COMPLEJO DE INCLUSIÓN PARA MEJORAR LA BIODISPONIBILIDAD DE
COMPUESTOS BIOLOGICAMENTE ACTIVOS NO HIDROSOLUBLES
SECTOR TÉCNICO
La invención que se presenta se encuadra en el ámbito general de la química orgánica y halla su aplicación en el sector farmacéutico, alimentario y cosmético. De forma más específica, la presente invención proporciona un nuevo complejo, en particular un complejo de inclusión, que permite incrementar la solubilidad y biodisponibilidad de aquellos compuestos bioactivos con los que resulte asociado. De forma ventajosa, la presente invención no precisa de la incorporación de surfactantes o de otros compuestos químicos para mejorar la solubilidad o biodisponibilidad de los compuestos bioactivos.
ANTECEDENTES DE LA INVENCIÓN
Son ampliamente conocidos los beneficios que pueden ofrecer al ser humano fitoquímicos o compuestos bioactivos (CBAs) tales como polifenoles, terpenos y aceites esenciales, flavonoides, lignanos y cumestanos presentes en plantas, así como los fitoestrógenos, prebióticos o vitaminas. En particular, los polifenoles son sustancias que pueden generar un beneficio para la salud del consumidor. Por ejemplo, es de sobra conocido el efecto cardiovascular beneficioso del vino tinto o del aceite de oliva virgen, cuyo contenido en polifenoles despierta cada vez mayor interés. En el caso del aceite de oliva, su contenido en hidroxitirosol es la base de la conocida dieta mediterránea, cardiovascularmente más saludable que aquellas que usan otros aceites vegetales en la alimentación tal como mantequillas, aceite de girasol o palma. Además, la literatura técnica muestra que, in vivo o in vitro, los polifenoles tienen las siguientes características beneficiosas: reducen la inflamación mediante mecanismos de inhibición, ralentizan el desarrollo de tumores, tienen propiedades proapoptóticas y de antiangiogénesis, son moduladores del sistema inmunitario, presentan propiedades antibióticas frente a bacterias Grampositivas, aumentan la resistencia de los capilares actuando en los constituyentes de los vasos sanguíneos y protegen el sistema cardiovascular debido a sus propiedades antioxidantes.
Para garantizar que el compuesto ingerido tenga un aprovechamiento por parte del cuerpo y sea útil para el fin pretendido es esencial que éste tenga una adecuada biodisponibilidad. Lamentablemente, la administración de compuestos bioactivos (CBAs) por vía oral a menudo sufre de problemas de solubilidad y/o permeabilidad, así como también son frecuentes los problemas de estabilidad que limitan la vida útil del compuesto bioactivo.
Problemas similares pueden mencionarse en relación con la utilización de compuestos antioxidantes en la industria alimentaria, donde la baja biodisponibilidad de estos CBAs una vez que son ingeridos condiciona su utilización en alimentos. Para solventar este problema es deseable el desarrollo de nuevas técnicas de vehiculización. Entre las técnicas conocidas para mejorar la biodisponibilidad de compuestos hidrófobos se encuentra la utilización de vectores de encapsulación. Sin embargo, la encapsulación de polifenoles y otros compuestos antioxidantes en alimentación está muy limitada por los materiales empleados, ya que algunos presentan problemas de toxicidad y otros tienen limitado su uso en alimentos. En particular, los agentes de vehiculización deben ser sustancias reconocidas como seguras o GRAS.
La proclividad de los polímeros sintéticos a producir problemas de toxicidad los hace poco recomendables para su utilización como vehículos de encapsulación y la alternativa de utilizar polímeros naturales, que no poseen este inconveniente, requiere, en cambio, el desarrollo de métodos de producción de partículas más complicados. En la mayoría de los casos, el tamaño de partícula obtenido es difícil de controlar. Normalmente, la sustancia activa se incorpora en el interior de las nanopartículas o bien permanece adsorbida en su superficie. Por lo tanto, para poder liberarlos se deben utilizar polímeros o macromoléculas no reactivos.
Un conocido agente encapsulante es la ciclodextrina, que puede ser del tipo a (con un anillo de 6 glucosas) , p (anillo de 7 glucosas) y la y (8 glucosas) . La más soluble en agua es un derivado de la betaciclodextrina denominado hidroxipropilo. En las ciclodextrinas, el CBA se aloja en el interior del toroide formado por las glucosas, lo que tiene como inconveniente la dificultad para disponibilizar el CBA y de esta forma ser activo. Existen numerosos documentos de patente que describen este método, no llevado suficientemente a la escala comercial por el inconveniente mencionado.
Por lo tanto, es deseable desarrollar nuevas técnicas de encapsulación de compuestos biológicamente activos (CBA) hidrofóbicos, en particular compuestos cuya biodisponibilidad entrañe dificultades, como es el caso de los polifenoles y en general, de los compuestos antioxidantes, con el fin de protegerlos y mantenerlos estables durante su almacenamiento, permitiendo además una liberación controlada que incremente su biodisponibilidad. Otras propiedades que serían deseables en esta nueva tecnología son permitir reducir la cantidad de compuesto bioactivo a utilizar, controlar su tiempo de liberación y/o disfrazar sabores.
La estevia y más concretamente los glucósidos de esteviol son edulcorantes sustitutos de la glucosa o de la sacarosa, tienen hasta 300 veces el dulzor del azúcar y han llamado la atención de los consumidores que demandan edulcorantes bajos en carbohidratos. Debido a que la estevia tiene un efecto insignificante en la glucosa en sangre, es atractivo para las personas con dietas bajas en glucosa. Sin embargo, el uso de los glucósidos de esteviol como agente vehiculizante apenas está descrito en la literatura técnica. Se concreta en un número limitado de artículos firmados por Tozuka y cols y Nguyen et al, como son:
• H. Uchiyama, Y. Tozuka, M. Nishikawa, H. Takeuchi: "Nanocomposite formation between alpha-glucosyl stevia and surfactant improves the dissolution profile of poorly watersoluble drug", International Journal of Pharmaceutics 428 (2012) 183- 186, en el que el intento de aumentar la solubilidad del bioactivo resulta limitado a un orden de magnitud de 10 veces.
• Y. Tozuka, M. Imono, H. Uchiyama, K. Tahara, S. Tazawa, Y. Araki, H. Takeuchi: "Dr y powder formulation with a-glycosyltransferase-treated stevia for the effective absorption of hydrophobic bioactive compounds in crude drugs", Powder Technology 240 (2013) 2-6].
• K. Kadota, D. Okamoto, H. Sato, S. Onoue, S. Otsu, Y. Tozuka, Hybridization of polyvinylpyrrolidone to a binar y composite of curcumin/a-glucosyl stevia improves both oral absorption and photochemical stability of curcumine, en Food Chemistr y 213 (2016) 668 674], donde se describe un incremento de la solubilidad del bioactivo curcumina de x13000, cuando se incorpora el polímero PVP a la estevia.
• T.T.H. Nguyen, J. Si, C. Kang, B. Chung, D. Chung, D. Kim: "Facile preparation of water soluble curcuminoids extracted from turmeric (Curcuma longa L.) powder by using steviol glucosides, Food Chemistr y 214 (2017) 366-373];
Sin embargo, ninguno de estos documentos describe la formación (ni haciendo uso de ultrasonidos ni de otra metodología alternativa) de un complejo de inclusión constituido por l compuesto bioactivo a vehiculizar junto con glucósidos de esteviol. Así como tampoco se describe la incorporación de oligómeros de quitosano como agente encapsulante adicional.
DESCRIPCIÓN DE LA INVENCIÓN
Un primer aspecto de la presente invención se refiere a un complejo, en particular un complejo de inclusión, que comprende al menos un compuesto bioactivo (CBA) , glucósido de esteviol y oligómero de quitosano. Preferentemente, el peso molecular del oligómero de quitosano es de 1000 a 100000 g/moly, aún más preferentemente, entre 2000 a 6000 g/mol.
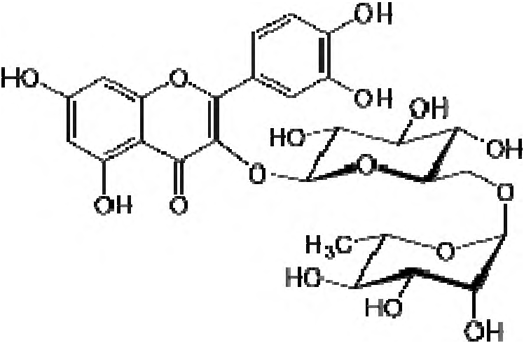
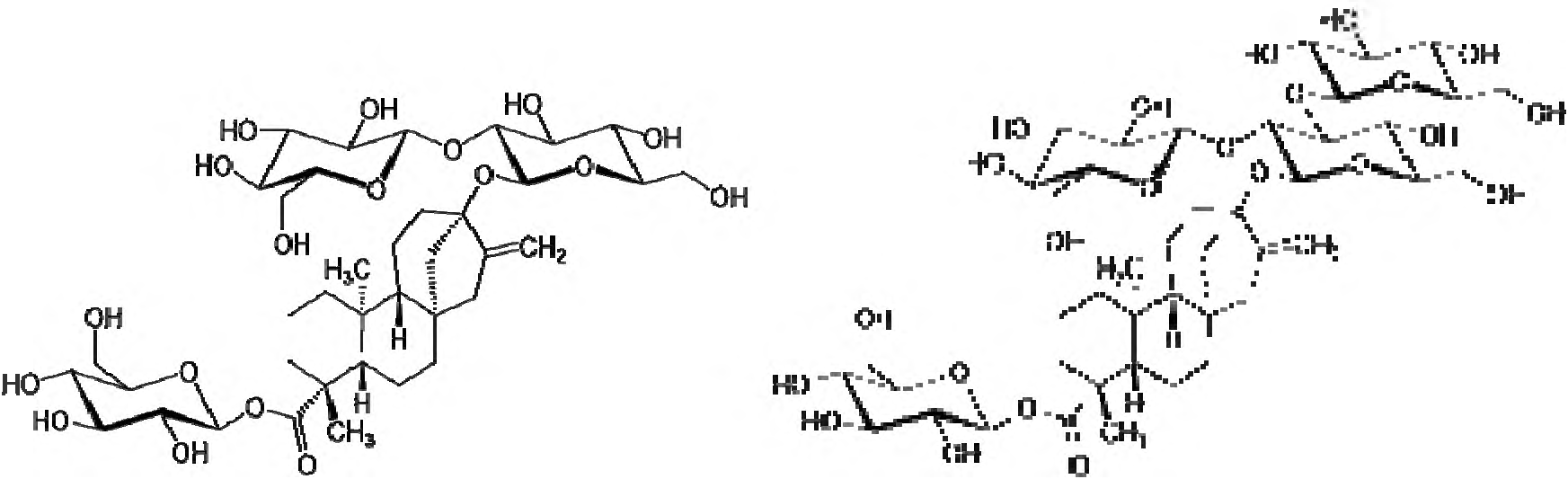
El complejo que aquí se describe puede comprender uno o varios glucósidos de esteviol diferentes. Los glucósidos de esteviol más importantes son esteviósido, rebaudiósido A, B, C, D, E y F y dulcósido. Mientras que la molécula de esteviósido es un complejo de tres moléculas de glucosa y una molécula de aglicona llamada esteviol, la molécula de rebaudiósido A contiene un total de cuatro unidades de glucosa, con la glucosa media del triplete conectado a la estructura central de esteviol.
Esteviósido Rebaudiósido A
Un aspecto importante de la presente invención (constatado por DRX, DSC y SEM) es que las interacciones entre el CBA y los glucósidos presentes en el complejo de inclusión son más débiles que las mostradas con otros complejos como los formados por ciclodextrinas, ya que el tamaño del complejo es superior. En particular, las interacciones entre los glucósidos y el CBA en el complejo de la invención, obtenidos mediante sonicación por ultrasonidos tal como se describe más adelante en este documento, tienen lugar mediante puentes de hidrógeno. El enlace de hidrógeno es una fuerza electrostática fuerte cuando muchas moléculas están unidas, ya que proporciona gran estabilidad, pero más débil que el enlace covalente o el enlace iónico. En consecuencia, los compuestos de la presente invención presentan mayor capacidad de liberación de los CBA que la que pudiera obtenerse con ciclodextrinas.
En la aparición de los enlaces mediante puentes de hidrógeno es esencial la acción de los ultrasonidos que se aplican. De lo contario, estos enlaces no aparecen o lo hacen de forma muy lenta, inviabilizando el proceso que se describe en esta patente.
El complejo de inclusión que se describe en este documento presenta ventajas frente a otros sistemas de vehiculización por permitir incrementar la solubilidad de los CBA, permitir su almacenamiento y su administración, facilitando así su aplicación en los sectores alimentario, farmacéutico y cosmético. En particular, con el complejo de inclusión de la invención, es decir, utilizando glucósido de esteviol y oligómeros de quitosano como agentes de encapsulación, se ha conseguido incrementar la solubilidad del ácido gálico en una magnitud x 65000. Otra importante ventaja de este complejo radica en el uso exclusivo de polímeros naturales y en la no utilización de surfactantes. Adicionalmente del complejo de la invención presenta una elevada estabilidad en solución, lo que permite mantener la solubilidad durante un periodo de tiempo superior a 72 horas.
Generalmente, el complejo de inclusión que aquí que describe comprende glucósidos de esteviol, por ejemplo procedentes de la estevia, con pesos moleculares comprendidos entre 800 a 1000 g/mol, junto con oligómeros de quitosano con pesos moleculares comprendidos entre 1000 a 100000 g/mol, más preferentemente entre 2000 a 6000 g/mol.
El compuesto biológicamente activo, también denominado compuesto bioactivo o CBA en este documento, puede ser cualquier compuesto orgánico con alguna actividad beneficiosa para el ser humano, en particular cualquier compuesto orgánico con baja solubilidad en gua. Entre estos compuestos se pueden encontrar polifenoles, terpenos, aceites terpénicos, ácidos fenilpropanóico, fitoestrogenos, vitaminas, carotenoides, xantofilas, ácidos grasos, aceites, lignanos, cumestatos, prebióticos o una combinación cualquiera de los anteriores. Preferentemente, el CBA es un polifenol o mezcla de polifenoles.
De forma más específica, el polifenol puede ser un flavonoide tal como catequina, epicatequina, isoramnetina, kaempferol, miricetina o quercetina; una antocianina tal como cianidina, delfinidina, malvidina, peonidina, petunidina; resveratrol; hidroxitirosol; curcumina; silimarina o silibina. Además, el ácido fenilpropánoico puede ser ácido ferúlico o cafeico; las vitaminas pueden ser vitamina A o sus derivados tal como ácido retinoico, retinal o retinol; vitamina E o sus derivados tal como tocoferol o tocotrienol; vitamina D o sus derivados tal como vitamina D1, vitamina D2 (ergocalciferol) , vitamina D3 (colecalciferol) , vitamina D4 (22-dihidroergocalciferol) o vitamina D5 (sitocalciferol) ; vitamina K (fitomenadiona) o sus derivados tal como vitamina Kl (filoquinona) , vitamina K2 (menaquinona) o menadinona. Adicionalmente, el CBA puede ser un carotenoide tal como alfa-caroteno, beta-caroteno, criptoxantina o licopeno; una xantófila tal como astaxantina, cantaxantina, capsantina, criptoxantina, flavoxantina, luteína, rodoxantina, rubixantina, violaxantina o zeaxantina; un ácido graso tal como, por ejemplo, un ácido graso omega-3 como ácido a-linolénico (ALA) ) ácido eicosopentanoico (EPA) o ácido docosahexanoico (DHA) ; un ácido graso omega-6 tal como ácido y-linoleico; un aceite en cuya composición aparezcan uno o más CBA, por ejemplo aceite de Neem. Adicionalmente, el complejo de inclusión que aquí se describe puede comprender más de un CBA de los mencionados en este párrafo.
En realizaciones preferidas, el complejo que se describe en este documento comprende glucósido de esteviol en combinación con al menos un glucósido de flavonoide. Preferentemente, rutina, hesperidina o una combinación de los anteriores. Más preferentemente, el glucósido de flavonoide es rutina.
La presencia del fragmento flavonoide en los glucósidos de flavonoide les confiere las propiedades de los polifenoles. En consecuencia, la incorporación de estos compuestos como agente de encapsulación en el complejo de la presente invención proporciona propiedades beneficiosas adicionales.
En particular, la rutina (peso molecular 610 g/mol) es un glucósido flavonoide encontrado en algunas frutas, en especial los cítricos, y su nombre proviene de Ruta graveolens, una planta ue la contiene. A veces se la refiere como vitamina P, pero no es estrictamente una vitamina. La rutina es el glucósido formado entre el flavonol quercetina y el disacárido rutinosa. Se forma creando un enlace entre el disacárido y el grupo hidroxilo de la quercetina.
Rutina
La rutina es un antioxidante y un potente inhibidor VEGF (inhibidor de la angiogénesis) , y también cumple un rol inhibiendo algunos cánceres. De sus efectos beneficiosos sobre la salud se pueden destacar las siguientes características:
• Inhibe la agregación plaquetaria y la permeabilidad vascular, haciendo la sangre menos espesa y mejorando la circulación.
• Es un antiinflamatorio.
• Inhibe la actividad de la aldosa reductasa, una enzima que ayuda a transformar la glucosa en sorbitol.
• Fortalece los capilares y puede reducir los síntomas de hemofilia. Ayuda a prevenir el edema de las piernas. La rutina, como el ácido ferúlico, reduce la citotoxicidad del colesterol LDL oxidado y reduce el riesgo de enfermedades cardíacas.
• Tiene aplicación en el tratamiento de hemorroides, várices, y microangiopatías.
• Produce efectos analgésicos y antiinflamatorios que involucran la participación de receptores a opioides y la modulación de áreas cerebrales de la vía descendente del dolor, tal como la sustancia gris periacueductal ventrolateral.
A pesar de que la rutina tiene una solubilidad en agua inferior a la de los glucósidos de esteviol, su incorporación en el complejo que aquí se describe permite aumentar considerablemente su solubilidad en agua y, en consecuencia, su biodisponibilidad.
El complejo que se describe en este documento puede comprender entre 100% y 50% de glucósido de esteviol y, adicionalmente, entre 0% y 50 % de antioxidante en forma de lucósido de flavonoide, preferentemente rutina y/o hesperidina, donde las cantidades indicadas se expresan en peso respecto al peso total de glucósidos en el complejo.
En realizaciones preferidas, el complejo que se describe en este documento comprende: un 70-80% de glucósido de esteviol y preferentemente entre un 20-30% de antioxidante en forma de glucósido de flavonoide, en particular rutina y/o hesperidina, donde estas cantidades se expresan en peso respecto al peso total de glucósidos en el complejo.
En otras realizaciones preferidas de la invención, la relación en peso entre los diferentes componentes del complejo es de 1:5:1 a 1:10:1 entre el CBA:GL:OQ, siendo la relación óptima de 1 compuesto bioactivo (CBA) : 5 glucósido (GL) : 1 de oligómeros de quitosano (OQ) , donde la cantidad de glucósido corresponde a la totalidad de glucósidos presentes en el complejo, es decir, la suma de los glucósidos de esteviol y, si aplica, los glucósidos de flavonoide que forman la primera esfera de encapsulación del complejo.
Adicionalmente, el complejo de la presente invención puede comprender nanopartículas metálicas, preferentemente con un tamaño entre 5 y 60 nm. Estas nanopartículas se pueden seleccionar del grupo que consisten en nanopartículas de Cu2O o ZnO; nanopartículas de Ag como antibacteriano, nanopartículas de Au o Pt como antitumoral; oligoelementos esenciales tal como Cu, Zn, Ca, Mg, Mn, Fe y Co.
En aquellas realizaciones en las que el complejo de inclusión comprende nanopartículas metálicas, se prefiere que también comprenda un glucósido de flavonoide, en particular rutina, ya que estos compuestos pueden actuar como antioxidante y, por lo tanto, se incrementa la estabilidad del complejo frente a la temperatura y la oxidación, lo que favorece su almacenamiento y biodisponibilidad.
Un segundo aspecto de la presente invención hace referencia a un método para obtener los complejos descritos anteriormente, donde el método comprende las siguientes etapas:
a) mezclar mediante sonicación, preferentemente de 10 a 20 kHZ, siendo el valor óptimo de 20 kHz, un compuesto bioactivo (CBA) a encapsular con al menos un glucósido de esteviol;
b) aislar el complejo formado en la etapa a) en estado sólido, preferentemente mediante liofilización; y
c) re-encapsular el complejo formado por CBA y glucósido con oligómeros de quitosano, preferentemente mediante técnicas como la inyección por gelación iónica o precipitación.
En aquellas realizaciones en las que el complejo de inclusión comprende al menos un glucósido de flavonoide, la etapa a) del método de obtención que se describe en este documento comprende mezclar mediante sonicación un compuesto bioactivo (CBA) a encapsular con al menos un glucósido de esteviol y al menos un glucósido de flavonoide.
En realizaciones particulares de la presente invención, la etapa a) de formación del complejo CBA: glucósido por sonicación tiene lugar a una temperatura entre 15 y 50°C, más preferiblemente entre 20 y 40°C. Para controlar que la temperatura de la solución no supere los 50°C, la aplicación de ultrasonidos puede realizarse de forma intermitente, por ejemplo, en periodos de aplicación de 2 minutos cada uno.
El complejo CBA/glucósido en estado sólido puede aislarse por liofilización de la solución, preferentemente hidroalcóholica siendo el alcohol metanol o etanol, en una relación 1:1 (v/v) , donde tiene lugar la sonicación. Este aislamiento puede realizarse directamente, sin necesidad de ajustar el pH.
En realizaciones preferidas de la presente invención, el método para obtener el complejo comprende una etapa b1) , donde el tamaño de partícula del complejo aislado en la etapa b) se reduce hasta entre 20 nm y 200 nm, preferentemente mediante un proceso de trituración o molienda. De forma adicional o alternativa, el método puede comprender una etapa c1) , donde el tamaño de particular del complejo de inclusión CBA: GL: OQ obtenido en la etapa c) se reduce a un tamaño de partícula entre 200 nm y 400 nm, preferentemente mediante un proceso de trituración o molienda.
Mediante un proceso de sonicación, es decir, la aplicación directa de ultrasonidos sobre la solución que comprende la mezcla de CBA y glucósidos, preferentemente en medio hidroalcohólico, la posterior liofilización del complejo formado y, adicionalmente, trituración o molienda del complejo aislado se pueden obtener nanopartículas de 20 a 200 nanómetros, con interacciones débiles por formación de enlaces de hidrógeno entre los glucósidos y, por lo tanto, con mayor capacidad de liberación de los compuestos biológicamente activos. El tamaño de las nanopartículas puede controlarse por microscopía electrónica de transmisión (TEM) y/o microscopía electrónica de barrido (SEM) y la fuerza de los enlaces o interacción ntre los grupos funcionales se puede hacer por espectroscopia infrarroja con transformada de Fourier (FTIR-ATR) . La caracterización de la cristalinidad del complejo obtenido se puede seguir por calorimetría de barrido diferencial (DSC) o bien difracción de rayos X (DRX) . Los estudios de solubilidad y caracterización de los CBA pueden seguirse con un espectrofotómetro de UV-VIS y/o un cromatógrafo-masas (HPLC- Masas) .
La solubilidad de los CBA en el complejo de la invención se incrementa con la concentración de glucósidos. Así, en la presente invención se prefiere que la relación CBA: glucósidos se encuentra entre 1:5 y 1:10 (peso: peso) , siendo aún más preferible que esta relación CBA: glucósidos sea 1:5 (peso: peso) , ya que es con la que se consigue una solubilidad adecuada a un menor coste.
A modo de explicación teórica, pero sin carácter vinculante, en la figura 1 se representa un complejo formado por un compuesto bioactivo (ácido gálico) y un glucósido de esteviol (esteviósido) en una relación 1:5, que se caracteriza por la presencia de débiles interacciones mediante puentes de hidrógeno entre las moléculas que favorece la solubilización y posterior vehiculización del CBA. Aunque no se muestra en la figura 1, el complejo de inclusión de la presente invención comprende sucesivas esferas de la coordinación o el auto-ensamble con oligómeros de quitosano. Este tipo de interacciones contrastan con las fuertes interacciones que aparecen entre las ciclodextrinas y los CBA (ibuprofeno) que dificultan su vehiculización (S. Pereva, T. Sarafska, S. Bogdanova, T. Spassov, Efficiency of "Cyclodextrín-Ibuprofen" inclusión complex formation, Journal of Drug Deliver y Science and Technology (2016) ) (Figura 2) .
El procedimiento se puede extender incrementando el tamaño de las nanopartículas entre 200 nm y 400 nm (CBA-ES/RU-OQ) , por ejemplo, por métodos ya conocidos y que incorporan polielectrolitos complejos de quitosano (QUI) .
En realizaciones preferidas de la presente invención, el método para obtener el complejo de inclusión que aquí se describe comprende mezclar mediante sonicación, preferentemente entre 10 kHZ y 20 kHZ, el complejo CBA: GL con oligómeros de quitosano en una solución hidroalcólica. Seguidamente, por liofilización de las soluciones hidroalcohólicas (directamente y sin ajustar el pH) , se puede aislar el complejo CBA-GL-OQ que posteriormente es sometido a molienda, de forma que el complejo resultante presenta un tamaño de las nanopartículas inferior a 400 nm.
El método de obtención del complejo de inclusión que se describe en este documento puede comprender una etapa de incorporación de nanopartículas metálicas, preferentemente con un tamaño entre 5 y 60 nm. Estas nanopartículas pueden ser nanopartículas de Cu2O o ZnO; nanopartículas de Ag como antibacteriano, nanopartículas de Au o Pt como antitumoral; oligoelementos esenciales tal como Cu, Zn, Ca, Mg, Mn, Fe y Co. En realizaciones particulares de la invención, la incorporación de las nanopartículas metálicas puede realizarse junto con la incorporación de oligómero de quitosano, o en una etapa posterior.
Preferentemente, tanto en el complejo CBA-GL aislado en la etapa b) , como en el complejo CBA-GL-OQ obtenido en la etapa c) del método que aquí se describe, la relación entre el peso de las nanopartículas metálicas (NPs) y el complejo CBA-GL es 1 vs 1:5 y la relación entre el peso de las nanopartículas metálicas (NPs) y el complejo CBA-GL-OQ es 1 vs 1:5:1.
Tal como se ha mencionado anteriormente, en aquellas realizaciones en las que el complejo comprende nanopartículas metálicas se prefiere incorporar una determinada cantidad de glucósido de flavonoide, preferentemente rutina, ya que este compuesto actúa como antioxidante y, por tanto, aumenta la estabilidad de las nanopartículas frente a la temperatura y la oxidación, lo que favorece su almacenamiento y biodisponibilidad.
En relación a la obtención de nanopartículas por trituración o molienda, los espectros FTIR de los complejos obtenidos muestran las ventajas de utilizar el molino de bolas o la molienda para controlar el tamaño de las partículas, mejorar la solubilidad y estabilidad del CBA e incluso la amortización del producto, aspecto este último que también se puede observar por DRX, DSC y/o SEM. Además, el método es fácil, económico, respetuoso con el medio ambiente y se puede aplicar a escala industrial.
Generalmente, el complejo CBA-GL formado por el compuesto bioactivo y los glucósidos que se aísla en la etapa b) del método de la invención ya presenta una mayor solubilidad al agua que el compuesto bioactivo sin encapsular. Sin embargo, la incorporación de otra esfera de encapsulación formada por oligómero de quitosano mejora significativamente su solubilidad en agua, a la vez que mejora el control de liberación del CBA y, en consecuencia, su biodisponibilidad y absorción intestinal.
En realizaciones particulares de la presente invención, la etapa c) de re-encapsulación con oligómero de quitosano se lleva a cabo mediante la tecnología de inyección por gelación iónica o precipitación. En el caso de re-encapsulación por precipitación, la etapa c) puede comprender la utilización de polielectrólitos de oligómeros de quitosano y un agente de entrecruzamiento tal como, por ejemplo, tripolifosfato de sodio, en particular 0, 5 % peso/volumen para ajustar el pH tal como se describe, por ejemplo, en Seyed Fakhreddin Hosseini, Mojgan Zandi, Masoud Rezaei, Farhid Farahmandghavi, Two-step method for encapsulation of orégano essential oil in chitosan nanoparticles: Preparation, characterization and in vitro reléase study, en Carbohydrate Polymers 95 (2013) 50-56. Las nanopartículas del complejo de inclusión (CBA-GL-OQ) obtenidas según este procedimiento presentan preferiblemente un tamaño entre 200 nm y 400 nm.
BREVE DESCRIPCIÓN DE LAS FIGURAS
Figura 1: Modelo teórico no vinculante de la formación de un complejo de inclusión o clatrato entre esteviósido y ácido gálico, con estequiometria 5:1 (CBA: GL) .
Figura 2: Formación de complejos toroide de p-ciclodextrina con ibuprofeno.
Figura 3. FTIR de los complejos liofilizados que comprenden esteviósido y gálico (línea de puntos delgados) ; esteviósido y ácido cafeico (línea de puntos gruesos) ; y esteviósido y trans-cinámico (línea continua) .
Figura 4. FTIR del complejo de inclusión que comprende esteviósido y cinámico liofilizado (línea de puntos gruesos) , liofilizado y triturado (línea de puntos delgados) , así como el FTIR del esteviósido (línea continua) .
Figura 5: FTIR de extractos de hojas de estevia (línea continua) frente al complejo de esteviósido y gálico (línea de puntos gruesos) ; extractos de hojas de estevia + fruto de goji (línea de puntos delgados) ; extractos de hoja de estevia + semillas de cardo (línea a base de trazos cortos y puntos) .
Figura 6: Imagen de espectroscopía electrónica de barrido (SEM) que muestra las microfibras de estevia que recubren por completo al ácido gálico con el que forman un ompuesto de inclusión por medio de la formación de enlaces de hidrógeno. Resolución 5 um.
Figura 7: Imagen de espectroscopía electrónica de barrido (SEM) que muestra las microfibras de estevia que recubren por completo al ácido gálico con el que forman un compuesto de inclusión por medio de la formación de enlaces de hidrógeno. Resolución10 um
Figura 8: Registro de Fluorescencia de Rayos X, donde se observan claramente los picos correspondientes a las nanopartículas de Ag, dentro del complejo de estevia-ácido gálicoquitosano-NPAg.
Figura 9: Microfibras de estevia mediante espectroscopía electrónica de barrido (SEM) . Resolución 40 um.
Figuras 10a y 10b: Estudio de las nanopartículas de platino, PtNPs, producidas en un medio de esteviósido-ácido gálico-quitosano.
Figuras 11a, 11b, 11c y 11d: Estudio de las nanopartículas de plata, AgNPs, producidas en un medio de esteviósido-extractos de semillas de cardo mariano-quitosano.
Figuras 12a, 12b, 12c, 12d, 12e y 12f: Estudio de las nanopartículas de oro, AuNPs, producidas en un medio de esteviósido-ácido gálico.
EJEMPLOS
A. PROCEDIMIENTO DE OBTENCIÓN
Ejemplo 1.- Preparación de los liofilizados o extractos de esteviósido (ES)
La preparación del extracto de hojas de de Stevia rebadiauna Bertoni, de bayas de goji y o de semillas de cardo mariano se lleva a cabo dispersando 10 g de material objeto de extracción y finamente molido (tamaño inferior a 400 micras) en 1 litro de metanol y sometiendo la mezcla a sonicación durante 60 min, para lo que se inserta el cabezal del sonicador en la solución. Durante esta etapa de sonicación se controla que la temperatura e la solución sea superior a 50°C. Seguidamente se filtra la muestra, se centrifuga y posteriormente se liofiliza y se almacena a una temperatura entre 4 y 6°C.
Ejemplo 2.- Preparación del complejo (CBA-ES/RU-OQ) que comprende CBAs hidrofóbicos con una mezcla de glucósido de esteviol y rutina (ES/RU) y oligómeros de quitosano (OQ)
Apartado 1: Se parte de 25 mg de una mezcla de ácido gálico, cafeico y trans-cinámico (CBAs) , y se dispersan en 15 mL de etanol absoluto. Por otro lado, se dispersan 100 mg de esteviósido y 50 mg de rutina en 15 mL de agua destilada y desionizada. Ambas soluciones se mezclan, dando como resultado una mezcla hidroalcohólica comprendiendo los compuestos bioactivos (CBAs) y los glucósidos (ES/RU) en una relación 1:5 (CBA-ES/RU) . Esta mezcla se emulsiona introduciendo directamente el cabezal del sonicador del equipo de ultrasonidos (frecuencia de 20 kHz) en la solución. La sonicación se lleva a cabo de forma intermitente, en periodos de 2 min cada uno, y durante un tiempo total de aproximadamente 20 min, controlando que la solución se caliente por encima de 50°C. Al final de la etapa de sonicación se ha eliminado el etanol, reduciendo así el volumen de la solución 15 mL. La solución resultante, protegida de la luz, se filtra y/o centrifuga inmediatamente para retirar precipitados o impurezas y se guarda en frío 4-6°C una noche. Posteriormente, se liofiliza obteniéndose el complejo CBA-ES/RU. No se recomienda alterar el pH de la solución resultante para que no se formen precipitados no deseables.
Apartado 2: Para la obtención de nanopartículas de CBA-ES/RU se toman 100 mg del material liofilizado obtenido según se describe en el apartado 1 y se trituran durante 5 min en un mortero de ágata o molino de bolas.
Apartado 3: Se disuelven 100 mg del complejo CBA-ES/RU obtenido según se describe en el apartado 2 en 50 mL de agua. Sobre esta solución se adiciona, gota a gota con una jeringa, una solución de un polielectrolito de oligómeros de quitosano de bajo peso molecular 2000-100000 (100 mg) , disperso en una solución de 50 mL de tripolifosfato 0, 4% (p/v) . Mediante la tecnología de inyección por gelación iónica o precipitación se obtiene el complejo de inclusión CBA-ES/RU-OQ. Posteriormente, se centrifuga este complejo y se lava varias veces con agua destilada y desionizada, dando como resultado nanopartículas de CBA-ES/RU-OQ con un diámetro promedio entre 200 a 400 nm.
Ejemplo 3: Preparación de nanopartículas metálicas (NPs) y su incorporación al complejo (CBA-ES/RU-OQ-NPs)
Se prepara una disolución que contiene 20 mg de una sal metálica de AgNO3, H2AuCl4, H2PtCl4, CuCl2, ZnCl2, o MgCl2 y se dispersa en 100 mg del complejo CBA-ES/RU obtenido según se describe en el Ejemplo 2, apartado 2 en 200 mL de agua. Sobre esta solución se adiciona, gota a gota con una jeringa, una solución de un polielectrolito de oligómeros de quitosano de bajo peso molecular 2000-6000 g/mol (20 mg) en 50 mL de agua. Esta mezcla se emulsiona introduciendo directamente el cabezal del sonicador del equipo de ultrasonidos (frecuencia de 20 kHz) en la solución. La sonicación se lleva a cabo de forma intermitente, en periodos de 2 min cada uno, y durante un tiempo total de aproximadamente 10 min, controlando que la solución no se caliente por encima de 50°C. La solución resultante, protegida de la luz, se filtra y/o centrifuga inmediatamente para retirar precipitados o impurezas y se guarda en frío 4-6°C una noche. La solución resultante aparece completamente estabilizada y las nanopartículas bioreducidas. Posteriormente, se liofiliza obteniéndose el complejo CBA-ES/RU-OQ-NPs, en una relación 1:5:1:1. No se recomienda alterar el pH de la solución resultante para que no se formen precipitados no deseables. La calidad del material liofilizado y molido puede llevarse a cabo por espectrometría infrarroja por transformada de Fourier (FTIR) y la calidad de la nanopartículas por microscopía SEM-TEM. El tamaño de las nanopartículas NPs, observado con un TEM, se encuentra comprendido entre 5 nm y 60 nm.
B. CARACTERIZACIÓN DE LOS COMPLEJOS DE LA INVENCIÓN
A continuación se incluye la caracterización de varios complejos estudiados por distintos tipos de espectroscopía y microscopía. En particular, se han caracterizado los siguientes complejos de inclusión:
i. esteviósido y ácido gálico
ii. extractos de hojas de estevia y extractos de bayas de goji
iii. extractos de hojas de estevia y semillas de cardo
iv. esteviósido y ácido cinámico
v. esteviósido y ácido cafeico
vi. esteviósido, ácido gálico y oligómeros de quitosano con fosfatos
vii. extractos de hojas de estevia y semillas de cardo y oligómeros de quitosano con fosfatos
viii. extractos de hojas de estevia y semillas de goji y oligómeros de quitosano con fosfatos.
1.- Caracterización mediante espectroscopia infrarroja con transformada de Fourier y Reflectancia Total Atenuada (ATR) de los complejos
En la figura 3 se comparan los espectros FTIR de los complejos formados entre esteviósido y ácido gálico; esteviósido y ácido trans-cinámico; y esteviósido y ácido cafeico.
Las mayores diferencias se presentan para el ácido gálico, ya que se trata de un ácido orgánico, también conocido como ácido 3, 4, 5-trihidroxibenzoico, o polifenol. Por otra parte, los espectros de los complejos de inclusión de los ácidos cafeico y cinámico son muy semejantes, ya que se trata de dos polifenoles y el ácido cafeico es un compuesto orgánico clasificado como hidroxicinámico.
Adicionalmente, en la figura 4 se muestran los espectros FTIR de esteviósido y del complejo formado por esteviósido y ácido cinámico tanto liofilizado como liofilizado y triturado. En esta figura puede observarse que existen algunas ventajas del material sometido a molienda, ya que es algo más amorfo que el material solo liofilizado. Por otra parte se observan mayores cambios en las bandas de absorción de los complejos de inclusión frente al esteviósido solo.
En la figura 5 se comparan los espectros FTIR correspondientes a los extractos de hojas de estevia frente a complejos de esteviósido y gálico, y frente a los extractos de hojas de estevia con fruto goji y/o semillas cardo. Tal como puede observarse en esta figura, los extractos de estevia presentan desplazamientos de sus bandas excepto en la zona de 1000 a 1080 cm"1, frente a los complejos de esteviósido y gálico; estevia y goji; estevia y cardo que muestran un espectro similar, por lo que se deduce que tanto el fruto de goji como las semillas de cardo contienen el polifenol ácido gálico. El extracto seco de las hojas de estevia contiene flavonoides, alcaloides, clorofilas, xantofilas, ácidos hidroxicinámicos (cafeico, clorogénico, etc.) , oligosacáridos, azúcares libres, aminoácidos, lípidos y oligoelementos (N.F Komissarenko, A.I. Derkach, I.P Kovalyov, N.P. Bublik, Rast. Research 1 (1994) 53.)
2.- Caracterización mediante Microscopía Electrónica de Barrido (SEM) de los nuevos composites
En las figuras 6 a 9 se muestran mediante espectroscopia electrónica de barrido (SEM) , la formación de los complejos de inclusión. Se visualiza en la Figura 6 y 7 las microfibras de estevia que recubren por completo al ácido gálico por la formación de puentes de hidrógeno. En la figura 8, de Fluorescencia de Rayos X, se observan claramente las nanopartículas de Ag, dentro del complejo de estevia-ácido gálico-quitosano. En la Figura 9, aparecen perfectamente reflejadas las microfibras de los complejos de inclusión.
3.- Caracterización mediante Microscopía Electrónica de Transmisión (TEM) del tamaño de las nanopartículas
3.1. Estudio de las nanopartículas de platino, PtNPs, producidas en un medio de esteviósido-ácido gálico-quitosano (Figuras 10a y 10b) .
El tamaño de las nanopartículas de platino está comprendido entre 10 nm y 16 nm, son cuasi esféricas y a veces se encuentran agregadas de dos en dos.
3.2. Estudio de las nanopartículas de plata, nAgNPs producidas en un medio de esteviósidoextractos de semillas de cardo mariano-quitosano (Figuras 11a, 11b, 11c, 11d)
El tamaño de las nanopartículas de plata está comprendido entre 10 nm y 30 nm. Algunas de las partículas se encuentran aisladas o embebidas en la matriz en forma de racimos. Las nanopartículas son cristalinas y se observan en algunos casos los planos de maclas. La mayor parte de las partículas son esféricas.
3.3.- Estudio de las nanopartículas de oro, AuNPs, producidas en un medio de esteviósidoácido gálico (Figuras 12a, 12b, 12c, 12d, 12e, 12f)
El tamaño de las nanopartículas de oro está comprendido entre 4 nm y 25 nm. La mayor parte de las partículas presentan un tamaño entre 7-9 nm y 20 nm. Exhiben muchas geometrías: prisma de base triangular (en capas) e icosaedros pentagonales y hexagonales.