Procedimiento y producto de programa informático para acelerar el cálculo del estado estacionario de un motor de inducción de jaula de ardilla
SECTOR TÉCNICO DE LA INVENCIÓN
La presente invención se refiere a un método y producto de programa de ordenador para acelerar el cálculo del estado estacionario de un motor de inducción de jaula de ardilla. Más concretamente, se refiere a un método y producto de programa de ordenador de cálculo del estado estacionario de un motor de jaula de ardilla en el que las bobinas del estátor están alimentadas por corrientes periódicas.
ESTADO DE LA TÉCNICA
La simulación numérica es una herramienta clave en la etapa de diseño de máquinas eléctricas ya que evita la construcción de prototipos innecesarios y reduce significativamente los costes y tiempo precisos para obtener nuevos diseños. Sin embargo, estas ventajas pueden verse mermadas si se requiere un tiempo de cálculo excesivo. Particularmente, en la simulación numérica de motores de inducción hay una demanda creciente por disponer de técnicas de simulación competitivas en términos de eficiencia computacional ya que el diseño de este tipo de dispositivo requiere, en general, simulaciones largas.
La simulación electromagnética de motores de inducción de jaula de ardilla mediante el método de elementos finitos implica resolver un sistema de ecuaciones en derivadas parciales (obtenido a partir de las ecuaciones de Maxwell) acoplado con ecuaciones de circuitos eléctricos. En el estado de la técnica, el modelo electromagnético más extendido describe la parte activa del motor utilizando un modelo de corrientes inducidas definido en una sección transversal del mismo, mientras que los anillos de la jaula de ardilla y las cabezas de bobina del estátor se representan mediante elementos del circuito. Como resultado, se obtiene un modelo matemático bidimensional (2D) formulado en el dominio del tiempo que requiere una discretización espacial y temporal para su aproximación numérica. Las incógnitas de este modelo son las corrientes y caídas de potencial en el circuito de la jaula de ardilla y el vector potencial magnético en la sección transversal del motor. En este tipo de motores, la dificultad más importante en la resolución del problema descrito radica en que el tiempo necesario para alcanzar el estado estacionario es, generalmente, muy elevado. Por ello, si el modelo no parte de condiciones iniciales adecuadas, su resolución puede suponer un altísimo coste computacional. Así, si se utiliza el denominado método de
fuerza bruta, consistente en avanzar en tiempo hasta alcanzar una solución estacionaria, pueden ser necesarios más de diez días para alcanzar el estado estacionario, incluso con las prestaciones de los actuales equipos informáticos.
Es evidente que una reducción significativa del tiempo de cálculo permite realizar un mayor número de simulaciones en la etapa previa al diseño de la máquina y ampliar el abanico de sus posibles configuraciones. Por ello, en los últimos años el problema de reducir el coste computacional para alcanzar el estado estacionario en la simulación numérica de motores de inducción ha sido abordado utilizando distintas metodologías, entre las que destacan las siguientes:
Los métodos TPFEM (Time Periodic Finite Elements) , que consisten en plantear el problema discretizado en tiempo en un intervalo donde la solución es periódica y resolver todos los pasos de tiempo de modo simultáneo (Takahashi, Y., et al., Time- Domain Parallel Finite-Element Method for Fast Magnetic Field Analysis of Induction Motors, IEEE Trans. Magn. 49 (5) (2013) 2413-2416). Si bien se evita el realizar una resolución del problema en cada paso de tiempo hasta llegar al estado estacionario, esta técnica conduce a resolver sistemas no lineales con matrices extremadamente grandes y no simétricas. Por ello, son necesarias técnicas de paralelización efectivas que permitan abordar el tamaño del problema.
Los métodos TP-EEC (Time Periodic - Explicit Error Correction) , que pretenden acelerar la convergencia del modelo transitorio basándose en técnicas de corrección utilizadas en métodos iterativos más generales y en propiedades del método TPFEM (Katagiri, H., et al., Improvement of Convergence Characteristics for Steady-State Analysis of Motors With Simplified Singularity Decomposition-Explicit Error Correction Method, IEEE Trans. Magn. 47 (6) (2011) 1786-1789).
Los métodos basados en proporcionar al modelo transitorio una condición inicial obtenida mediante la resolución de un modelo de corrientes inducidas no lineal planteado en el dominio de la frecuencia. La aproximación armónica del problema para determinar la condición inicial se basa en la hipótesis de que la variación temporal del vector potencial magnético se puede describir mediante una función exponencial compleja. Los efectos magnéticos no lineales se incluyen en esta aproximación mediante la introducción de la llamada curva de magnetización efectiva, mientras que el movimiento del rotor se considera mediante una modificación de la conductividad eléctrica de las barras (Stermecki, A., et al., Numerical analysis of steady-state operation of three-phase induction machines by
an approximate frequency domain technique. Elektrotech. Inf. Tech 128 (3) (2011) 81-85).
Una dificultad común a las técnicas TPFEM y TP-EEC es establecer la condición de periodicidad en los motores de inducción de modo que el método tenga un bajo coste computacional. Esto es debido a que el vector potencial magnético varía con frecuencias muy distintas en rotor y estátor, por lo que si se pretende trabajar con un período común en ambas partes del motor podría necesitarse un intervalo de tiempo muy grande. Sin embargo, es conveniente definir la condición de periodicidad en un período suficientemente corto de modo que los procedimientos descritos resulten ventajosos frente a un método de fuerza bruta. En los métodos TPFEM hay varias propuestas en este sentido basadas en el hecho de que la solución exhibe una simetría espacio-temporal, mientras que en los métodos TP- EEC se aplica la aceleración de la convergencia en los dos dominios por separado, o bien únicamente en uno de ellos.
Los métodos citados enfocan el problema partiendo del modelo transitorio de corrientes inducidas acoplado con circuitos eléctricos. Este punto de partida conduce, en general, a problemas con alto coste computacional porque la condición de periodicidad afecta a un campo espacial, el vector potencial magnético, y a los elementos del circuito. Además, como se ha mencionado previamente, aparecen frecuencias distintas en cada parte del motor.
DESCRIPCIÓN DE LA INVENCIÓN
Dados los problemas presentados por los métodos de cálculo del estado estacionario de motores de inducción existentes en el estado de la técnica, surge la necesidad de un método que solucione al menos algunos de los problemas antes mencionados. Es objeto de la presente invención satisfacer dicha necesidad.
La presente invención se refiere a un procedimiento para la aceleración del cálculo del estado estacionario de un motor de inducción de jaula de ardilla en el caso en que el motor es alimentado mediante corrientes periódicas en las bobinas del estator (100). El procedimiento de la presente invención permite calcular unas corrientes iniciales para las barras (102) de la jaula de ardilla del motor que, al ser utilizadas como dato inicial para resolver el sistema usual de ecuaciones en derivadas parciales que caracterizan el comportamiento electromagnético del motor, resultan en una considerable reducción de la parte transitoria de la solución. De esta forma, al precisarse un menor número de ciclos para alcanzar el estado estacionario de la máquina, se reduce el coste computacional y por tanto el tiempo necesario para realizar las simulaciones.
En un primer aspecto la invención se refiere a un procedimiento de cálculo de un motor de inducción que aborda el problema de periodicidad temporal centrando esta condición en las corrientes de las barras (102) de la jaula de ardilla. De este modo, será posible trabajar únicamente con la frecuencia del rotor y con un número de incógnitas muy reducido en comparación con los métodos mencionados. Además, el coste computacional del método de cálculo objeto de la presente invención es independiente del tamaño del período del rotor.
El cálculo de las corrientes iniciales adecuadas para reducir el transitorio se realiza mediante la resolución de un sistema de ecuaciones sobredeterminado que se obtiene siguiendo los pasos que se detallan a continuación.
El procedimiento para el cálculo acelerado del estado estacionario de un motor de inducción de jaula de ardilla comprende las siguientes etapas:
a) Determinar las dimensiones y estructura del motor de inducción para determinar la geometría de su sección transversal, que está dividida en rotor (102, 104 y 106) y estator, siendo el rotor el compendio de todas las partes móviles, y siendo el resto el estátor. La geometría de la sección transversal incluye, por lo menos, las bobinas del estator, las barras de la jaula de ardilla, los núcleos ferromagnéticos de rotor y estator, el entrehierro y el eje del motor.
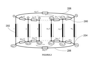
b) Modelizar el circuito eléctrico correspondiente a la jaula de ardilla del motor, para ello se analiza la estructura de la jaula de ardilla situada en el rotor del motor de inducción para determinar así la topología del circuito eléctrico asociado. Dicho circuito, que es modelado por un grafo, está formado por los conductores asociados a las barras (202) de la jaula y las resistencias (200) asociadas a los anillos situados en los extremos del motor, que no se incluyeron en la geometría de la sección transversal. Los parámetros del circuito eléctrico de la jaula de ardilla comprenden las resistencias de los elementos del circuito eléctrico asociados a los anillos de la jaula de ardilla y la longitud l de las barras de la jaula de ardilla en la dirección del eje de rotación de la máquina.
c) Establecer las propiedades físicas de los materiales que constituyen las diferentes partes del motor para determinar: la reluctividad magnética v de los materiales que conforman el motor de inducción y la conductividad eléctrica a de las barras de las barras (202) de la jaula de ardilla.
d) Determinar las condiciones en las que opera el motor, que comprende determinar la corriente periódica que traviesa las bobinas del estator y velocidad de rotación del rotor de la máquina.
e) Calcular la corriente inicial en las barras de la jaula de ardilla.
f) Calcular el estado estacionario del motor de inducción mediante la resolución del modelo clásico de corrientes inducidas, o "eddy currents", a partir de las corrientes iniciales obtenidas en la etapa anterior.
El cálculo de la corriente inicial en las barras de la jaula de ardilla comprende plantear un modelo matemático, denominado en adelante modelo completo, que permite calcular los campos electromagnéticos en la sección transversal del motor. Este modelo tiene como incógnitas el potencial magnético vectorial en la sección transversal del motor y las corrientes y caídas de potencial en el circuito de la jaula de ardilla, y está constituido por dos submodelos acoplados: un submodelo distribuido obtenido a partir de las ecuaciones de Maxwell en baja frecuencia y un submodelo de parámetros concentrados asociado al circuito eléctrico de la jaula de ardilla. Así, el cálculo de la corriente inicial en las barras d ela jaula de ardilla comprende:
a. plantear un modelo matemático, modelo completo, para el cálculo de los campos electromagnéticos en la sección transversal del motor de inducción;
b. transformar el modelo completo en un modelo simplificado mediante manipulaciones algebraicas para obtener un sistema de ecuaciones algebraico-diferenciales ordinarias;
c. transformar el modelo simplificado en un modelo reducido aproximado;
d. resolver el modelo reducido aproximado mediante un método numérico; y
e. obtener la corriente inicial en las barras de la jaula de ardilla a partir de la solución del modelo reducido aproximado.
El planteamiento del modelo matemático completo comprende:
a. plantear un submodelo distribuido basado en las ecuaciones de Maxwell para corrientes inducidas en régimen magnetostático transitorio, denominado submodelo distribuido de magnetostática, caracterizado por que las corrientes en las bobinas del estator y las barras del rotor se suponen uniformemente distribuidas;
b. reescribir el submodelo distribuido cambiando el sistema de referencia convencional por otro móvil solidario con el rotor;
c. plantear un submodelo de parámetros concentrados para el circuito eléctrico de la jaula de ardilla del rotor obtenido a partir de las leyes de Kirchhoff, incluyendo como dato las corrientes iniciales en las barras; y
d. plantear el modelo completo mediante el acoplamiento del submodelo distribuido de magnetostática y del submodelo de parámetros concentrados.
A continuación, se transforma el modelo completo en un modelo simplificado mediante manipulaciones algebraicas para obtener un sistema de ecuaciones algebraico-diferenciales ordinarias cuyas incógnitas son las corrientes en las barras de la jaula de ardilla y un valor escalar, llamado multiplicador de Lagrange. Las manipulaciones algebraicas a llevar a cabo son las siguientes: en primer lugar, para cada tiempo t> 0, se define un operador Ft (w) con tantas componentes mb como barras (102) haya en el rotor del motor, Ft = (Ft, i,.., Ftm6) ; cada componente de este operador se define como el producto de la resistencia por unidad de longitud en cada barra por la integral en la sección transversal de dicha barra del producto entre la solución del submodelo distribuido de magnetostática en el tiempo t con dato w (independiente del tiempo) y la conductividad eléctrica de la barra. Seguidamente se utiliza la derivada temporal de este operador Ft ( w ) para escribir el problema completo en términos de las corrientes y las caídas de potencial en el circuito de la jaula de ardilla. Por último, se eliminan las corrientes en los anillos y las caídas de potencial en toda la jaula de ardilla del sistema anterior mediante la introducción de una nueva incógnita escalar, el multiplicador de Lagrange.
El siguiente paso comprende obtener el modelo reducido aproximado transformando el modelo simplificado de la etapa anterior. Para ello, se calcula el período eléctrico en las barras de la jaula de ardilla, Tb, a partir del número de pares de polos del motor, la frecuencia de la corriente en las bobinas del estator (100) y la velocidad de rotación del rotor, y se integra en tiempo el modelo simplificado en los intervalos [0, t] y [0, 7^]. A continuación, se intercambia el orden de integración en los términos que no involucran al operador Ft ( w) y se elimina el término que involucra al operador Ft ( w ) aplicado a las corrientes en las barras de la jaula de ardilla en todo el intervalo temporal [0, 7^]. Finalmente, se aproximan las corrientes en las barras de la jaula de ardilla por el armónico principal de sus respectivos desarrollos en serie de Fourier (a frecuencia fb = 1/Tb) escrito en términos de una amplitud común a todas las barras, y diferentes ángulos de fase relativos al tiempo
inicial. Además, se escriben las fases relativas al tiempo inicial de la corriente en las barras de la jaula de ardilla en términos de una de ellas, considerando un desfase constante entre barras que es función de las condiciones de operación del motor, obteniendo de esta forma un sistema no lineal sobredetermiando de ecuaciones numéricas o modelo reducido aproximado.
Finalmente, en la última etapa se resuelve el modelo reducido aproximado, que es un sistema sobredeterminado de ecuaciones no lineales. En una realización particular de la invención el modelo reducido se resuelve mediante el método de mínimos cuadrados. A su vez, el sistema sobredeterminado requiere la resolución del submodelo distribuido de magnetostática que puede abordarse mediante diversas técnicas; en una realización particular se resuelve con el método de diferencias finitas, en otra realización particular se resuelve mediante el método de elementos finitos. Una vez encontrada una solución del modelo reducido aproximado, se utiliza el primer armónico de la corriente en las barras de la jaula de ardilla para calcular la aproximación de la corriente inicial en dichas barras. Estas corrientes se utilizan como dato inicial para calcular el estado estacionario del motor de inducción mediante un modelo clásico de corrientes inducidas, o "eddy currents.
En otro aspecto la invención se refiere a un producto de programa informático que comprende instrucciones de programa para provocar que un sistema de computación realice el procedimiento para calcular el estado estacionario de un motor de inducción de jaula de ardilla según se ha descrito. En otro aspecto la invención se refiere a un producto de programa informático que está almacenado en unos medios de almacenamiento. En otro aspecto la invención se refiere a un producto de programa informático que es portado por una onda portadora.
BREVE DESCRIPCIÓN DE LAS FIGURAS
Las modalidades detalladas en las figuras se ilustran a modo de ejemplo y no a modo de limitación:
La Figura 1 muestra una realización concreta del corte transversal de una máquina de inducción de jaula de ardilla, en la que además se han señalado los nombres de las diferentes partes a las que se hace referencia en la descripción de la realización concreta de la invención.
La Figura 2 muestra una realización concreta del grafo dirigido del circuito eléctrico
asociado a la jaula de ardilla del motor de inducción, en la que se ha realizado una
numeración que correspondería a los nodos y aristas, además de una elección del sentido de las aristas.
DESCRIPCIÓN DETALLADA
A continuación se expone una descripción detallada de la invención para el caso particular de una posible realización haciendo referencia a las figuras.
En primer lugar debe efectuarse un análisis de la geometría y de las propiedades físicas del motor de inducción concreto del cual se quiere simular el estado estacionario, comprendiendo las siguientes etapas:
a) Estudiar las dimensiones y estructura del motor de inducción para determinar la geometría de su sección transversal, la cual se corresponderá con la configuración geométrica en el instante inicial de las simulaciones transitorias, que en el caso de esta forma de realización incluye (ver la Figura 1) :
las barras de la jaula de ardilla (102) , las bobinas del estator (100) , los núcleos ferromagnéticos de rotor y estator (106, 110) , el eje de la máquina (104) , el entrehierro de la máquina que separa los núcleos del rotor y estator, el cual está compuesto por aire (108).
Se utiliza la siguiente notación para las distintas partes: , i = 1,..., mb, para las barras del rotor, ü, í = mb + 1,..., m, para las bobinas del estátor y üm+1 para la parte del dominio que no es conductora, es decir, el aire y los núcleos ferromagnéticos. En particular, la parte correspondiente al eje de la máquina será tratada como aire.
El dominio üm+1se descompone en dos partes:
^m+i (correspondiente al rotor) , ^m+i (correspondiente al estátor).
Por lo tanto, el dominio bidimensional (2D) en el instante inicial será fl = Ui1ü. Se consideran que todas las secciones transversales definidas son conjuntos del plano xy mientras que el eje del motor se supone en la dirección z perpendicular al plano anterior. Los vectores ex, ey y ez denotan los elementos de una base ortonormal de R3 en las direcciones correspondientes.
b) Estudiar la estructura de la jaula de ardilla situada en el rotor del motor de inducción para determinar la topología del circuito eléctrico asociado que, en la realización particular presentada, está formado por los conductores asociados a las barras de la jaula y las resistencias asociadas a los anillos situados en los extremos del motor, que no se incluyen en la geometría de la sección transversal. En una realización particular de la invención el grafo correspondiente a la jaula de ardilla de mb barras (202) consta de 3mb aristas (206) y 2mb nodos (204).
c) Estudiar las propiedades físicas de los materiales que constituyen las diferentes partes del motor para determinar:
la reluctividad magnética v de los materiales que conforman el motor de inducción. En una realización particular de la invención se proporcionan reluctividad de los siguientes componentes: núcleos ferromagnéticos, bobinas del estátor y barras de la jaula de ardilla del rotor. La reluctividad de los materiales ferromagnéticos es, en general, una función no lineal.
La conductividad eléctrica a de las barras de la jaula de ardilla; a partir de dicha conductividad, se define la resistencia por unidad de longitud de cada barra en la dirección del eje de rotación de la máquina que se denotará por a y está definida de la forma:
fnOi dxdy
, i = 1,..., mb.
(1)
Las resistencias Rt de los elementos del circuito eléctrico asociado a los anillos de la jaula de ardilla.
La longitud l de las barras de la jaula de ardilla en la dirección del eje de rotación de la máquina.
d) Determinar las condiciones en las que opera el motor: corriente en las bobinas del estátor In, n = mb + 1,..., m, en función del tiempo y velocidad de giro del rotor que se denota por nr. Las corrientes In son funciones periódicas en tiempo y su frecuencia se denota por fc.
En segundo lugar, se determina un modelo matemático (modelo completo) que permite calcular los campos electromagnéticos en la sección transversal del motor. Este modelo consta de dos partes principales: un submodelo distribuido obtenido a partir de las ecuaciones de Maxwell en baja frecuencia (submodelo distribuido de magnetostática) y un submodelo de parámetros concentrados asociado al circuito eléctrico de la jaula de ardilla.
Estos dos submodelos estarán acoplados a través de las corrientes y una integral de la solución del submodelo distribuido de magnetostática en las barras del rotor.
Para la obtención del submodelo distribuido de magnetostática se consideran las ecuaciones de Maxwell en baja frecuencia (es decir, despreciando el término de
desplazamiento eléctrico en la ley de Ampére) en una sección transversal del motor y
expresadas en términos del potencial magnético vectorial, que en coordenadas cartesianas tiene la forma A = (0, 0, Az (x, y) ) J. Además, tanto en las bobinas del estátor como en las barras del rotor, la corriente se considera uniformemente distribuida ("stranded conductors") , con lo que se obtiene un modelo en el que el tiempo actúa como parámetro. Para la
realización concreta que se presenta, el submodelo distribuido se reduce a:
curl (v curl A)
y (0
" |fl¡l ez
en fl (t) , í = 1,..., mb,
(2)
curl (v curl A)
h (t)
lflil6z
en fl, í = mb + 1,..., m,
(3)
curl (v curl A)
= 0
en aire y núcleos,
(4)
A
= 0
sobre 3fl,
(5)
donde y (í) , i = 1,..., mb, son las corrientes en las barras de la jaula de ardilla en el instante í> 0, 7 (í) , í = mb + 1, m, son las corrientes en las bobinas del estátor en ese mismo instante y |fl| denota el área de cada sección fl que es invariante con el tiempo. La función v tomará sobre cada dominio el valor correspondiente a la reluctividad del material que lo 15 conforma. A continuación, se reescribe el modelo distribuido cambiando el sistema de referencia a uno móvil solidario con el rotor, es decir, fl+x es fijo y fl^lí se mueve de modo que en el tiempo í, el dominio fl^+í se ha movido a la posición r^fl^^) siendo rt la rotación cuya velocidad angular es la opuesta a la del rotor. Nótese que la zona de entrehierro puede incluirse en cualquiera de estos subdominios o puede dividirse en dos 20 partes (una de ellas perteneciente al rotor y la otra al estátor). De este modo, el sistema de
ecuaciones resultantes es:
curl (v curl A)
y¡ (0 |fl¡l ez
en fl, í = 1,..., mb,
curl (v curl A)
/¡ (O
|fl|ez
en rt (fl) , í = mb + 1
curl (v curl A)
= 0
en aire y núcleos,
A
= 0
sobre 3fl,
Para la escritura del submodelo de parámetros concentrados, deben tenerse en cuenta las leyes de Kirchhoff y las leyes constitutivas de los elementos del circuito. En el caso concreto de la realización que se presenta, el submodelo de parámetros concentrados es:
^y (t) = 0 (6)
Dy (t) + <AJv (t) = 0 (7)
donde y (t) e B?mb y v (t) e E26 son los vectores cuyas componentes son las corrientes en 5 las aristas y los voltajes en los nodos del grafo asociado al circuito, respectivamente, ^ es la matriz de incidencia (de dimensión 2mb x3mb) del grafo asociado al circuito y D es el operador diagonal dado por:
(£j aAz (x, y, t) dxdy + yi (t) 'J i = 1,..., mb, fíy (í) i = mb+ 1,.., 3mb.
El modelo completo se obtiene acoplando el submodelo distribuido de magnetostática (2) - (5) con el submodelo de parámetros concentrados (6) - (7) , y añadiendo una condición inicial 10 para la corriente en las barras:
® (y (0) =
y (0) = y°, í = i,..., mb.
Así, el modelo completo se escribe de la forma:
(8)
curl (vcurl A)
y (0 m¡iez
en ü (í) , í = 1,..., mb,
(9)
curl (vcurl A)
|fl¡| 6z
enrt (fl¡) , í = mb + 1,..., m,
(10)
curl (vcurl A)
= 0
en aire y núcleos,
(11)
A
= 0
sobre 3ü,
(12)
<Ay (t)
= ^,
(13)
'Dy (t) + lTm
= ^,
(14)
y (0)
= y",
í = 1,..., mb.
(15)
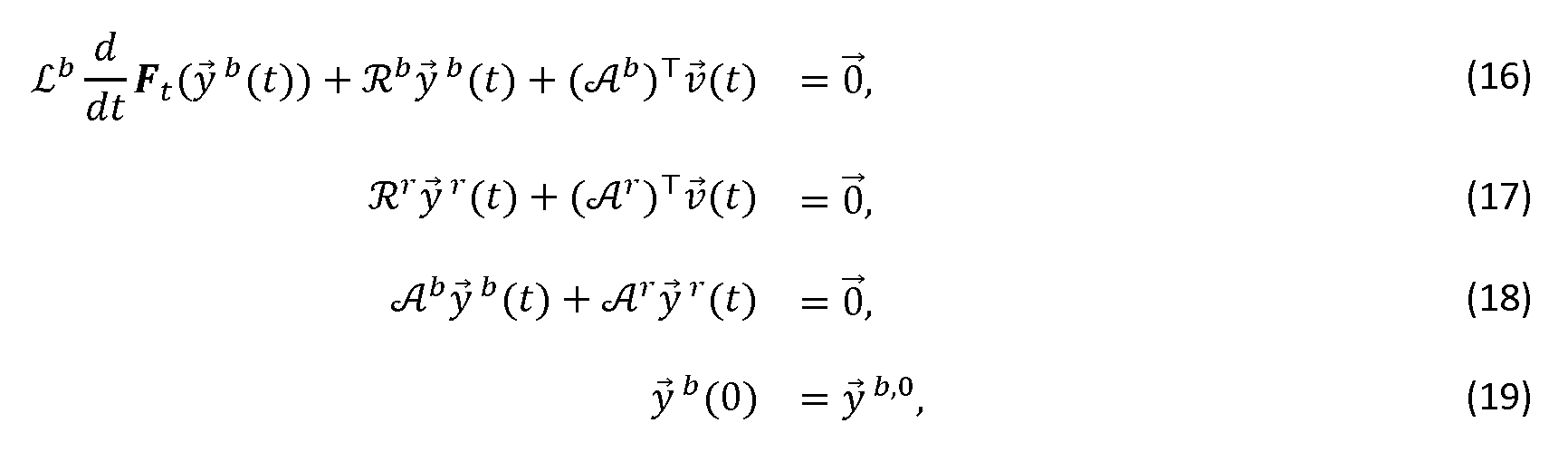
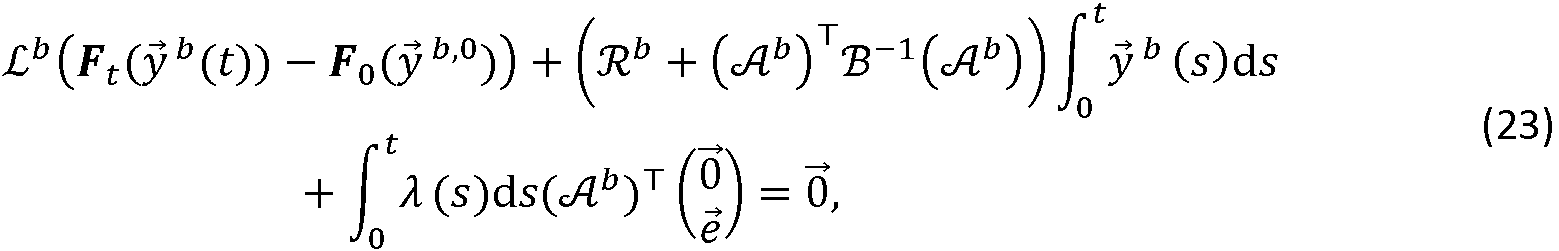
A continuación, se reescribe el modelo completo de forma simplificada para obtener el modelo reducido, cuyas incógnitas son las corrientes en las barras de la jaula de ardilla y una incógnita escalar (multiplicador de Lagrange) asociada a la caída de potencial en una de 15 las barras. Para ello, se realizan los pasos siguientes:
a) Para cada t> 0, se define el operador no lineal Ft:Rmb dado por:
Fti ( w ) : = ai I oAz (x, y, t) dxdy, i = l,..., mb, Jai
donde el campo A (x, y, t) = (0, 0, Az (x, y, t) ) T es la única solución del submodelo distribuido de magnetostática (ecuaciones (2) a (5) ) en el instante t considerando como dato la corriente en las barras dada por y = w.
b) Gracias al operador Ft, y definiendo las matrices diagonales siguientes:
(Lb) ij = lSiJ, (:Rb) iJ = laiSiJ, i, j = 1,..., mb, ~) íj ~^í+m¡, ^íj, i, j ~ 1, , 3w.b mb, se puede escribir el problema completo de forma simplificada
£b^ftFt (y + Jlby b (t) + (Lbym = 0,
(16)
Rr y r (t) + (^r) Tv (t) =0,
(17)
Aby b (t) + JFyr (t) =0,
(18)
yb (0) =yb, °,
(19)
donde yb es el vector cuyas componentes son las corrientes en las aristas del grafo correspondientes a las barras de la jaula de ardilla, yr es el vector cuyas componentes son las corrientes en las restantes aristas del grafo asociado a la jaula de ardilla y <Ab y Jlr son las partes de la matriz de incidencia del grafo correspondientes a las aristas que representan las barras y al resto de las aristas, respectivamente.
c) A continuación se obtiene el modelo reducido eliminando las incógnitas yr y v del sistema anterior mediante una serie de manipulaciones algebraicas. En una realización particular las incógnitas se eliminan expresando el vector de caídas de potencial de la forma:
v (t) = B~\Aby b (t) + A (t) (0) , donde e:= (1,., 1) Tel"6 y B esla matriz obtenida a partir de Ar^~1{Ar) T colocando números muy grandes en dos posiciones de la diagonal. En la presente invención el término números muy grandes hace referencia a números grandes en comparación con los órdenes de magnitud presentes en el sistema. En la realización concreta se propone elegir dichas posiciones como las correspondientes a los nodos
de los extremos de una misma barra de la jaula de ardilla y poner números del orden de 10so en dichas posiciones. Así, la incógnita escalar A (t) representa la caída de potencial a lo largo de esta barra; además, se verifica la ecuación (6) que en este caso se reduce a:
cAbyb{t) = 0.
d) De esta forma se obtiene el modelo reducido cuyas incógnitas son las corrientes en las barras de la jaula de ardilla y una incógnita escalar (multiplicador de Lagrange) asociada a la caída de potencial en una de las barras. Dicho modelo resulta ser el siguiente:
£b^Ft (yb (í) ) + + (ctfh) TB_1 (^h) ) yh (t) + A (t) (^h) T = 0, (20)
(21)
yb (0) = yb°.
(22)
El siguiente paso consiste en obtener el sistema reducido aproximado a partir del modelo reducido anterior. Para la realización de este paso se realizan los siguientes pasos:
a) Calcular el período eléctrico de la corriente en las barras de la jaula de ardilla a partir del número de pares de polos p de la máquina, la frecuencia de la corriente en las bobinas del estátor, fc, y la velocidad de rotación del rotor nr:
Y =__________
60fc p nr`
b) Integrar en tiempo las ecuaciones (20) y (21) del modelo reducido en el intervalo [0, í], con te [0, r¡, ] teniendo en cuenta la condición inicial (22) para obtener el sistema:
t (y b (0) - F0 (y-M) ) + (xb + (cAi) V1 (^) )
+ J A (s) ds (<Ab) T (0) = 0
** (Ver fórmula) **
f
yb (s) ds
(23)
[y b (s) ds Jo
^TÍO) -
0.
(24)
c) Integrar en tiempo las ecuaciones (23) y (24) en el intervalo [0, 7^] para obtener el sistema:
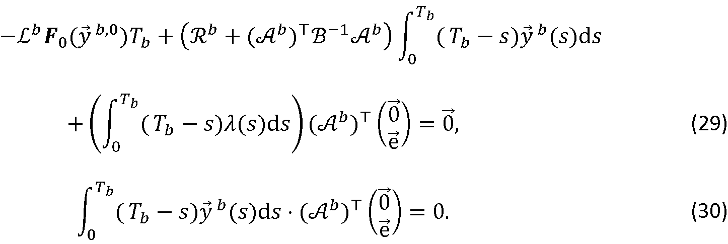
b (f bFt (y \t) ) dt-F0 (y b°) Tb^ + (JZb + (cAb) TS-1 (^b) ) f y b (s) ds^dt
+
** (Ver fórmula) **
** (Ver fórmula) **
(25)
f b (f y b (s) ds) dí (^by (°) = 0. (26)
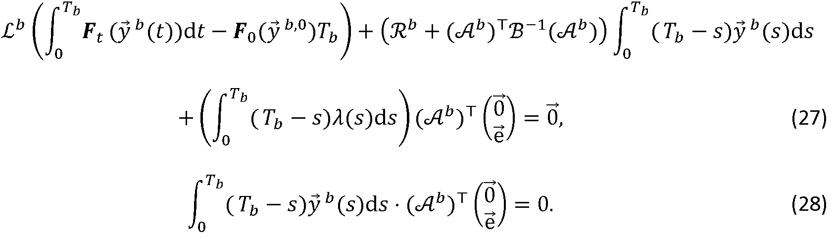
d) Intercambiar el orden de integración en los términos de (25) y (26) que no involucran al operador Ft, obteniendo:
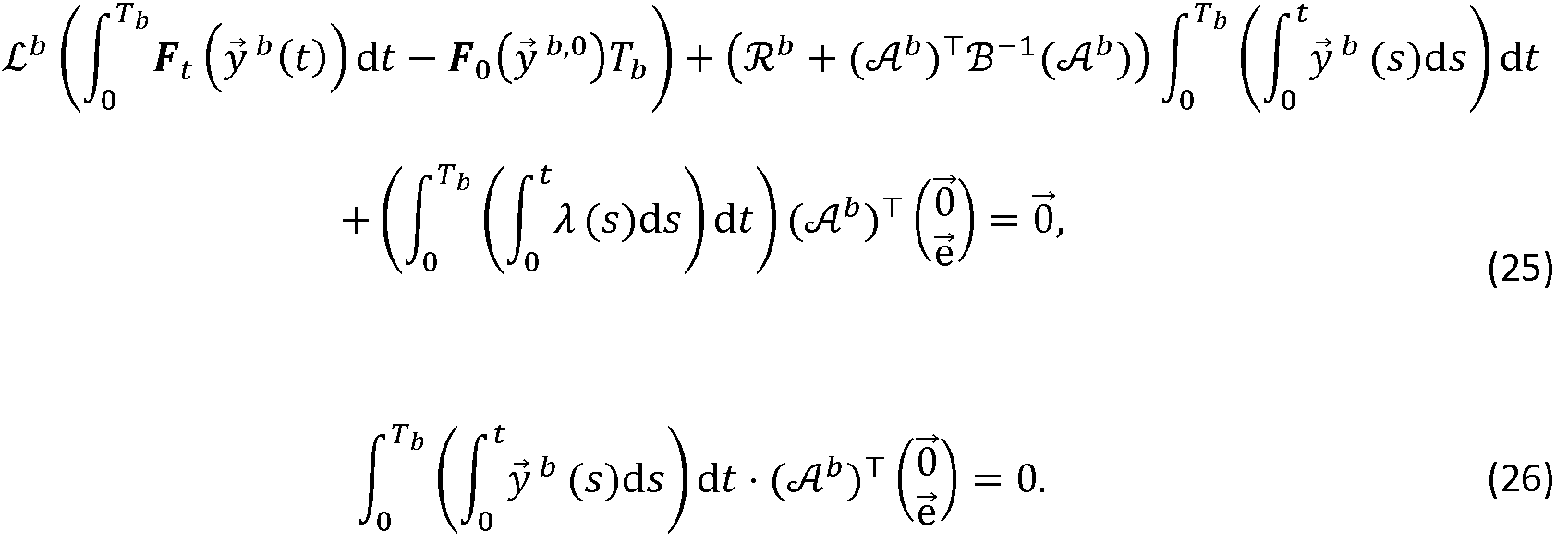
£b (f *Ft (y\t) ) dt - FQ (yb, °) Tb^ + (&> + (cAb) TB-\lb) ) j \ fb -s) yb (s) ds
+ (| \rb- s) A (s) ds^ (Ab) T (0) = 0, l 6 (rb-s) ;yb (s) ds^ (^b) T (e) = 0.
e) Despreciar el primer término de la ecuación (27) obteniendo el sistema:
r^b
LbF0 (yb0) Tb + (Rb + (c/lb) TB~1Ab) I (Tb -s) yb (s) ds
Jo
+ (f \rb - s) A (s) ds) (Aby (°) = 0, -s) y\s) ds (^b) T (°) = 0.
(27)
(28)
(29)
(30)
f) Aproximar las corrientes en las barras de la jaula de ardilla por el armónico principal de sus respectivos desarrollos en serie de Fourier (a frecuencia fb:= 1/Tb) , escritos en términos de una amplitud común Y y los ángulos de fase £>n, n = l,.., mb, relativos al tiempo inicial y* (O -
(^b) T
0
e
I (Ycos (2nfbt +pn) ).
- *n
(31)
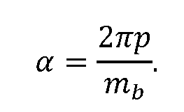
g) Escribir las fases relativas al tiempo inicial pn, n = 1,..., mb, en términos de una de ellas considerado un desfase constante
np a =-----.
mb
Si la barra escogida para ello es la primera, Pn =Pi + (n 1) a, n = 1,..., mb.
(32)
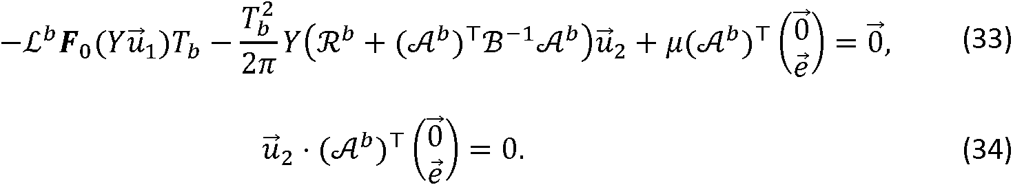
h) Sustituir las componentes del vector de corrientes en las barras de la jaula de ardilla del sistema (29) - (30) por las corrientes aproximadas, obteniendo un sistema no lineal sobredeterminado de ecuaciones numéricas (modelo reducido aproximado) , -£bF0{Yv.1) Tb-1¡LY{jlb + (cAb) TB~1lb) Ü2 +^ (Ab)
2n
u2 - (c^) T^ -
b^T (0\ _
e.
0.
0, (33)
(34)
donde
rTb
/u:= I (
Jo
(Tb s) A (s) ds, y U1, u2 son vectores cuyas n-ésimas componentes, n=l,.., mb, son, respectivamente, ul, n:
(Ab) T I (
en
cos + (n1) a)
U2, n:
(Ab) T I (
sin + (n l) a).
i) Eliminar la incógnita ^ en términos de la amplitud del armónico principal de la corriente en las barras de la jaula de ardilla y la fase del armónico principal de la corriente en una de las barras relativa al instante inicial:
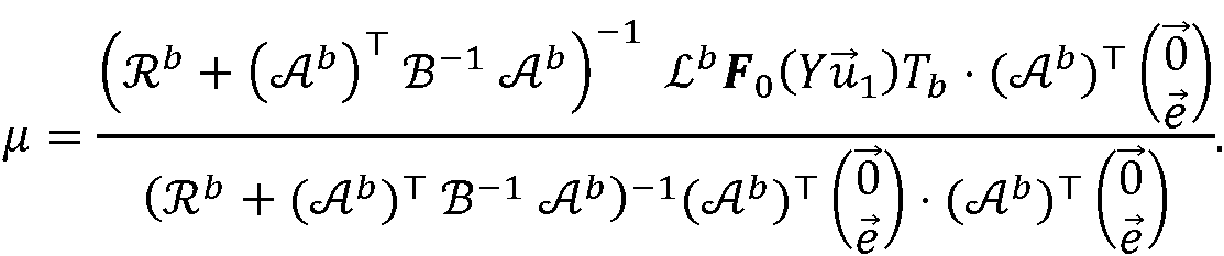
, -i
(Rb + (cab) T B-1 Ab^ LbF0 (Yv.1) Tb - (cdb)
T' (!
e
F
CBb + (cAb) T B-1 ^b) ~1 (^b) T - (c^b) T ^
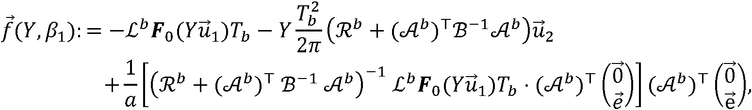
Así, el modelo reducido aproximado obtenido a partir de (33) - (34) se reduce a:
- £bF0 (Y:uí) Tb -Y^ (3lb + (cAb) TB~1lb) Ü2 2 n
H
a
{3lb + (cAb) T B~x Jlb) 1 £bF0 (YUí) Tb - (cAb) T ( (
en
(iby (0) = 0, donde
(35)
a: = (!Rb + (cAb) T B~x Jlb) 1 (lb) T (£) - (c^) 7 ( (
\e/ \e
Para efectuar la resolución del modelo reducido aproximado se ha escogido un método de mínimos cuadrados. De esta forma, si se definen
f (Y, píy. = -£bF0 (YHí) Tb -Y2^ (Xb + (c/lb) TB~1Ab) u2
l H a
(3lb + (cAb) T B-1 Jlb) 1 £bF0 (YU1) Tb - (cAb) T ( ( 16
en
Ve
y
y ^ (Y, pi) : = \l f (y, pi) \\22, se buscan Y y ^ tales que
(7, £i) = mm {0 (Z, y) : ymín <Z<Ymax, 0 <y <2tt}.
En particular, el cálculo de F0 (YÜ.1) involucra la resolución del submodelo distribuido de magnetostática con corrientes dato en las barras dadas por Yií1. Para ello, en esta realización concreta de la invención, este submodelo de magnetostática se discretiza 5 mediante técnicas de elementos finitos nodales, y se utilizan algoritmos iterativos para manejar las no linealidades de las leyes constitutivas de los materiales ferromagnéticos de los núcleos del motor.
Una vez encontrada la solución (Y, ^1) del modelo reducido aproximado, se obtiene una corriente inicial para la corriente en las barras de la jaula de ardilla evaluando las 10 expresiones (31) en el instante t = 0.
Finalmente, para calcular el estado estacionario del motor de inducción, se resuelve un modelo clásico de corrientes inducidas ("eddy currents") con las condiciones iniciales obtenidas siguiendo el procedimiento anterior.