con timerosal al 0, 01% (v/v) y se almacenaron a -20 °C. El número medio de moléculas de hapteno (h-d) conjugadas por cada molécula de OVA, determinado por MALDI-TOF-MS, fue dem = 4, 4 (verTabla 2, entrada 14) .
3.4.2.4. Preparación del bioconjugado del hapteno (h-d) con HRP [Bioconjugado HRP-lld], A partir de una disolución 20 mM de la mezcla del éster activo del hapteno (h-d) en DMF, se tomaron 122 pL y se añadieron lentamente y con agitación sobre 0, 9 mL de una disolución de HRP a una concentración de 3 mg/mL en tampón fosfato 100 mM, pH 7, 4. La reacción de conjugación se incubó durante 20 h a temperatura ambiente. Finalizada la conjugación, los trazadores enzimáticos se purificaron siguiendo el procedimiento descrito previamente para los bioconjugados de BSA y OVA. Una alícuota del bioconjugado HRP-lld recién purificado se dializó y el número medio de moléculas de aducto conjugadas por molécula de HRP se determinó mediante MALDI-TOF-MS (n = 0, 8, ver Tabla 2, entrada 21) . El resto del trazador se llevó a concentraciones conocidas de entre-250-650 pg/mL en PB con BSA al 1% (p/v) y timerosal al 0, 02% (p/v) y se almacenaron a 4 °C.
Ejemplo 3.5. Preparación de bioconjugados de fórmula (I) y (II) para T = R-ll [ (R1 = R4 = Cl, R2 = R3 = H) , L = N -O -C H 2-, Z = - (C = 0 ) N H - y P = BSA (seroalbúmina bovina) y OVA (ovoalbúmina) y Q = HRP (peroxidasa de rábano picante) .
3.5.1. Preparación de (3Z, 4E) -4- ( (carboximetoxi) imino) -3- (5, 8-dicloro-3- (hidroximetil) benzo[b][1, 4]ditiin-2 (3H) -ilideno) butanoico [Hapteno (h-e) ].
El aducto (ii-2) (16, 3 mg, 0, 045 mmol) y el hemihidrocloruro de O- (carboximetil) hidroxilamina (6, 4 mg, 0, 058 mmol, 1, 3 eq.) se pesaron en un vial equipado con una barra magnética de agitación, el vial se purgo con nitrógeno y se añadieron 0, 4 mL de etanol absoluto piridina eca (7, 6 pL, 0, 095 mmol, 2, 1 eq.) . La disolución resultante se agitó durante 3 horas a temperatura ambiente, se evaporó el disolvente a presión reducida, el residuo resultante se suspendió en 1 mL de una disolución acuosa 1M de HCI fría y se extrajo con AcOEt (10 m L x 3) . Las fases orgánicas reunidas se lavaron con salmuera (15 mL) , se secaron sobre MgSÜ4 anhidro y se concentraron en el rotavapor para dar el hapteno (h-e) (13, 7 mg, 70%) como un film amarillo.
Datos espectroscópicos del hapteno (h-e) : RMN de 1H (500 MHz, acetona-d6) 5 (ppm) 8, 61 (s, 1H, H-4) , 7, 33 (sistema AB, J= 8, 6 Hz, 2H, H-6 y H-7) , 4, 71 (dd, J = 8, 4, 6, 3 Hz, 1H, H-3) , 4, 69 (s, 2H, NOCH2) , 3, 78 y 3, 69 (sistema AB, J = 16, 8 Hz, cada uno 1H, H-2) , 3, 77 (dd, J = 11, 1, 8, 4 Hz, 1H, CHOH) , 3, 68 (dd, J= 11, 1, 6, 3 Hz, 1H, CHOH) ; RMN de 13C (126 MHz, acetona-de) 5 (ppm) 171, 0 (C, C-1) , 170, 6 (CO2 H) , 148, 8 (CH, C-4) , 136, 2 (C, C-2) , 132, 3 (C, C-8a) , 130, 4 (C, C-5) , 130, 0 (C, C-8) , 129, 7 (C, C-4a) , 127, 8 (CH, C-7) , 127, 7 (CH, C-6) , 124, 8 (C, C-3) , 71, 4 (NOCH2) , 64, 0 (CH2OH) , 43, 1 (CH, C-3) , 33, 8 (CH2, C-2) ; IR vmax (cm-1) : 3054m, 2924f, 2117d, 1701f, 1403f, 1353m, 1220f, 1164f, 1090f, 1071f; EMAR calculada para C 15 H14CI2 NO6S2 [M+H] + 437, 9634, encontrado [M+H] + 437, 9632.
3.5.2. Preparación de los bioconjugados del hapteno (h-e) .
BSA-le: P = BSA; m = 12, 3
OVA-le: P = OVA; m = 2, 4
HRP-lle: Q = HRP; n = 0, 8
3.5.2.1.
ación del hapteno (h-e) . El hapteno (h-e) (6, 7 mg, 0, 015 mmol) , EDC HCI (2, 9 mg, 0, 015 mmol, 1 eq.) y NHS (1, 7 mg, 0, 015 mmol, 1 eq.) se pesaron en un vial que se purgó con nitrógeno. El vial se enfrió a -50 0C y se añadió una mezcla de MeCN (300 pL) y THF (100 pL) secos, la mezcla resultante se agitó durante 2 horas, manteniendo la temperatura entre -45 0C y -40 0C. A continuación, se añadieron 5 mL de agua fría y se extrajo con AcOEt (10 mL x 3) , las fases orgánicas combinadas se lavaron con salmuera (15 mL) , se secaron sobre MgSÜ4 anhidro y se concentraron a presión reducida para dar el éster activo (h-e) -NHS (6, 9 mg) como un aceite amarillo.
3.5.2.2. Preparación del bioconjugado del hapteno (h-e) con BSA [Bioconjugado BSA-le], Preparado como se ha descrito anteriormente para el bioconjugado BSA-la (apartado 3.1.2) a partir de 132 pL de una disolución 100 mM en DMSO del éster activo del hapteno (h-e) y 0, 97 mL de una disolución de BSA (15 mg/mL) en PB 100 mM, pH 7, 4. Tras el proceso de purificación, las fracciones recogidas que contenían el bioconjugado de BSA se reunieron, se esterilizaron por filtración a través de un filtro de nylon de 0, 45 pm y se llevaron a una concentración final de 1 mg/mL con tampón de elución filtrado y se almacenaron a -20 °C. El número medio de moléculas de hapteno (h-e) conjugadas por cada molécula de BSA, determinado por MALDI-TOF-MS, fue dem = 12, 3 (verTabla 2, entrada 5) .
3.5.2.3. Preparación del bioconjugado del hapteno (h-e) con OVA [Bioconjugado OVA-le], Preparado como se ha descrito anteriormente para el bioconjugado OVA-la (apartado 3.1.3) a partir de 80 pL de una disolución 50 mM en DMSO del éster de W-hidroxisuccinimidilo del hapteno (h-e) y 1 mL de una disolución de OVA (5 mg/mL) en PB 100 mM, pH 7, 4. Tras la purificación cromatográfica, las fracciones recogidas se llevaron a una concentración final de 1 mg/mL en tampón de elución con timerosal al 0, 01% (v/v) y se almacenaron a -20 °C. El número medio de moléculas de hapteno (h-e) conjugadas por cada molécula de OVA, determinado por MALDI-TOF-MS, fue dem = 2, 4 (verTabla 2, entrada 15) .
3.5.2.4. Preparación del bioconjugado del hapteno (h-e) con HRP [Bioconjugado HRP-lle], Preparado como se ha descrito anteriormente para el bioconjugado HRP-lla (apartado 3.4.5.) a partir de 122 pL de una disolución 20 mM de la mezcla del éster activo del hapteno (h-e) en DMSO y 0, 9 mL de una disolución de HRP (3 mg/mL) en PB 100 mM, pH 7, 4. Tras la purificación cromatográfica, las fracciones obtenidas conteniendo el trazador se llevaron a concentraciones conocidas de entre 250-650 pg/mL en PB con BSA al 1% (p/v) y timerosal al 0, 02% (p/v) y se almacenaron a 4 °C. El número medio de moléculas del hapteno (h-e) conjugadas por cada molécula de HRP, determinado por MALDI-TOF-MS, fue de n = 0, 8 (ver Tabla 2, entrada 22) .
Ejemplo 3.6. Preparación de bioconjugados de fórmula (I) y (II) para T = R-ll [ (R1 = R3 = R4 = H, R2 = CH3) y (R1 = R2 = R4 = H, R3 = CH3) ], L = N -0 -C H 2-, Z = - (C = 0 ) N H - y P = BSA (seroalbúmina bovina) y OVA (ovoalbúmina) y Q = HRP (peroxidasa de rábano picante) .
il) -6-
(hidroximetil) -7-metilbenzo[b][1, 4]ditiin-2 (3H) -ilideno) butanoíco [Hapteno (h-f) ].
El hemihidrocloruro de 0- (carboximetil) hidroxilamina (4, 8 mg, 0, 044 mmol, 1, 3 eq.) se disolvió en una mezcla de 0, 2 mL de EtOH y piridina (5, 8 pL, 0, 071 mmol, 2, 1 eq.) en un matraz de fondo redondo equipado con una barra magnética de agitación. A la disolución resultante se le añadió, gota a gota, una disolución de la mezcla de los aductos (ii-3) obtenida en el ejemplo 2.3 (10, 5 mg, 0, 034 mmol) en 0, 5 mL de EtOH. La mezcla se agitó durante 3 horas a temperatura ambiente. A continuación, se evaporó el disolvente a vacío en el rotavapor y el residuo obtenido se suspendió en 1 mL de una disolución acuosa 1M de HCI enfriada en un baño de hielo-agua. La fase acuosa se extrajo con AcOEt (10 mL x 3) , los extractos orgánicos reunidos se lavaron con salmuera (15 mL) , se secaron sobre MgSÜ4 anhidro y se concentraron a presión reducida. La mezcla resultante se purificó por cromatografía de columna rápida sobre gel de sílice, usando una mezcla 95:5 de CHCI3-MeOH como eluyente, para proporcionar una mezcla de haptenos (h-f) como un aceite amarillo (5, 8 mg, 45%) .
Datos espectroscópicos de los haptenos (h-f) : RMN de 1H (500 MHz, acetona-de) ó (ppm) 10, 80 (s ancho, C 02H) , 8, 53 y 8, 528 (cada uno s, cada uno 0, 5H, H-4) , 7, 18 (d, J = 8, 1 Hz, 0, 5H, H-8) , 7, 16 (d, J= 8, 1 Hz, 0, 5H, H-5) , 7, 13 (d, J = 2, 1 Hz, 0, 5H, H-8) , 7, 11 (d, J = 2, 1 Hz, 0, 5H, H-5) , 7, 02 (dd, J= 8, 1, 2, 1 Hz, 0, 5H, H-6) , 6, 98 (dd, J = 8, 1, 2, 1 Hz, 0, 5H, H-7) , 4, 67 y 4, 66 (cada uno s, cada uno 1H, CH2 ON) , 4, 48 y 4, 47 (cada uno dd, J = 7, 9, 6, 8 Hz, cada uno 0, 5H, H-3) , 3, 69 y 3, 66 (cada uno dd, J = 11, 2, 7, 9 Hz, 1H, CHOH) , 3, 69 y 3, 63 (sistema AB, J= 17, 2 Hz, cada uno 1H, H-2) , 3, 58 (dd, J = 11, 2, 6, 6 Hz, 1H, CH'OH) , 2, 29 y 2, 27 (cada uno s, cada uno 1, 5H, CH3) ; RMN de 10 *3C (126 MHz, acetona-de) 5 (ppm) 171, 4 (CH, C-1) , 170, 7 (C, CO2 H) , 148, 5, (C, C-2) , 148, 5 (CH, C-4) , 140, 5 y 140, 4 (C, C-4a) , 137, 4 y 137, 2 (C, C-6/C-7) , 131, 3 y 130, 8 (CH, C-5) , 130, 7 y 128, 1 (C, C-8a) , 128, 3 y 128, 1 (CH, C-77C-6) , 127, 7 y 127, 3 (CH, C-8) , 121, 5 y 121, 4 (C, C-3) , 71, 3 (CH2ON) , 63, 5 y 63, 4 (CH2 OH) , 43, 6 y 43, 5 (CH, C-3) , 33, 7 (CH2, C-2) , 20, 8 y 20, 7 (CH3) ; IR vmax (cm-1) 3408m (ancha) , 2924f, 2118d, 1705f, 1631d, 1420m, 1358f, 1220f, 1094f; EMAR m/z calculada para Ci6Hi8N 06S2 [M+H] + 384, 0570, encontrado [M+H] + 384, 0582.
3.6.3. Preparación de los bioconjugados de hapteno (h-f)
3.6.3.1. Activación del grupo carboxílico del hapteno (h-f) .
Una mezcla de MeCN (350 pL) y THF (150 pL) anhidros se añadió bajo nitrógeno sobre una mezcla de los haptenos (h-f) (11, 8 mg, 0, 031 mmol) , EDC HCI (5, 9 mg, 0, 031 mmol, 1 eq.) y NHS (3, 6 mg, 0, 031 mmol, 1 eq.) enfriada -50 oC y la disolución resultante se agitó durante 2 oras, manteniendo la temperatura entre -450C y -40°C. A continuación, se añadieron 5 mL de agua fría y la mezcla se extrajo con AcOEt (10 m Lx 3) , las fases orgánicas combinadas se lavaron con salmuera (15 mL) , se secaron sobre MgSÜ4 anhidro y se concentraron a vacío en el rotavapor para dar los ásteres activos (h-f) -NHS (10, 7 mg) como un aceite amarillo.
3.6.3.2. Preparación del bioconjugado de los haptenos (h-f) con BSA [Bioconjugado BSA-lf],
Preparado como se ha descrito anteriormente para el bioconjugado BSA-la (apartado 3.1.2) a partir de 132 pL de una disolución 100 mM en DMSO de la mezcla de los ásteres activos (h-f) -NHS y 0, 97 mL de una disolución de BSA (15 mg/mL) en PB 100 mM, pH 7, 4. Tras el proceso de purificación, las fracciones recogidas que contenían el bioconjugado de BSA se reunieron, se esterilizaron por filtración a través de un filtro de nylon de 0, 45 pm y se llevaron a una concentración final de 1 mg/mL con tampón de elución filtrado y se almacenaron a -20 °C. El número medio de moléculas de los haptenos (h-f) conjugadas por cada molécula de BSA, determinado por MALDI-TOF-MS, fue dem = 16, 5 (verTabla 2, entrada 6) .
3.6.3.3. Preparación del bioconjugado de los haptenos (h-f) con OVA [Bioconjugado OVA-lf], Preparado como se ha descrito anteriormente para el bioconjugado OVA-la (apartado 3.1.3) a partir 120 pL de una disolución 46 mM en DMF de los ásteres (h-f) -NHS y 1, 85 mL de una disolución de OVA (15 mg/mL) en PB 100 mM, pH 7, 4. Tras la purificación cromatográfica, las fracciones recogidas se llevaron a una concentración final de 1 mg/mL en tampón de elución con timerosal al 0, 01% (v/v) y se almacenaron a -20 °C. El número medio de moléculas de los haptenos (h-f) conjugadas por cada molécula de OVA, determinado por MALDI-TOF-MS, fue dem = 3, 8 (ver Tabla 2, entrada 16) .
3.6.3.4. Preparación del bioconjugado de los haptenos (h-f) con HRP [Bioconjugado HRP-llf], Preparado como se ha descrito anteriormente para el bioconjugado HRP-lla (apartado 3.4.5.) a partir de 100 pL de una disolución 4, 6 mM de la mezcla de los ásteres activos de los haptenos (h-f) en DMF y 0, 9 mL de una disolución de HRP (3 mg/mL) en PB 100 mM, pH 7, 4. Tras la purificación cromatográfica, las fracciones obtenidas conteniendo el trazador se llevaron a concentraciones conocidas de entre 250-650 pg/mL en tampón PBS con BSA al 1% (p/v) y timerosal al 0, 02% (p/v) y se almacenaron a 4 °C. El número medio de moléculas de los haptenos (h-f) conjugadas por cada molécula de HRP, determinado por MALDI-TOF-MS, fue den = 0, 7 (verTabla 2, entrada 23) .
Ejemplo 3.7. Preparación de bioconjugados de fórmula (I) y (II) para T = R-ll [ (R1 = R2 = R3 = R4 = H ) , L = N -0 - (C H 2) s-, z = '"^ fp ^ 'B S A (seroalbúmina bovina) y OVA
N=N
(ovoalbúmina) y Q = HRP (peroxidasa de rábano picante) .
benzo[b][1, 4]ditiin-2 (3H) -ilideno) butanoico [Hapteno (h-g) ].
Piridina anhidra (6, 0 pl, 0, 073 mmol, 2, 1 eq.) se añadió a una disolución del aducto (ii-1) (10, 9 mg, 0, 035 mmol) y 0- (5-azidopentil) hidroxilamina (6, 8 mg, 0, 047 mmol, 1, 3 eq.) en 0, 3 mL de EtOH bajo atmósfera de nitrógeno. La mezcla resultante se agitó a temperatura ambiente durante 3 horas. A continuación, se eliminaron los disolventes a presión reducida, el residuo obtenido se trató con 1 mL de una disolución acuosa 1M de HCI fría y se extrajo con AcOEt (10 mL x 3) . Las fases orgánicas combinadas se lavaron con salmuera (15 mL) , se secaron sobre MgSÜ4 anhidro y se concentraron a presión reducida. El residuo obtenido se purificó mediante una cromatografía rápida sobre gel de sílice, usando una mezcla 98:2 de CH CI3-MeOH como eluyente, para proporcionar el hapteno (h-g) (8, 9 mg, 60%) como un aceite transparente.
Datos espectroscópicos de\ hapteno (h-g) : RMN de 1H (300 MHz, acetona-d6) 5 (ppm) 8, 44 (s, 1H, H-4) , 7, 28 (m, 2H, H-5 y H-8) , 7, 17 (m, 2H, H-6 y H-7) , 4, 52 (t, J = 7, 3 Hz, 1H, H-3) , 4, 10 (t, J = 6, 5 Hz, 2H, H-1" ) , 3, 73 y 3, 66 (sistema AB, J= 16, 9 Hz, cada uno 1H, H-2) , 3, 70 (dd, J= 11, 1, 7, 8 Hz, 1H, CHOH) , 3, 59 (dd, J= 11, 1, 6, 9 Hz, 1H, CH'OH) , 3, 35 (t, J= 6, 8 Hz, 2H, H-5" ) , 1, 77-1, 58 (m, 4H, H-2" y H-4" ) , 1, 52-1, 41 (m, 2H, H-3" ) ; RMN de 13C (75 MHz, acetona-de) 5 (ppm) 171, 7 (C, C-1) , 146, 9 (CH, C-4) , 138, 4 (C, C-2) , 128, 4 (C, C-4a) , 130, 9 (CH, C-8) , 131, 1 (C, C-8a) , 127, 5 (CH, C-6) , 127, 3 (CH, C-7) , 127, 0 (CH, C-5) , 122, 4 (C, C-3) , 74, 8 (CH2, C-1" ) , 63, 5 (CH2OH) , 51, 9 (CH2, C-5" ) , 43, 5 (CH, C-3) , 33, 8 (CH2, C-2) , 29, 5 (CH2, C-4" ) , 29, 4 (CH2, C-2" ) , 23, 8 (CH2, C-3" ) ; IR vmax (cm-1) 3181m, 2939s, 2871m, 2096f, 1707f, 1455m, 1422m, 1217f, 1187f, 1108f, 1049f, 933f; EMAR m/z calculada para C i 8H23N404S2 [M+H] + 423, 1155, encontrado [M+H] + 423, 1149.
3.7.2. Preparación de proteínas y enzimas modificadas con restos alquinilo.
P = BSA o OVA BSA-alquino: P = BSA, x = 25
Q = HRP OVA-alquino: P - OVA, x - 3, 6
HRP-alquino: Q = HRP, x = 0, 4
El éster de W-hidroxisuccinimidilo del ácido 5-oxo-5- (prop-2-in-1-ilamino) pentanoico, se disolvió en DMF y se añadió gota a gota sobre una disolución de cada proteína (BSA, OVA) o enzima (HRP) en PB 100 mM (pH 7, 4) . Las relaciones molares de alquino a proteína (RMo) empleadas en la mezcla de reacción fueron 40, 12 y 10 para la derivatización de BSA, OVA y HRP, respectivamente (ver Tabla 1) . La reacción de conjugación se realizó con un contenido máximo de DMF del 10% (v/v) . Después de la incubación durante la noche a temperatura ambiente, las proteínas alquiniladas se purificaron por cromatografía de exclusión molecular usando una columna de desalinización Sephadex G-25 HiTrap© de 15 mL y PB 100 mM (pH 7, 4) como eluyente, a un flujo de 5 mL/min y recogiendo fracciones de 1 mL, y se almacenaron a 4 ° C hasta su uso. El número medio de residuos de alquino incorporados por molécula de proteína/enzima (relación molar hapteno:proteína, RM) se calculó mediante MALDI-TOF-MS. Las RM obtenidas para BSA-alquino, OVA-alquino y HRP-alquino fueron 25, 3, 6 y 0, 4, respectivamente (verTabla 2, entradas 7, 17 y 24) .
T ab la 1. C ond ic iones para la p reparac ión de las p ro te ínas/enz im as m od ificadas con grupos a lqu ino
(alquino) -NHS éster
V C n V C n Bioconjugado Equivalentes9
(ML) a (mg/mL) b (pmol) c (pL) d (mM) e (pmol) f
BSA-alquino 2500 16 0, 61 160 150 24 40
OVA-alquino 1900 15 0, 64 50 154 7, 7 12
HRP-alquino 1670 3 0, 11 23 50 1, 1 10
a Volumen utilizado de disolución de proteína/enzima en PB 100 mM (pH 7, 4) .
b Concentración de la proteína/enzima en el PB.
c pmol de proteína/enzima utilizados.
d Volumen utilizado de disolución del (alquino) -NHS éster en DMF.
f pmol del (alquino) -NHS éster utilizados.
g Equivalentes de (alquino) -NHS éster utilizados por equivalente de proteína (RMo) .
OVA-lg, P = OVA, m = 2, 3
HRP-llg, Q= HRP, n = 0, 3
3.7.3. Preparación del bioconjugado del hapteno (h-g) con BSA [Bioconjugado BSA-lg], Se añadieron gota a gota 622, 8 pL de una disolución del hapteno (h-g) (3, 0 mg, 7, 1 pmol, 2 equivalentes de hapteno por residuo de alquino) en DMSO sobre una disolución de la BSA-alquino descrita en el apartado 3.7.2 (RM = 25, 10 mg, 0, 142 pmol) en 25 mL de PB 100 mM, pH 7, 4, con agitación a temperatura ambiente. Sobre la disolución resultante se añadieron, gota a gota, 66, 5 pL de una disolución de THPTA (54, 1 mM, 3, 55 pmol, 1 equivalente por residuo de alquino) y de CuS04 (10, 7 mM, 0, 71 pmol, 0, 2 equivalente por residuo de alquino) en MiliQ H2O. La mezcla resultante se desgasificó mediante purgas vacío/nitrógeno y se añadieron 150 pL (10 equivalentes por residuo de alquino) de una disolución 230 mM de ascorbato sódico en MiliQ H2O, también desgasificada previamente mediante purgas vacío/nitrógeno. La disolución resultante se agitó durante 22 horas a temperatura ambiente, y el bioconjugado BSA-lg formado se separó del resto de reactivos usando filtros Amicon® Ultra-4 10K. Se llevaron a cabo tres ciclos de 20 min a 4800 rpm, usando PB 100 mM, pH 7, 4, obteniéndose un volumen final de 2 mL. El bioconjugado BSA-lg se purificó por cromatografía de exclusión molecular en 3 columnas de desalinización Sephadex G-25 HiTrap™ de 5 mL acopladas, utilizando como tampón de elución PB 100 mM, pH 7, 4. Tras el proceso de purificación, las fracciones recogidas que contenían el bioconjugado de BSA se reunieron, se esterilizaron por filtración a través de un filtro de nylon de 0, 45 pm y se llevaron a una concentración final de 1 mg/mL con tampón de elución filtrado y se almacenaron a -20 °C. El número medio de moléculas de hapteno (h-g) conjugadas por cada molécula de BSA-alquino, determinado por MALDI-TOF-MS, fue dem = 16 (verTabla 1, entrada 8) .
3.7.4. Preparación del bioconjugado del hapteno (h-g) con OVA [Bioconjugado OVA-lg], El bioconjugado O VA-lg se preparó como se ha descrito en el apartado 3.7.3. para el bioconjugado análogo de BSA, utilizando disoluciones de OVA-alquino (RM = 3, 6) en PB 100 mM (1, 0 mg/mL, 6 mL, 0, 12 pmol) , hapteno (h-g) en DMSO (11, 4 mM, 153, 5 pL, 1, 75 pmol) , THPTA (13, 2 mM, 0, 88 pmol) /CuS04 (2, 71 mM, 0, 18 pmol) en MiliQ H2O (66, 5 pL) y ascorbato sódico en MiliQ H2 O (230 mM, 40 pL, 8, 8 pmol) . El bioconjugado obtenido tras la purificación se llevó a una concentración final de 1 mg/mL en PB y se almacenó a -20 °C. El número medio de moléculas de hapteno (h-g) conjugadas por cada molécula de OVA-alquino, determinado por MALDI-TOF-MS, fue dem = 2, 3 (verTabla 1, entrada 18) .
3.7.5. Preparación del bioconjugado del hapteno (h-g) con HRP [Bioconjugado HRP-llg], El bioconjugado HRP-llg se preparó como se ha descrito en el apartado 3.7.3. para el bioconjugado análogo de BSA, utilizando disoluciones de HRP-alquino (RM = 0, 4) en PB 100 mM (1, 5 mg/mL, 1, 33 mL, 45 nmol) , hapteno (h-g) en DMSO (10 mM, 18 pL, 180 nmol) , THPTA (0, 68 mM, 45 nmol) /CuS04 (0, 135 mM, 9 nmol) en MiliQ H2O (66, 5 pL) y ascorbato sódico en MiliQ H2 O (10 mM, 45 pL, 450 nmol) . El bioconjugado obtenido tras la purificación se llevó a concentraciones conocidas de entre 250-650 pg/mL en PB con BSA al 1% (p/v) y timerosal al 0, 02% (p/v) y se almacenaron a 4 °C. El número medio de moléculas del hapteno (h-g) conjugadas por cada molécula de HRP, determinado por MALDI-TOF-MS, fue de n = 0, 3 (verTabla 1, entrada 25) .
Ejemplo 3.8. Preparación de bioconjugados de fórmula (I) y (II) para T = R-ll [ (R1 = R4 = Cl, R2 = R3 = H) , L = N-0- (CH2) 5-, Z = = BSA (seroalbúmina bovina) y
N=N
OVA (ovoalbúmina) y Q = HRP (peroxidasa de rábano picante) .
3.8.1. Preparación del ácido (3Z, 4E) -4- ( ( (5-azidopentil) oxi) imino) -3- (5, 8-dicloro-3- (hidroximetil) benzo[b][1, 4]ditiin-2 (3H) -ilideno) butanoico [Hapteno (h-h) ].
Piridina anhidra (5, 3 pl, 0, 065 mmol, 2, 1 eq.) se añadió sobre una disolución del aducto (ii-2) (11, 1 mg, 0, 031 mmol) y 0- (5-azidopentil) hidroxilamina (7, 5 mg, 0, 052 mmol, 1, 7 eq.) en 0, 3 mL de EtOH bajo nitrógeno. La mezcla se agitó durante 3 horas a temperatura ambiente y los disolventes se eliminaron a presión reducida. El residuo se trató con una disolución acuosa 1M de HCI fría y se extrajo con AcOEt (10 m L x 3) . Las fases orgánicas se reunieron y se lavaron con salmuera (15 mL) , se secaron sobre MgSÜ4 anhidro y se concentraron a vacío en el rotavapor. El residuo resultante se purificó mediante una cromatografía de columna rápida, usando una mezcla 98:2 de CHCl3-MeOH como eluyente, para proporcionar el hapteno (h-h) (8, 1 mg, 54%) como un aceite amarillo.
Datos espectroscópicos de\ hapteno (h-h) : RMN de 1H (400 MHz, acetona-d6) 5 (ppm) 8, 51 (s, 1H, H-4) , 7, 32 (sistema AB, J = 8, 7 Hz, cada uno 1H, H-6 y H-7) , 4, 72 (dd, J = 8, 2, 6, 4 Hz, 1H, H-3) , 4, 12 (t, J= 6, 4 Hz, 2H, H-1" ) , 3, 81 y 3, 70 (sistema AB, J= 16, 9 Hz, cada uno 1H, H-2) , 3, 77 (dd, J= 11, 1, 8, 2 Hz, 1H, CHOH) , 3, 68 (dd, J= 11, 1, 6, 4 Hz, 1H, CHOH) , 3, 35 (t, J= 6, 8 Hz, 2H, H-5" ) , 1, 72 (pent, J= 6, 7 Hz, 2H, H-2" ) , 1, 64 (pent, J= 6, 7 H, 2H, H-4" ) , 1, 48 (m, 2H, H-3" ) ; RMN de 13C (101 MHz, acetona-d6) 5 (ppm) 171, 3 (C, C-1) , 147, 3 (CH, C-4) , 134, 5 (C, C-2) , 130, 6 (C, C-4a) , 132, 3 (C, C-8a) , 130, 0 (C, C-8) , 129, 7 (C, C-5) , 127, 7 y 127, 6 (cada uno CH, C-6 y C-7) , 125, 5 (C, C-3) , 74, 9 (CH2, C-1" ) , 64, 0 (CH2OH) , 51, 9 (CH2, C-5" ) , 43, 2 (CH, C-3) , 33, 9 (CH2, C-2) , 29, 3 (CH2, C-4" ) , 29, 2 (CH2, C-2" ) , 23, 9 (CH2, C-3" ) ; IR umax (cm-1) 3181m, 2939f, 2871m, 2098f, 1705f, 1403f, 1353m, 1217f, 1164f, 1071f, 1038f, 930f; EMAR m/z calculada para C isH2i CI2N404S2 [M+H]'+ 491, 0376, encontrado [M+H]'+ 491, 0364.
OVA-lh, P = OVA, m = 1, 5
HRP-llh, Q = HRP, n = 0, 2
3.8.2. Preparación del bioconjugado del hapteno (h-h) con BSA [Bioconjugado BSA-lh], El bioconjugado BSA-lh se preparó como se ha descrito en el apartado 3.7.3. para el bioconjugado análogo de BSA, utilizando disoluciones de BSA-alquino (RM = 25) en PB 100 mM (4, 44 mg/mL, 2, 25 mL, 0, 142 pmol) , hapteno (h-h) en DMSO (11, 4 mM, 622, 8 pL, 7, 1 pmol) , THPTA (54, 1 mM, 3, 6 pmol) /CuS04 (10, 7 mM, 0, 71 pmol) y ascorbato sódico en MiliQ H20 (230 mM, 150 pL, 36 pmol) . El bioconjugado obtenido tras la purificación se llevó a una concentración final de 1 mg/mL en PB y se almacenó a -20 °C. El número medio de moléculas de hapteno (h-h) conjugadas por cada molécula de BSA-alquino, determinado por MALDI-TOF-MS, fue dem = 20, 9 (verTabla 1, entrada 9) .
3.8.3. Preparación del bioconjugado del hapteno (h-h) con OVA [Bioconjugado OVA-lh], El bioconjugado O VA-lh se preparó como se ha descrito en el apartado 3.7.3. para el bioconjugado análogo de BSA, utilizando disoluciones de OVA-alquino (RM = 3, 6) en PB 100 M (1, 0 mg/mL, 6 mL, 0, 12 pmol) , hapteno (h-h) en DMSO (11, 4 mM, 153, 5 pL, 1, 75 pmol) , THPTA (13, 2 mM, 0, 88 pmol) /CuS04 (2, 71 mM, 0, 18 pmol) en MiliQ H2O (66, 5 pL) y ascorbato sódico en MiliQ H2 O (230 mM, 40 pL, 8, 8 pmol) . El bioconjugado obtenido tras la purificación se llevó a una concentración final de 1 mg/mL en PB y se almacenó a -20 °C. El número medio de moléculas de hapteno (h-h) conjugadas por cada molécula de OVA-alquino, determinado por MALDI-TOF-MS, fue dem = 1, 5 (verTabla 1, entrada 19) .
3.8.4. Preparación del bioconjugado del hapteno (h-h) con HRP [Bioconjugado HRP-llh], El bioconjugado HRP-llh se preparó como se ha descrito en el apartado 3.7.3. para el bioconjugado análogo de BSA, utilizando disoluciones de HRP-alquino (RM = 0, 4) en PB 100 mM (1, 5 mg/mL, 1, 33 mL, 45 nmol) , hapteno (h-h) en DMSO (10 mM, 18 pL, 180 nmol) , THPTA (0, 68 mM, 45 nmol) /CuS04 (0, 135 mM, 9 nmol) en MiliQ H2O (66, 5 pL) y ascorbato sódico en MiliQ H20 (10 mM, 45 pL, 450 nmol) . El bioconjugado obtenido tras la purificación se llevó a concentraciones conocidas de entre 250-650 pg/mL en PB con BSA al 1% (p/v) y timerosal al 0, 02% (p/v) y se almacenaron a 4 °C. El número medio de moléculas del hapteno (h-h) conjugadas por cada molécula de HRP, determinado por MALDI-TOF-MS, fue de n = 0, 2 (verTabla 1, entrada26) .
E jemplo 3.9. Preparación de bioconjugados de fórmula (I) y (II) para T = R-ll [ (R1 = R3 = R4 = H, R2 = CH3) y (R1 = R2 = R4 = H, R3 = CH3) , L = N -0 - (C H 2) 5-, Z =
N=N
P = BSA (seroalbúmina bovina) y OVA (ovoalbúmina) y Q = HRP (peroxidasa de rábano picante) .
3.9.1. Preparación de los ácidos (3Z, 4E) -4- ( ( (5-azidopentil) oxi) imino) -3- (3- (hidroximetil) -6-metilbenzo[b][1, 4]ditiin-2 (3H) -ilideno) butanoico y (3Z, 4E) -4- ( ( (5-azidopentil) oxi) imino) -3- (3- (hidroximetil) -7-metilbenzo[b][1, 4]ditiin-2 (3H) -ilideno) butanoico [Hapteno (h-i) ].
Se añadió piridina seca (7, 8 pL, 0, 097 mmol, 2, 1 eq.) a una disolución de los aductos (ii-3) (14, 2 mg, 0, 046 mmol) y 0- (5-azidopentil) hidroxilamina (8, 9 mg, 0, 062 mmol, 1, 3 eq.) en 0, 4 L de etanol bajo nitrógeno. La mezcla se agitó durante 3 horas a temperatura ambiente, se evaporó el disolvente, el residuo se suspendió en 1 mL de una disolución acuosa 1M de HCI fría y se extrajo con AcOEt (10 mL x 3) . Los extractos combinados se lavaron con salmuera (15 mL) , se secaron sobre MgSÜ4 anhidro y se concentraron a vacío en el rotavapor. El residuo resultante se purificó por cromatografía rápida sobre gel de sílice, utilizando una mezcla 95:5 de CHCl3-MeOH) para proporcionar la mezcla de los haptenos regioisoméricos (h-i) (10, 0 mg, 50%) como un aceite transparente.
Datos espectroscópicos de los haptenos (h-i) : RMN de 1H (500 MHz, acetona-de) ó (ppm) 8, 43 y 8, 42 (cada uno s, cada uno 0, 5H, H-4) , 7, 17 y 7, 16 (cada uno d, J= 8, 0 Hz, cada uno 0, 5H, H-57H-8) , 7, 12 y 7, 11 (cada uno d, J= 1, 9 Hz, cada uno 0, 5H, H-57H-8) , 7, 01 y 6, 98 (cada uno dd, J = 8, 9, 1, 9 Hz, cada uno 0, 5H, H-67H-7) , 4, 48 (cada uno t, J = 7, 0 Hz, cada uno 0, 5H, H-3) , 4, 10 (t, J = 6, 4 Hz, 2H, H-1" ) , 3, 71 y 3, 66 (sistema AB, J = 17, 0 Hz, cada uno 1H, H-2) , 3, 68 (dd, solapado con señal a 3, 66, 1H, CHOH) , 3, 57 (dd, J = 11, 1, 7, 0 Hz, 1H, CHOH) , 3, 35 (t, J = 6, 8 Hz, 2H, H-5" ) , 2, 28 y 2, 27 (cada uno s, cada uno 1, 5H, CH3) , 1, 71 (quint, J = 6, 9 Hz, 2H, H-2" ) , 1, 64 (quint, J = 7, 0 Hz, 2H, H-4" ) , 1, 47 (tt, J = 7, 6, 7, 1 Hz, 2H, H-3" ) ; RMN d e 13C (126MHz, acetona-de) 5 (ppm) 171, 7 y 171, 6 (C, C-1) , 147, 0 (CH, C-4) , 146, 9 (C, C-2) , 138, 8 y 138, 7 (C, C-4a) , 137, 3 y 137, 1 (C, C-6/C-7) , 131, 3 y 130, 8 (CH, C-5) , 130, 9 y 128, 2 (C, C-8a) , 128, 3 y 128, 1 (CH, C-67C-7) , 127, 7 y 127, 3 (CH, C-8) , 122, 2 y 122, 1 (C, C-3) , 74, 8 y 74, 7 (CH2, C-1" ) , 63, 5 y 63, 4 (CH2OH) , 51, 9 (CH2, C-5" ) , 43, 7 y 43, 6 (CH2, C-3) , 33, 8 (CH2, C-2) , 29, 4 (CH2, C-2" y C-4" ) , 23, 8 (CH2, C-3" ) , 20, 8 y 20, 7 (CH3) ; IR vmax (cmr 1) 3408m, 2937f, 2870m, 2096f, 1709f, 1468m, 1377m, 1216f, 1114f, 1051f, 937f; EMAR calculada para CigH25N404S2 [M+H]'+ 437, 1312, encontrado [M+H]'+ 437, 1305.
3.9.2. Preparación del bioconjugado de los haptenos (h-i) con BSA [Bioconjugado BSA-li], El bioconjugado BSA-li se preparó como se ha descrito en el apartado 3.7.3. para el bioconjugado análogo de BSA, utilizando disoluciones de BSA-alquino (RM = 25) en PB 100 mM (4, 44 mg/mL, 2, 25 mL, 0, 142 pmol) , mezcla de haptenos (h-i) en DMSO (11, 4 mM, 622, 8 pL, 7, 1 pmol) , THPTA (54, 1 mM, 3, 6 pmol) /CuS04 (10, 7 mM, 0, 71 pmol) y ascorbato sódico en MiliQ H2 O (230 mM, 150 pL, 36 pmol) . El bioconjugado obtenido tras la purificación se llevó a una concentración final de 1 mg/mL en PB y se almacenó a -20 °C. El número medio de moléculas de haptenos (h-i) conjugadas porcada molécula de BSA-alquino, determinado por MALDI-TOF-MS, fue dem = 15, 7 (verTabla 1, entrada 10) .
3.8.3. Preparación del bioconjugado de los haptenos (h-i) con OVA [Bioconjugado OVA-li], El bioconjugado O VA-li se preparó como se ha descrito en el apartado 3.7.3. para el bioconjugado análogo de BSA, utilizando disoluciones de OVA-alquino (RM = 3, 6) en PB 100 mM (1, 0 mg/mL, 6 mL, 0, 12 pmol) , mezcla de haptenos (h-i) en DMSO (11, 4 mM, 153, 5 pL, 1, 75 pmol) , THPTA (13, 2 mM, 0, 88 pmol) /CuS04 (2, 71 mM, 0, 18 pmol) en MiliQ H20 (66, 5 L) y ascorbato sódico en MiliQ H20 (230 mM, 40 pL, 8, 8 pmol) . El bioconjugado obtenido tras la purificación se llevó a una concentración final de 1 mg/mL en PB y se almacenó a -20 °C. El número medio de moléculas de los haptenos (h-i) conjugadas por cada molécula de OVA-alquino, determinado por MALDI-TOF-MS, fue dem = 2, 2 (ver Tabla 1, entrada 20) .
3.8.4. Preparación del bioconjugado de los haptenos (h-i) con HRP [Bioconjugado HRP-lli]. El bioconjugado HRP-lli se preparó como se ha descrito en el apartado 3.7.3. para el bioconjugado análogo de BSA, utilizando disoluciones de HRP-alquino (RM = 0, 4) en PB 100 mM (1, 5 mg/mL, 1, 33 mL, 45 nmol) , haptenos (h-i) en DMSO (10 mM, 18 pL, 180 nmol) , THPTA (0, 68 mM, 45 nmol) /CuS04 (0, 135 mM, 9 nmol) en MiliQ H20 (66, 5 pL) y ascorbato sódico en MiliQ H20 (10 mM, 45 pL, 450 nmol) . El bioconjugado obtenido tras la purificación se llevó a concentraciones conocidas de entre 250-650 pg/mL en PB con BSA al 1% (p/v) y timerosal al 0, 02% (p/v) y se almacenaron a 4 °C. El número medio de moléculas de los haptenos (h-i) conjugadas por cada molécula de HRP, determinado por MALDI-TOF-MS, fue den = 0, 2 (ver Tabla 1, entrada 27) .
TABLA 2. Valores de la carga hapténica de los bioconjugados proteicos y marcadores enzimáticos determinados por MALDI-TOF-MS
B ioconjugado RMo m/z AM L (m/z) m/n/x (RM) 1 BSA-la 60 68525 278 1663 6, 0 2 BSA-lb 60 70174 346 3312 9, 6 3 BSA-lc 30 67892 292 1330 4, 6 4 BSA-ld 60 71642 351 4954 14, 1 5 BSA-le 60 71825 419 5137 12, 3 6 B S A -lf 60 72694 365 6006 16, 5 7 BSA-Alquino 40 70584 152 3866 25, 4 8 BSA-lg 50 77366 422 6782 16, 0 9 BSA-lh 50 79421 490 8837 20, 9 10 BSA-li 50 78527 436 7673 15, 7 11 OVA-la 10 25829a 278 640 4, 6b 12 O VA-lb 10 25837a 346 648 3, 7b 13 OVA-lc 10 25765a 292 576 3, 9b 14 O VA-ld 35 26024a 351 766 4, 4b 15 OVA-le 35 25753a 419 495 2, 4b 16 O V A -lf 9 27098a 365 691
17 OVA-Alquino 12 25477a 152 270 3, 6b 18 O VA-lg 15 25962a 422 485 2, 3b 19 O VA-lh 15 25841a 490 3640 1, 5b 20 O VA-li 15 25958a 436 481 2, 2b 21 HRP-lld 20 43845 351 281 0, 8 22 HRP-lle 20 43884 419 320 0, 8 23 H R P -llf 8 44217 365 265 0, 7 24 HRP-Alquino 10 43794 152 66 0, 4 25 HRP-llg 4 43901 422 107 0, 3 26 HRP-llh 4 43011 490 117 0, 2 27 H R P-lli 4 43874 436 80 0, 2 RMo: Equivalentes de aducto, hapteno o alquino por molécula de proteína o marcador enzimático utilizados para la conjugación.
m: Número medio de moléculas de aducto o hapteno conjugadas por molécula de proteína; n: número medio de moléculas de aducto o hapteno conjugadas por molécula de marcador enzimático; x: número medio de moléculas de alquino conjugadas por molécula de proteína. AM: Incremento de masa por cada molécula de aducto, hapteno o alquino conjugado.
A (m/z) : (m /z del conjugado) (m /z de la proteína de referencia) .
a Ion doblemente cargado.
b Cálculo basado en el ion doblemente cargado, (m, n, x) = [ (AM/A (m/z) ]-2.
4. Procedimiento ELISA
Se emplearon placas de poliestireno de 96 pocilios. Cada anticuerpo obtenido a partir de bioconjugados de fórmula (I) de la presente invención, se evaluó en los dos formatos clásicos de ELISA competitivo (el de antígeno o conjugado inmovilizado con detección indirecta y el de anticuerpo inmovilizado con detección directa) usando antígenos de ensayo homólogos, es decir, un antígeno de ensayo a partir del mismo bioconjugado de formula (I) que el utilizado para obtener el inmunógeno pero en el que P = OVA o HRP, y también usando antígenos de ensayo heterólogos, es decir, un antígeno de ensayo a partir de un bioconjugado de formula (I) diferente al utilizado para obtener el inmunógeno y en el que P = OVA o HRP. Después de cada etapa de incubación, las placas se lavaron cuatro veces con una disolución de lavado, usando un lavador de 96 canales ELx405 (Biotek Instruments, Winooski, EE.UU.) . La señal producida por la peroxidasa utilizada como marcador se reveló con 100 pL por pocilio de una disolución 2 mg/mL de o-fenilendiamina en tampón citrato 25 mM, fosfato 62 mM, pH 5, 4, conteniendo 0, 012% (v/v) de H2 O2. Este revelado se desarrolló durante 10 min a temperatura ambiente y se paró usando 100 pL por pocilio de ácido sulfúrico 1 M. Al finalizar los ensayos, la absorbancia de cada pocilio se leyó a 492 nm usando una longitud de onda de referencia de 650 nm en un lector de microplacas PowerWave HT (Biotek Instruments, Winooski, EE.UU.) . Las curvas patrón de tipo sigmoide obtenidas al representar la absorbancia frente a la concentración de analito se ajustaron a una ecuación logística de cuatro parámetros usando el paquete informático SigmaPlot de SPSS (Chicago, EE.UU.) .
La afinidad de los anticuerpos se estimó a partir del valor de IC50, es decir, la concentración de analito libre capaz de reducir a la mitad la señal máxima (Amax) .
4.1. Ensayos ELISA competitivos en formato de antígeno o conjugado inmovilizado con detección indirecta (ensayo indirecto)
Las placas se tapizaron con 100 pL por pocilio de una disolución de antígeno de ensayo que es un bioconjugado de formula (I) donde P es OVA, a 0, 01, 0, 1 o a 1 pg/mL en tampón carbonato 50 mM, pH 9, 6, mediante incubación durante toda la noche a temperatura ambiente. Para la construcción de la curva patrón, se prepararon diluciones seriadas de patulina en PBS y a cada una de ellas se le añadió un 1% (v/v) de una disolución en agua de la sal de un compuesto de estructura (i) . Después de incubar las disoluciones de patulina durante 1 h a temperatura ambiente en la oscuridad, en cada columna de las placas, previamente lavadas, se dispensó 50 pL por pocilio de cada patrón seguido de 50 pL por pocilio de un determinado anticuerpo diluido en PBST. La reacción inmunoquímica se llevó a abo durante 1 h a temperatura ambiente y después se lavaron las placas. A continuación, cada pocilio recibió 100 pL de una dilución 1/2000 de RAM-HRP en PBST. Esta reacción se incubó a temperatura ambiente durante 1 h. Después de lavar las placas, se reveló la actividad peroxidasa retenida y se leyó la absorbancia a 492 nm como se ha descrito anteriormente.
4.2. Ensayos ELISA competitivos en formato de anticuerpo inmovilizado con detección directa (ensayo directo)
Las placas se tapizaron mediante la adición de 100 pL por pocilio de una disolución 1 mg/mL de anticuerpo anti-inmunoglobulinas de conejo (para el caso de antisueros) o de anticuerpo anti-inmunoglobulinas de ratón (para el caso de los anticuerpos monoclonales) , en tampón carbonato 50 mM, pH 9, 6. Tras incubación durante toda la noche a temperatura ambiente, las placas se lavaron, y se añadió 100 pL de una determinada dilución en PBST de un antisuero particular, o de una determinada concentración en PBST de un anticuerpo monoclonal particular. Después de incubar a temperatura ambiente durante 1 h, las placas se lavaron, y en cada columna se dispensó 50 pL por pocilio de una curva estándar completa del analito en PBS, preparada como se ha descrito anteriormente, seguido de 50 pL por pocilio de una concentración concreta en PBST de bioconjugado enzimático, que es un bioconjugado de formula (II) donde P es HRP. La reacción inmunoquímica se llevó a cabo durante 1 h a temperatura ambiente y después se lavaron las placas. Finalmente, se reveló la actividad peroxidasa retenida y se leyó la absorbancia a 492 nm como se ha descrito anteriormente.
5. Producción de anticuerpos policlonales. Antisueros de conejo.
Para la inmunización de conejos se emplearon los bioconjugados de fórmula (I) en los que P es BSA (conjugados inmunizantes) y T es R-ll. Se utilizaron hembras de conejo New Zealand con un peso aproximado de 2 kg. En cada dosis se administró por vía subcutánea 300 pg de bioconjugado por conejo, siendo el volumen total administrado de 1 mL. En la primera inmunización se suministró el bioconjugado en una emulsión preparada con adyuvante de Freund completo (1:1, v/v) . A intervalos de 3 semanas, los animales recibieron tres inmunizaciones adicionales, en estos casos emulsionando los bioconjugados con adyuvante de Freund incompleto. 10 días después de la cuarta inyección se exanguinó a los animales y el suero se obtuvo tras coagulación durante toda la noche a 4 grados y posterior centrifugación. Los antisueros así obtenidos se precipitaron 2 veces con un volumen de una disolución saturada de sulfato amónico y se almacenaron a 4 grados.
6. Producción de anticuerpos monoclonales de ratón
6.1. Inmunización de ratones
Para la inmunización de ratones se emplearon los bioconjugados de fórmula (I) en los que P es BSA (conjugados inmunizantes) y T e s R-ll. Se utilizaron hembras de ratón BALB/c, con una edad al inicio del proceso comprendida entre 6 y 8 semanas. En cada dosis se administró por vía intraperitoneal 100 pg de bioconjugado por ratón, siendo el volumen total administrado 200 pL. En la primera inmunización se suministró el bioconjugado en una emulsión preparada con adyuvante de Freund completo (1:1, v/v) . A intervalos de 3 semanas, los ratones recibieron dos inmunizaciones adicionales, en estos casos emulsionando los bioconjugados con adyuvante de Freund incompleto. Cuatro días antes de cada fusión celular, el ratón seleccionado recibió una última dosis de 100 pg del correspondiente bioconjugado diluido en PBS.
6.2. Fusiones celulares para la obtención de hibridomas
Las fusiones con los ratones inmunizados se llevaron a cabo básicamente siguiendo metodologías previamente descritas y bien establecidas en el estado de la técnica. Inmediatamente después del sacrificio de los ratones, se extrajo el bazo y se disgregó con el émbolo de una jeringa estéril. Tras Usar los glóbulos rojos por choque osmótico con 1 mL de tampón de lisis durante un minuto, los linfocitos se lavaron 2 veces con medio completo (con suero) frío y se filtraron para eliminar los coágulos formados.
La línea de mieloma P3-X63-Ag8.653 había sido cultivada los días previos a la fusión en medio DMEM suplementado [2 mM L-alanina-L-glutamina, 1 mM aminoácidos no esenciales, 25 pg/mL gentamicina, SBF 10% (v/v) ], manteniendo las células en fase de crecimiento exponencial, de manera que el día de la fusión se dispusiese de un número suficiente de las mismas.
Tras dos lavados con medio sin suero, ambas poblaciones celulares se juntaron a una relación linfocito:mieloma 4:1. A continuación, las células se centrifugaron, para inmediatamente después llevar a cabo la fusión celular. Para ello, se empleó el agente fusionante químico PEG1500 (1 mL durante 1 min) , que al disolver parcialmente las membranas permite la fusión de las células. Una vez fusionadas ambas poblaciones, las células se resuspendieron en medio DMEM suplementado [SBF 15% (v/v) ] y se sembraron en placas de cultivo de 96 pocilios (100 pL por pocilio) a una densidad celular de 150*103 linfocitos por pocilio, y se incubaron a 370C en una atmósfera con 5% de CO2 y un 95% de humedad. 24 h después de la fusión, se añadió 100 pL por pocilio de medio HAT para selección de hibridomas [DMEM uplementado con 100 pM hipoxantina, 0, 4 pM aminopterina, 16 pM timidina, y SBF 20% (v/v) ] que contenía HFCS al 1% (v/v) .
6.3. Selección, clonaje y conservación de hibridomas
Aproximadamente 10-12 días después de la fusión celular se llevó a cabo la evaluación de los sobrenadantes de los pocilios cultivados, con objeto de identificar cuáles contenían hibridomas secretores de anticuerpos capaces de reconocer al aducto de patulina, que es un compuesto de estructura ii. Previamente, se determinó por inspección visual la eficiencia de la fusión, definida como el porcentaje de pocilios que presentaban al menos un clon claramente visible al microscopio.
Para llevar a cabo la identificación de clones competidores, los sobrenadantes de cultivo se analizaron mediante la técnica ELISA diferencial, que consiste en analizar paralelamente en pocilios adyacentes cada sobrenadante en ausencia de analito y en presencia de una concentración prefijada de analito, habitualmente 100 nM. Para ello, las placas se tapizaron con el conjugado homólogo, que es un bioconjugado de fórmula (I) en el que P es OVA, a una concentración de 0, 1 pg/mL, y el ensayo se llevó a cabo añadiendo 50 pL del sobrenadante de cultivo. Las condiciones para el formato de ELISA indirecto se detallan en el apartado 4.1.
A continuación, se seleccionaron aquellos pocilios que contenían hibridomas productores de anticuerpos capaces de proporcionar una señal de absorbancia igual o superior a 0, 5 en el ensayo en ausencia de analito e inhibición de la señal igual o superior al 80% en el ensayo en presencia de analito. Adicionalmente, para todos los pocilios con señales superiores a 2, 0, se llevó a cabo un segundo screening más exhaustivo en modo bidimensional competitivo con el fin de seleccionar con mayor seguridad los mejores hibridomas. Para ello, el sobrenadante de cada hibridoma se ensayó a 4 diluciones (1/8, 1/32, 1/128 y 1/512) en placas tapizadas con el bioconjugado homólogo a 0, 01 y 0, 1 pg/mL, y utilizando como competidor el aducto de patulina a 5 y 50 nM (en ensayo) . Así, 200 pL del sobrenadante de cultivo se diluyeron en 600 pL de PBST y las siguientes diluciones se hicieron de forma seriada a partir de esta primera. El ensayo se realizó añadiendo 50 pL por pocilio de la correspondiente dilución de sobrenadante y 50 pL de la disolución de analito en PBS a la concentración de 100, 10 y 0 nM.
Las células de los pocilios finalmente seleccionados se clonaron por el método de dilución límite, sembrando a partir de cada pocilio una nueva placa de 96 pocilios a 2 células por pocilio en medio HT, de igual composición que el HAT pero sin aminopterina, y conteniendo HFCS al 1% (v/v) .
Generalmente, 7-10 días después del primer clonaje, se identificaron por inspección visual los pocilios que contenían un único clon, evaluándose de nuevo el sobrenadante de cultivo de la misma forma que se ha descrito previamente para los sobrenadantes de fusión. Este proceso se realizó tantas veces como fue necesario (al menos dos) para asegurar la monoclonalidad de los hibridomas seleccionados, así como su estabilidad. Finalmente, se procedió a la expansión de las líneas celulares seleccionadas, cultivando progresivamente el hibridoma en recipientes de mayor volumen. Una vez crecido el clon, las células se congelaron en nitrógeno líquido a una concentración de 107 células por vial (2-4 viales para cada hibridoma) en una disolución de SBF con DMSO 10% (v/v) como agente crioprotector. Los viales se mantuvieron a -80 0C en el interior de una caja de poliestireno durante 24 h antes de pasarlos a un contenedor de nitrógeno líquido.
6.4. Producción y purificación de anticuerpos monoclonales
En la última fase de la expansión celular, los hibridomas se dividieron progresivamente en placas de cultivo hasta alcanzarse un volumen final comprendido entre 100 y 200 mL de sobrenadante. Se dejaron crecer las células hasta alcanzar la confluencia, y una vez agotados los nutrientes del medio de cultivo se procedió a recoger el contenido de las placas. El volumen recogido se centrifugó para eliminar los restos celulares y el sobrenadante se precipitó mediante la adición de un volumen de una disolución saturada de sulfato amónico, manteniéndose a 4 0C hasta su purificación.
La purificación de los anticuerpos se realizó por cromatografía de afinidad con columnas de proteína G siguiendo las instrucciones del fabricante. Con este propósito, el anticuerpo precipitado se centrifugó durante 20 min a 5000 rpm (4000*g) y se descartó el sobrenadante. El precipitado que contenía los anticuerpos se redisolvió con tampón fosfato sódico 20 mM, pH 7, 4 y se filtró con membranas de nitrocelulosa (diámetro de poro 0, 45 pm) para eliminar partículas en suspensión. La elución del anticuerpo de la columna se realizó con tampón citrato sódico 100 mM, pH 2, 5. Las fracciones que contenían el anticuerpo se identificaron mediante espectrofotometría UV y se recogieron. La disolución se neutralizó adicionando Tris-HCI 1 M, pH 9, 5. Finalmente, se determinó por espectrofotometría UV la concentración del anticuerpo purificado y se preparó una disolución de trabajo a una concentración de 500 pg/mL en PBS con BSA al 1% (p/v) y timerosal al 0, 01% (p/v) , que se almacenó a 40C. La disolución restante se precipitó con sulfato amónico saturado [1:1, (v/v) ].
7. Resultados
7.1. Respuesta inmune en conejos y producción de antisueros
Mediante inmunización de conejos con bioconjugados de fórmula (I) es los que P es BSA y T es R-ll (2 conejos con cada inmunógeno) se obtuvo un total de 12 antisueros. Cada antisuero se nombró con un código formado por el bioconjugado de fórmula (I) del cual deriva [ (Id) , (le) , (lf) , (lg) , (lh) , (li) ], y un número (#1 o #2) , y se ensayó en ELISA competitivo indirecto empleando como antígeno de ensayo bioconjugados de formula (I) donde P es OVA, a 0, 1 y a 1 pg/mL, y T e s R-l o R-ll. Las Tablas 3-5 recogen la información de la caracterización de los antisueros. Como se puede observar, todos los conjugados inmunizantes fueron capaces de desencadenar una respuesta inmune caracterizada por la inducción de anticuerpos que reconocen al correspondiente aducto de patulina con afinidades de nanomolar (ver valores de IC50) . Estos resultados demuestran la capacidad y utilidad de los bioconjugados de fórmula (I) para generar antisueros útiles para el análisis de patulina. Dicho esto, cabe mencionar que los menores valores de IC50 (mayor afinidad) se obtuvieron con conjugados inmunizantes de fórmula (le) y (lh) , lo que demuestra que el bioconjugado de fórmula (I) más adecuado para obtener anticuerpos frente a patulina no es una cuestión evidente y obvia.
En cuanto al comportamiento de los antisueros en ELISA competitivo directo, se comprobó que sólo los que proceden de conjugados inmunizantes de fórmula (le) y (lh) proporcionan valores de Amax e IC50 adecuados para el desarrollo de métodos inmunoanalíticos, incidiendo así de nuevo en la idea de que no todos los bioconjugados de formula (I) resultan igualmente válidos para la aplicación biotecnológica pretendida.
T A B LA 3. Resultado de los ensayos con antisueros de conejo (rAs) en form ato ELISA com petitivo indirecto fren te a conju gad os derivados de los haptenos le y lh
rAs OVA-le OVA-lh Dilución Amax IC50 (nM) Dilución Amax IC50 (nM) rAs (xlO3) rAs (xlO3)
le # l 100 1, 59 24, 97 30 1, 42 15, 44 le#2 100 1, 44 13, 74 30 1, 46 15, 55 lh # l 100 1, 59 30, 94 100 1, 13 31, 14 lh#2 100 1, 41 42, 88 30 1, 73 127, 69 ld # l 10 1, 63 >1000 10 0, 49 41, 54 ld#2 10 0, 91 94, 89 10 0, 49 29, 97 lg # l 30 0, 89 14, 63 10 0, 63 26, 53 lg#2 30 1, 11 157, 27 10 0, 58 153, 98 lf# l 30 1, 72 313, 56 10 1, 35 18, 74 lf#2 30 1, 21 63, 93 10 1, 13 9, 05 li# l 30 0, 95 157, 61 10 0, 80 175, 03 li#2 30 0, 83 65, 35 10 0, 80 21, 56
TABLA 4. Resultado de los ensayos con antisueros de conejo (rAs) en form ato ELISA competitivo indirecto frente a conjugados derivados de los haptenos l f y li
rAs OVA-lf OVA-li Dilución Amax IC50 (nM) Dilución Amax IC50 (nM) rAs (xlO3) rAs (xlO3)
le # l 100 0, 97 5, 41 30 1, 44 7, 98 le#2 100 1, 14 7, 77 30 0, 97 9, 28 lh # l 100 0, 89 7, 98 100 0, 74 12, 38 lh#2 30 1, 81 55, 48 100 0, 80 116, 52 ld # l 30 1, 29 555, 63 30 1, 40 17, 30 ld#2 30 1, 36 71, 66 30 1, 38 6, 72 lg # l 30 0, 81 37, 79 100 0, 82 63, 49 lg#2 10 1, 49 207, 33 30 1, 28 154, 95 lf# l 100 1, 39 33, 46 100 0, 86 262, 24 lf#2 100 1, 26 17, 43 100 1, 10 133, 25 li# l 100 0, 92 40, 12 100 1, 17 195, 13 li#2 100 1, 29 60, 80 100 1, 29 646, 13 TABLA 5. Resultado de los ensayos con antisueros de conejo (rAs) en form ato ELISA
com petitivo indirecto fren te a conju gad os derivados de los haptenos Id y lg
rAs OVA-ld OVA-lg
Dilución Amax IC50 (nM) Dilución Amax IC50 (nM)
rAs (xlO3) rAs (xlO3)
le # l 30 1, 20 7, 79 10 1, 16 7, 24
le#2 30 1, 43 7, 49 30 1, 00 3, 44
lh # l 30 1, 38 7, 26 30 1, 37 31, 88
lh#2 10 1, 41 48, 68 10 1, 51 174, 33
ld # l 100 0, 93 >1000 30 1, 09 325, 46
ld#2 100 1, 28 216, 76 30 1, 69 171, 37
lg # l 100 0, 73 62, 72 100 0, 84 134, 25
lg#2 30 1, 57 235, 53 30 1, 67 377, 09
lf# l 100 1, 22 32, 78 30 1, 31 16, 01
lf#2 100 0, 89 10, 27 30 1, 19 2, 43
li# l 30 1, 58 53, 97 100 1, 01 65, 70
l¡#2 30 0, 97 27, 71 30 1, 53 321, 09
7.1. Generación de hibridomas productores de anticuerpos monoclonales frente a aducios de patulina de estructura (ii)
A partir de ratones inmunizados con bioconjugados de fórmula (I) en los que P es BSA y T es R-ll, se llevaron a cabo fusiones celulares encaminadas a la generación de hibridomas. Se obtuvo un total de 52 líneas celulares productoras de anticuerpos monoclonales capaces de reconocer a los correspondientes derivados de patulina con un aril-ditiol de fórmula (i) : 27 a partir del bioconjugado de fórmula (le) , 12 a partir de bioconjugados de fórmula (lf) , y 9 a partir del bioconjugado de fórmula (Id) . Estos resultados demuestran claramente que la aproximación propuesta posibilita el objetivo perseguido, es decir, la generación de anticuerpos capaces de reconocer a un derivado de patulina de estructura (ii) , permitiendo así su detección. Los datos también demuestran que no todos los bioconjugados de fórmula (I) son igualmente útiles para este propósito, ya que el número de hibridomas obtenidos a partir del bioconjugado de fórmula (le) fue claramente superior al obtenido con los demás bioconjugados. Así mismo, conviene destacar que la afinidad hacia los aductos de patulina de fórmula (ii-2) de los anticuerpos derivados del bioconjugado de fórmula (le) fue claramente superior a la de los anticuerpos generados a partir de los demás bioconjugados. En definitiva, estos resultados también ponen claramente de manifiesto que el bioconjugado de fórmula (I) más adecuado para obtener anticuerpos que permitan la detección de patulina no es una cuestión evidente y obvia.
7.2. Determinación de la afinidad de los anticuerpos
Una vez purificados, una selección de anticuerpos monoclonales derivados del bioconjugado de fórmula (le) se ensayó mediante inmunoensayo para determinar con mayor exactitud su afinidad hacia el aducto de patulina de estructura (ii-2) . Se realizaron ensayos tanto en formato directo como indirecto. En el primer caso, los anticuerpos sólo se ensayaron frente al bioconjugado enzimático de fórmula (lie) (bioconjugado homólogo, HRP-lle) , ya que fue el único reconocido por los anticuerpos. En el formato indirecto los anticuerpos monoclonales se ensayaron frente a todos los bioconjugados reconocidos de formula (I) donde P es OVA. Como se puede observar en las tablas, los anticuerpos mostraron una excelente afinidad para el aducto de patulina, con valores de IC50 comprendidos entre 0, 12 nM y 1, 29 nM en el formato indirecto, y de 0, 44 nM y 1, 59 nM en el formato directo.
TABLA 6. Resultado de los ensayos con anticuerpos monoclonales (mAb) en
form ato ELISA competitivo indirecto frente a conjugados derivados de los
haptenos le, Id y lf
mAb OVA-le OVA-ld OVA-lf
Amax IC50 Amax IC50 Amax IC50
le#14 0, 86 0, 50 0, 81 0, 36 0, 41 0, 17
le#18 0, 96 0, 56 0, 93 0, 43 0, 46 0, 16
le#232 0, 55 0, 87 0, 76 0, 3.- - --le#235 0, 37 0, 45 0, 88 0, 48 0, 33 0, 12
le#313 0, 47 0, 50 0, 41 0, 25 0, 44 0, 14
le#319 0, 47 0, 37 0, 54 0, 19 0, 57 0, 13
le#325 0, 76 0, 70 0, 58 0, 32 0, 82 0, 24
le#332 0, 52 1, 29 0, 78 0, 90 0, 91 0, 73
TABLA 7. Resultado de los ensayos con an ticuerpos m onoclonales (m Ab) en form ato ELISA com petitivo d irecto con el b ioconjugado hom ólogo H R P -lle
mAb [mAb] Amax IC50 (nM) [mAb] Amax IC50 (nM)
(Fg/mL) (Fg/mL)
le#14 1 0, 63 0, 82 0, 1 0, 31 0, 56
le#15 1 0, 60 0, 75 0, 1 0, 27 0, 54
le#18 1 0, 85 0, 80 0, 1 0, 44 0, 52
le#31 1 0, 71 0, 92 0, 1 -- --le#34 1 0, 72 0, 59 0, 1 0, 59 0, 87
le#38 1 0, 66 0, 49 0, 1 0, 52 0, 72
le#220 1 1, 35 1, 59 0, 1 0, 49 0, 96
le#235 1 0, 87 0, 72 0, 1 0, 23 0, 71
le#237 1 1, 34 1, 28 0, 1 0, 48 0, 44
le#313 1 0, 99 0, 76 0, 1 0, 23 0, 56
le#327 1 1, 49 1, 10 0, 1 0, 40 1, 05
le#338 1 0, 85 0, 50 0, 1 -- --
7.3. Determinación de la especificidad de los anticuerpos
Para demostrar la especificidad de los anticuerpos monoclonales, se llevaron a cabo ELISAs competitivos en los que cada anticuerpo obtenido a partir del bioconjugado BSA-le se ensayó frente a patulina, frente a su correspondiente aducto [compuesto (ii-2) ] y frente a 3, 6-diclorobenceno-1, 2-bis (tiolato) de sodio, sal que al reaccionar con patulina origina el aducto (ii-2) . Los experimentos demostraron de forma concluyente que los anticuerpos sólo reconocen al aducto de fórmula (ii-2) (Figura 1) , confirmando así que es posible determinar patulina mediante los inmunorreactivos protegidos (incluidos) en esta solicitud de patente tras una etapa previa sencilla, rápida y cuantitativa en la que una muestra que contiene patulina se hace reaccionar con un 1% (v/v) de una disolución 1 mg/mL en agua, durante 60 minutos a temperatura ambiente, de una sal de un compuesto de fórmula (i) en el que R1=CI, R2=H, r 3=H y R4=CI.
De forma equivalente, cuando se realizaron estudios de especificidad con el resto de anticuerpos monoclonales, se comprobó que aquellos que se obtuvieron a partir del bioconjugado BSA-ld sólo reconocieron al aducto de fórmula (i-1) , y que los anticuerpos que se obtuvieron a partir del bioconjugado BSA-lf sólo reconocieron al aducto de fórmula (i-3) .
Estos resultados inciden en la generalidad de la aproximación propuesta para determinar patulina mediante métodos inmunoanalíticos.
8. Análisis de patulina en zumos de manzana mediante inmunoensayo
Como prueba de concepto de la capacidad de los anticuerpos y conjugados revelados en esta patente para determinar patulina, se desarrollaron 3 ELISAs competitivos en el formato directo y se analizó el contenido en patulina de 2 zumos certificados que contenían diferentes concentraciones de la micotoxina. Las muestras analizadas fueron, (1) un zumo de manzana natural, sin clarificar, suministrado por Fera Science (código T1618QC) y cuyo contenido en patulina certificado por FAPAS (Food Analysis Performance Assessment Scheme) era de 9, 32 ng/mL, con un intervalo analítico aceptable de 5, 22-13, 42 ng/mL (|z| < 2) ; (2) un zumo de manzana procedente de concentrado, suministrado por LGC Standards (código 520, ronda BV280) y cuyo contenido en patulina certificado por el estudio intercomparativo era de 27, 04 ± 12, 72 ng/mL.
Las muestras se diluyeron 50, 100 y 200 veces con tampón Tris 75 mM, pH 7, 4, y a cada dilución se añadió un 1% (v/v) de una disolución en agua a 1 mg/mL de la sal potásica del 3, 6-diclorobenceno-1, 2-bis (tiolato) . Las muestras se incubaron durante 60 min a temperatura ambiente, y a continuación se analizaron por ELISA competitivo directo empleando tres anticuerpos monoclonales, mAb#235, mAb#313 y mAb#338, en combinación con el conjugado HRP-lle.
Los tres ensayos dieron valores de patulina muy parecidos, siendo el resultado analítico promedio de 7, 78 ± 0, 28 ng/mL para la muestraT1618QC, y d e 34, 13 ± 5, 37 para la muestra 520-BV280. Estos datos suponen una prueba inequívoca de la validez de los inmunorreactivos (anticuerpos y conjugados) descritos y de los inmunoensayos propuestos para el análisis cuantitativo de patulina en zumos de manzana.