Membranas bioartificiales de rigidez y viscoelasticidad controlada para su utilización en ingeniería tisular 5
** (Ver fórmula) **
La presente invención se enmarca en el campo de la biomedicina e ingeniería tisular. Específicamente, se refiere a un biomaterial y un método in vitro de preparación de un tejido o membrana bioartificial de rigidez y elasticidad controlada y al tejido o la membrana artificial obtenible por dicho método. También se refiere a sus usos en 10 medicina. Estos tejidos y membranas presentan las propiedades biológicas y químicas para su utilización en ingeniería tisular (IT).
ESTADO DE LA TÉCNICA ANTERIOR
La IT es un área emergente en la investigación biomédica, que a través de la 15 utilización de células, factores de crecimiento y biomateriales permite la generación de tejidos artificiales para restaurar, sustituir o incrementar las actividades funcionales de los propios tejidos orgánicos. En este sentido, los biomateriales juegan un rol fundamental, ya que otorgan las propiedades físico-químicas y estructurales a los tejidos generados por IT. Además, algunos biomateriales pueden promover algunas 20 funciones celulares como por ejemplo la proliferación, migración y diferenciación. En general los biomateriales utilizados en IT pueden ser de origen sintético, natural y/o una combinación de estos componentes (Williams DF. Definitions in biomaterials: proceedings of a consensus conference of the European Society for Biomaterials, Chester, England, March 3-5. Elsevier. 1987) , siendo los biomateriales naturales más 25 eficientes y biocompatibles que los sintéticos.
Actualmente, para que un biomaterial pueda ser utilizado en IT, estos deben cumplir una serie de requisitos, siento fundamental su biocompatibilidad, no ser tóxicos, química y mecánicamente estables, porosos, y en algunos casos biodegradables o 30 reabsorbibles, y por último que permitan adaptar sus propiedades estructurales y físicas de acuerdo a necesidades específicas (Cardona et al., 2011. Cornea. 30: 1428-1435).
Uno de los polímeros naturales más utilizados en IT, es la fibrina, la cual es una proteína biodegradable que participa en el proceso natural de reparación tisular 35 después de una lesión. Con este biomaterial se han generado sustitutos de piel humana, mucosa oral y nervios periféricos (Meana et al., 1998. Burns 24: 621-630; San Martín et al., 2013. J Tissue Eng Regen Med. 2013;7: 10-19; Kalbermatten et al., 2009. J Reconstr Microsurg. 25 (1) :27-33). Además, la fibrina sirvió de base estructural para la generación de hidrogeles de fibrina-agarosa (FA) , con la cual se han 40 desarrollado modelos de córnea, piel, mucosa oral, nervio periférico, vejiga y cartílago (Alaminos et al., 2006 Invest Ophthalmol Vis Sci. 47: 3311-3317; Carriel et al., 2012. Epithelial and stromal developmental patterns in a novel substitute of the human skin generated with fibrin-agarose biomaterials. Cells Tissues Organs, 196, 1-12; Rodríguez IA et al., 2012 J Tissue Eng Regen Med. 6: 636-644; Carriel et al., 2013 2013. 45 Combination of fibrin-agarose hydrogels and adipose-derived mesenchymal stem cells for peripheral nerve regeneration. J Neural Eng, 10, 026022). Si bien, la fibrina y la FA
han mostrado resultados muy positivos en diversos modelos tisulares, es preciso incrementar sus propiedades físicas para poder ampliar su uso en IT, especialmente en aquellos casos en que es necesaria la utilización de biomateriales más resistentes (tejido óseo, reparación de pared abdominal, generación de conductos biodegradables, tendones etc.). 5
En la actualidad se han desarrollado diversas técnicas (físicas y químicas) para mejorar las propiedades biomecánicas de los biomateriales, como son las técnicas de nanostructuración y cross-linking. La técnica de nanoestructuración, desarrollada por los inventores de la presente invención, demostró que es posible regular las características estructurales, incrementar las propiedades biomecánicas y conservar 10 las propiedades biológicas de la FA a través de un proceso de compresión y deshidratación controlada (Ionescu et al., 2011. J Mech Behav Biomed Mater 4: 1963-197; Scionti et al., 2014. J Biomed Mater Res. 102: 2573-25823). Por el contrario, las técnicas químicas de cross-linking promueven la formación de interacciones moleculares que conllevan a un incremento de las propiedades biomecánicas y 15 cambios estructurales de los biomateriales. En este sentido, los agentes químicos más utilizados son los aldehídos (glutaraldehído, paraformaldehído, formaldehido) , los cuales promueven uniones covalentes (puentes de metileno) entre diversas proteínas (Barnes et al., 2007. Tissue Eng. 13: 1593-1605; Cheng et al., 2013. Tissue Eng Part A. 19: 484-496). Sin embargo, los aldehídos son altamente tóxicos, lo cual limita su 20 utilización en ingeniería tisular (Sung et al., 1999.. J Biomater Sci Polym Ed. 10: 63-78; Mi et al., 2001. J Biomater Sci Polym Ed. 12: 835-850; Mi et al., 2002. Biomaterials 3: 181-191). Recientemente, se han descrito diversos agentes químicos o cross-linkers como el Genipin, el cual es extraído del fruto de Gardenia jasminoide (Yoo et al., 2011. Korean J Thorac cardiovasc. 44: 197-207) , se ha utilizado en la medicina tradicional 25 china y como colorante azul por las industrias alimentarias.
BREVE DESCRIPCIÓN DE LA INVENCIÓN
Un primer aspecto de la invención se refiere a un biomaterial, de ahora en adelante biomaterial de la invención, que comprende: 30
a) Fibrinógeno (o fibrina) ;
b) un agente antifibrinolítico;
c) un elemento que se seleciona de entre: un factor de coagulacion, una fuente de calcio, trombina, o cualquiera de sus combinaciones;
d) un polisacárido; y 35
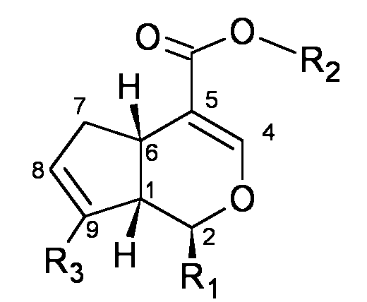
e) un compuesto de fórmula (I)
OR1HHOOR2R354126798
Fórmula (I)
o cualquiera de sus esteres, tautómeros y sales farmacéuticamente aceptables, donde: 40
- R1 es -H, =O ó -OR4, en donde R4 es -H, alquilo C1-6, alquilo C1-3, o alcanoilo C1-12 que puede estar sustituido con fenilo, fenoxi, piridilo o tienilo;
- R2 es H, alquilo C1-6, alquilo C1-3, metilo, etilo, propilo, isopropilo, butilo, w-butilo, i-butilo, isobutilo, o sec-butilo;
- R3 es un alcohol primario seleccionado entre -CH2-OH y -R5-CH2-OH, 5 donde -R5- es alquilo C1-6, alquilo C1-3, metilo, etilo, propilo, isopropilo, butilo, n-butilo, t-butilo, isobutilo, sec-butilo.
Un segundo aspecto de la invención se refiere a un tejido artificial, de ahora en adelante tejido artificial de la invención, que comprende el biomaterial de la invención, y además comprende células de un mamífero. 10
Un tercer aspecto se refiere al uso del biomaterial o del tejido de la invención en la elaboración de un medicamento, o alternativamente, al biomaterial o el tejido de la invención para su uso en medicina.
Un cuarto aspecto de la invención se refiere al uso del biomaterial o del tejido de la invención en la elaboración de un medicamento para incrementar, restaurar o sustituir 15 parcial o totalmente la actividad funcional de un tejido o un órgano enfermo o dañado, o alternativamente, al biomaterial o del tejido de la invención para incrementar, restaurar o sustituir parcial o totalmente la actividad funcional de un tejido o un órgano enfermo o dañado.
Un sexto aspecto de la invención se refiere a a una composición farmacéutica que 20 comprende el tejido artificial de la invención.
Un séptimo aspecto de la invención se refiere a un método para elaborar el tejido artificial de la invención que comprende:
a) anadir un agente antifibrinolitico a una composicion que comprende fibrinógeno (o fibrina) ; 25
b) anadir, al menos, un factor de coagulacion, una fuente de calcio, trombina, o cualquier combinación de los anteriores al producto resultante del paso (a) ;
c) anadir una composicion que comprende un polisacárido, al producto resultante del paso (b) , y dejar gelificar;
d) someter el producto resultante del paso (c) a un proceso de 30 nanoestructuración controlada;
e) inducir el cross-linking con un compuesto de fórmula (I) según se ha descrito en el primer aspecto de la invención, del resultante del paso (b) y/o (d) ;
f) sembrar los productos del paso (c) y/o (e) con células de un mamífero.
35
DESCRIPCIÓN DE LAS FIGURAS
Fig. 1. Típica dependencia del esfuerzo de corte en función de la deformación de corte para los hidrogeles preparados. 40
Fig. 2. Típica dependencia de los módulos viscoelásticos con la amplitud de deformación para medidas en régimen dinámico (oscilaciones sinusoidales de frecuencia igual a 1 Hz).
Fig. 3. Típica dependencia de los módulos viscoelásticos con la frecuencia de deformación para medidas en régimen dinámico (oscilaciones sinusoidales de 5 frecuencia amplitud perteneciente a la zona viscoelástica lineal).
Fig. 4. Valor del módulo de rigidez de los hidrogeles preparados (no nanoestructurados -FAH- y nanoestructurados -NFAH) en función de la concentración de agente químico Genipin.
Fig. 5. Valor del módulo elástico correspondiente a la zona viscoelástica lineal 10 (correspondiente a una deformación de corte de 0.01 y una frecuencia de 1Hz) de los hidrogeles preparados (no nanoestructurados -FAH- y nanoestructurados -NFAH) en función de la concentración de agente químico Genipin.
Fig. 6. Valor del módulo viscoso correspondiente a la zona viscoelástica lineal (correspondiente a una deformación de corte de 0.01 y una frecuencia de 1Hz) de los 15 hidrogeles preparados (no nanoestructurados -FAH- y nanoestructurados -NFAH) en función de la concentración de agente químico Genipin.
Fig, 7. Microscopía electrónica de barrido de hidrogeles de fibrina-agarosa. FAH muestra los geles no nanoestructurados, mientras que NFAH muestra aquellos hidrogeles sometidos a nanoestructuración controlada. FA-CTR muestra los 20 constructos sin cross-linking con Genipin, mientras que GEN muestran el patrón característicos de los hidrogeles sometidos a cross-linking con Genipin a 0, 5 y 0, 75% respectivamente.
Fig. 8. Imágenes representativas del análisis histológico ex vivo de los constructos de FA-CTR y CTR sometidos a cross-linking con Genipin. 25
Fig. 9. Análisis morfológico de viabilidad celular live-dead por microscopía de fluorescencia. Este test muestra las células viables y metabólicamente activas en verde, mientras que las células muertas se observan en rojo.
DESCRIPCIÓN DETALLADA 30
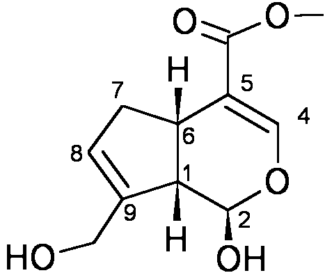
El Genipin, o[Metil (1R, 2R, 6S) -2-hidroxi-9- (hidroximetil) -3-oxabiciclo[4.3.0]nona-4, 8-dieno-5-carboxilato], es un agente químico o cross-linker extraído habitualmente del fruto de Gardenia jasminoide que se caracteriza por presentar una baja citotoxicidad, y promueve un incremento en las propiedades biomecánicas de diversas matrices (Somers et al., 2008.
J Heart Valve Dis.
17: 682-688; Chang et al., 2005. J 35 Biotechnol.120: 207-21933).
Los autores de la presente invención han diseñado un método de síntesis de un biomaterial, que incluye la adición de compuestos de fórmula (I) , y preferiblemente Genipin, como agente químico para el cross-linking, y cuya estructura tridimensional 40 proporciona un soporte (scaffold) adecuado para la adherencia, proliferación y diferenciación celular en condiciones de cultivo adecuadas.
BIOMATERIAL DE LA INVENCIÓN
Un primer aspecto de la invención se refiere a un biomaterial, de ahora en adelante biomaterial de la invención, que comprende: 45
a) Fibrinógeno (o fibrina) ;
b) un agente antifibrinolítico;
c) un elemento que se seleciona de entre: un factor de coagulacion, una fuente de calcio, trombina, o cualquiera de sus combinaciones;
d) un polisacárido; 5
e) un compuesto de fórmula (I)
Fórmula (I)
o cualquiera de sus esteres, tautómeros y sales farmacéuticamente aceptables, donde: 10
- R1 es -H, =O ó -OR4, en donde R4 es -H, alquilo C1-6, alquilo C1-3, o alcanoilo C1-12 que puede estar sustituido con fenilo, fenoxi, piridilo o tienilo;
- R2 es H, alquilo C1-6, alquilo C1-3, metilo, etilo, propilo, isopropilo, butilo, w-butilo, i-butilo, isobutilo, o sec-butilo;
- R3 es un alcohol primario seleccionado entre -CH2-OH y -R5-CH2-OH, 15 donde -R5- es alquilo C1-6, alquilo C1-3, metilo, etilo, propilo, isopropilo, butilo, n-butilo, t-butilo, isobutilo, sec-butilo.
En otra realización preferida, el biomaterial de la invención consiste en:
a) Fibrinógeno (o fibrina) según se ha descrito anteriormente, 20
b) un agente antifibrinolítico, preferiblemente según se ha descrito anteriormente, c) un elemento que se selecciona de entre: un factor de coagulación, una fuente de calcio según se ha descrito anteriormente;
d) un polisacárido según se ha descrito anteriormente, 25
e) un compuesto de fórmula (I) según se ha descrito anteriormente;
En esta memoria se entiende por "biomaterial" materiales aptos para entrar en contacto con los tejidos de un sujeto con propósitos terapéuticos específicos, de diagnóstico, o con propósitos preventivos, o bien que puedan sustituir un tejido. Estos 30 materiales deben ser biocompatibles, es decir, no deben causar ninguna respuesta adversa significativa del organismo vivo tras la interacción del biomaterial con los tejidos y fluidos corporales y, en ocasiones, debe biodegradarse, ya sea química o físicamente, o por una combinación de ambos procesos, para dar origen a componentes no tóxicos. El biomaterial de acuerdo a la presente invención comprende 35
fibrinógeno o fibrina, un polisacárido, y un compuesto de fórmula (I) tal y como se ha definido anteriormente.
Compuesto de fórmula (I)
En una realización preferida, en el compuesto (I) del biomaterial de la invención R1 es -OR4. En otra realización preferida de este aspecto de la invención, R4 es -H ó alquilo 5 C1-3. En otra realización preferida de este aspecto de la invención, R2 es H ó alquilo C1-3 y/o R3 es -CH2-OH, - CH2- CH2-OH, o - CH2- CH2- CH2-OH. En otra realización más preferida de este aspecto de la invención, el compuesto empleado, Genipin, tiene fórmula (II) :
10
Fórmula (II)
Fibrina La formación de una matriz de fibrina tiene lugar por la polimerización del fibrinógeno inducida por trombina. El fibrinógeno es una proteína de elevado peso molecular que se encuentra presente en el plasma sanguíneo. La trombina es una enzima proteolítica 15 que provoca la ruptura de la molécula de fibrinógeno en polipéptidos de bajo peso molecular y en monómeros de fibrina. Dichos monómeros polimerizan en dímeros y posteriormente se unen entre sí mediante enlaces covalentes, por acción del factor XIII, previamente activado por la trombina, y en presencia de iones de calcio.
En otra realización preferida de este aspecto de la invención, el origen del fibrinógeno 20 o la fibrina es el plasma sanguíneo. Más preferiblemente, el plasma sanguíneo es de origen autólogo. La composición del paso puede asimismo prepararse a partir de un derivado plasmático, como, por ejemplo, pero sin limitarse un crioprecipitado o un concentrado de fibrinógeno. Además de fibrinógeno, la composición puede contener otros factores de coagulación. 25
En una realización preferida, la concentración de fibrinógeno en el producto resultante es de entre 0, 5 y 10 g/L, opcionalmente entre 1 y 10 g/L. En una realización más preferida, la concentración en el producto resultante es de entre 1 y 4 g/L, opcionalmente entre 2 y 4 g/L. No obstante, una concentración menor o mayor también podría emplearse. 30
Agente antifibrinolítico
El polímero de fibrina puede degradarse mediante el proceso denominado fibrinólisis. Durante la fibrinólisis, el plasminógeno es convertido en la enzima activa plasmina, por el activador tisular del plasminógeno; la plasmina se une a la superficie de la fibrina a través de sus sitios de unión, para producir la degradación del polímero de fibrina. 35 Para evitar la fibrinólisis de la matriz de fibrina, en el paso (b) de la presente invención se añade un agente antifibrinolítico como, por ejemplo, pero sin limitarse, ácido épsilon aminocaproico, ácido tranexámico o aprotinina.
En otra realización preferida de este aspecto de la invención, el agente antifibrinolítico de (II) es ácido tranexámico. 40
El ácido tranexámico es un producto sintético derivado del aminoácido lisina con gran afinidad por los sitios de unión de lisina del plasminógeno; bloquea estos sitios y previene la unión del plasminógeno activado a la superficie de fibrina, ejerciendo un efecto antifibrinolítico. El ácido tranexámico tiene la ventaja, frente a otros agentes antifibrinolíticos de origen animal, de que no transmite enfermedades. Por tanto, en 5 una realización preferida, el agente antifibrinolítico es el ácido tranexámico. En una realización aún más preferida, la concentración de ácido tranexámico en el producto resultante del paso (e) es de entre 0, 5 y 2 g/L, preferiblemente entre 1 y 2 g/L. No obstante, una concentración menor o mayor también podría emplearse.
Fuente de calcio 10
En otra realización preferida de este aspecto de la invención, la fuente de calcio es una sal de calcio. Más preferiblemente, la sal de calcio es cloruro cálcico.
La concentración de la sal de calcio deberá ser suficiente para inducir la polimerización del fibrinógeno. En una realización más preferida, la sal de calcio es cloruro cálcico. En una realización aún más preferida, la concentración de cloruro de calcio en el producto 15 resultante es de entre 0, 25 y 3 g/L, opcionalmente entre 0, 5 y 4 g/L. No obstante, una concentración menor o mayor también podría emplearse.
Polisacárido Las matrices de fibrina son muy versátiles, por lo que se han empleado para la elaboración de diferentes tejidos artificiales, sin embargo, la utilización clínica de las 20 mismas se ha visto limitada debido al hecho, fundamentalmente, de su escasa consistencia, su difícil manipulación y su enorme fragilidad. Por ese motivo, se añade un polisacárido. En general, dicho polisacárido se emplea para aportar resistencia y consistencia al tejido, y es conveniente que sea soluble en el mismo. Ejemplos de polisacáridos que pueden emplearse son pero, sin limitarse, agar-agar, agarosa, 25 alginato, quitosano o carragenatos, o cualquier combinación de los anteriores.
En otra realización preferida de este aspecto de la invención, el polisacárido es agarosa. Aún más preferiblemente, la agarosa es de tipo VII.
La agarosa es un polisacárido formado por galactosas alfa y beta que se extrae de algas de géneros como Gellidium o Graduaría. La agarosa, frente a otros polisacáridos 30 que pueden ser empleados en el paso (e) de la presente invención, tiene la ventaja de que forma una matriz inerte desde el punto de vista inmunológico. Por tanto, en una realización preferida, el polisacárido de la invención es agarosa. Existen diferentes tipos de agarosa que varían en sus propiedades físicas y químicas como, por ejemplo, la temperatura de gelificación, la fuerza del gel y/o la porosidad. Preferiblemente, la 35 agarosa es una agarosa con un punto de fusión bajo, es decir, una agarosa que se repolimerice y solidifique a una temperatura, preferiblemente, menor de 65 °C y, más preferiblemente, menor de 40°C; de esta manera puede emplearse para preparar el tejido a temperaturas muy bajas, minimizando la probabilidad de muerte celular. En una realización más preferida, la agarosa empleada es de tipo VII. En una realización 40 aún más preferida, la agarosa, preferiblemente, agarosa de tipo VII, en el producto resultante está a una concentración, ventajosamente, de entre 0, 1 y 6 g/L, opcionalmente entre 0, 2 y 6 g/L, preferiblemente, de entre 0, 15 y 3 g/L, opcionalmente entre 0, 3 y 3 g/L y más preferiblemente, de entre 0, 25 y 2 g/L, opcionalmente entre 0, 5 y 2 g/L. No obstante, una concentración menor o mayor también podría emplearse. 45
Proteína, preferiblemente colágeno En otra realización preferida, el biomaterial de la invención además comprende una proteína.
Más preferiblemente la proteína se selecciona de entre fibronectina, colágeno, o su combinación. Aún más preferiblemente, la proteína es colágeno, y aún más preferiblemente, colágeno tipo I.
Ejemplos de proteínas que pueden emplearse son, pero sin limitarse a, colágeno, reticulina o elastina. La adición de una proteína da lugar a tejidos que presentan una 5 mayor densidad fibrilar a nivel del estroma, un mejor comportamiento viscolástico y un esfuerzo umbral creciente.
Las principales propiedades reológicas de un material sólido o semisólido son la viscosidad y la elasticidad. La viscosidad es la resistencia que ofrece un fluido a la deformación tangencial, y sería equivalente a la consistencia o la rigidez. La 10 elasticidad es la propiedad mecánica de ciertos materiales de sufrir deformaciones reversibles cuando se encuentran sujetos a la acción de fuerzas exteriores, y de recuperar la forma original cuando cesan estas fuerzas exteriores. El análisis de estos parámetros se realiza mediante reometría, técnica física que utiliza instrumentos denominados reómetros. 15
El esfuerzo umbral es la fuerza mecánica necesaria para provocar una deformación irreversible en un sólido o un fluido. Normalmente, todos los materiales presentan una región elástica, en la que el esfuerzo aplicado provoca una deformación totalmente reversible cuando cesa el esfuerzo. Si ese esfuerzo supera un límite (límite elástico) , la deformación pasa a ser irreversible, entrando en una región plástica. Finalmente, si el 20 esfuerzo supera el módulo plástico, el material se rompe (punto de fractura).
El colágeno es una proteína de fácil disponibilidad en la naturaleza y que biológicamente se caracteriza por su baja inmunicidad y elevada actividad tisular. El colágeno forma las fibras colágenas, que son flexibles, pero ofrecen gran resistencia a la tracción. Los tejidos artificiales de la presente invención, que pueden contener 25 fibrina, agarosa y colágeno presentan una mayor densidad fibrilar a nivel del estroma, un mejor comportamiento viscolástico y presentarán un esfuerzo umbral creciente según se aumenta la concentración de colágeno, y más elevado que los tejidos artificiales de colágeno. Por tanto, en una realización preferida la proteína añadida es colágeno. 30
En una realización preferida, el colágeno añadido se selecciona de la lista que comprende: colágeno tipo I, colágeno tipo II, colágeno tipo III, colágeno tipo IV, colágeno tipo V, colágeno tipo VI, colágeno tipo VII, colágeno tipo VIII, colágeno tipo IX, colágeno tipo X, colágeno tipo XI, colágeno tipo XII, colágeno tipo XIII o cualquier combinación de los anteriores. En una realización más preferida, el colágeno añadido 35 se selecciona de la lista que comprende: colágeno tipo I, colágeno tipo II, colágeno tipo III, colágeno tipo IV, colágeno tipo V, colágeno tipo IX o cualquier combinación de los anteriores. La selección de un tipo particular de colágeno depende del tejido artificial que se desee preparar y se realiza en función de las características de cada colágeno que son conocidas en el estado de la técnica. 40
Por ejemplo, la función principal del colágeno tipo I es la de resistencia al estiramiento, y se encuentra abundantemente en la dermis, el hueso, el tendón y la córnea. Así, en la presente invención se demuestra que la adición de colágeno tipo I otorga excelentes propiedades al tejido artificial cuando se quiere preparar, por ejemplo, pero sin limitarnos a, un tejido sustituto de córnea o una córnea artificial. Por tanto, en una 45 realización preferida el colágeno es colágeno tipo I.
En una realización aún más preferida, el colágeno, preferiblemente, colágeno tipo I, en el producto resultante está a una concentración, ventajosamente, de entre 0, 5 y 5 g/L, preferiblemente, de entre 1, 8 y 3, 7 g/L, y más preferiblemente, de entre 2, 5 y 3 g/L. No obstante, una concentración menor o mayor también podría emplearse. 50
En una realización particular, el colágeno utilizado es un atelocolágeno, es decir un colágeno del cual se han eliminado las regiones terminales de estructura no helicoidal denominadas telopéptidos. Estos telopéptidos pueden hacer que el colágeno que sea insoluble y son portadores de los principales determinantes antigénicos del colágeno. El atelocolágeno se obtiene, por ejemplo, mediante tratamiento proteásico con 5 pepsina.
Dependiendo de las concentraciones de fibrinógeno que se empleen, de la concentración de polisacárido y, en el caso de que se utilice, de la concentración de colágeno que se use, el tejido artificial resultante puede comprender concentraciones variables de los dos/tres componentes. 10
En una realización preferida, en el producto resultante, la concentración de fibrinógeno es de entre 0, 5 y 10 g/L, la concentración de la agarosa, preferiblemente, agarosa de tipo VII, es de entre 0, 1 y 6 g/L. Si se ha incluido, la concentración del colágeno, preferiblemente, colágeno tipo I, es de entre 0, 5 y 5 g/L.
En otra realización preferida, en el producto resultante, la concentración de fibrinógeno 15 es de entre 0, 5 y 10 g/L, la concentración de la agarosa, preferiblemente, agarosa de tipo VII, es de entre 0, 15 y 3 g/L. Si se ha incluido, la concentración del colágeno, preferiblemente, colágeno tipo I, es de entre 0, 5 y 5 g/L.
En otra realización preferida, en el producto resultante, la concentración de fibrinógeno es de entre 0, 5 y 10 g/L, la concentración de la agarosa, preferiblemente, agarosa de 20 tipo VII, es de entre 0, 25 y 2 g/L. Si se ha incluido, la concentración del colágeno, preferiblemente, colágeno tipo I, es de entre 0, 5 y 5 g/L.
En otra realización preferida, en el producto resultante, la concentración de fibrinógeno es de entre 0, 5 y 10 g/L, la concentración de la agarosa, preferiblemente, agarosa de tipo VII, es de entre 0, 1 y 6 g/L. Si se ha incluido, la concentración del colágeno, 25 preferiblemente, colágeno tipo I, es de entre 1, 8 y 3, 7 g/L.
En otra realización preferida, en el producto resultante, la concentración de fibrinógeno es de entre 0, 5 y 10 g/L, la concentración de la agarosa, preferiblemente, agarosa de tipo VII, es de entre 0, 15 y 3 g/L. Si se ha incluido, la concentración del colágeno, preferiblemente, colágeno tipo I, es de entre 1, 8 y 3, 7 g/L. 30
En otra realización preferida, en el producto resultante, la concentración de fibrinógeno es de entre 0, 5 y 10 g/L, la concentración de la agarosa, preferiblemente, agarosa de tipo VII, es de entre 0, 25 y 2 g/L. Si se ha incluido, la concentración del colágeno, preferiblemente, colágeno tipo I, es de entre 1, 8 y 3, 7 g/L.
En otra realización preferida, en el producto resultante, la concentración de fibrinógeno 35 es de entre 0, 5 y 10 g/L, la concentración de la agarosa, preferiblemente, agarosa de tipo VII, es de entre 0, 1 y 6 g/L. Si se ha incluido, la concentración del colágeno, preferiblemente, colágeno tipo I, es de entre 2, 5 y 3 g/L.
En otra realización preferida, en el producto resultante, la concentración de fibrinógeno es de entre 0, 5 y 10 g/L, la concentración de la agarosa, preferiblemente, agarosa de 40 tipo VII, es de entre 0, 15 y 3 g/L. Si se ha incluido, la concentración del colágeno, preferiblemente, colágeno tipo I, es de entre 2, 5 y 3 g/L.
En otra realización preferida, en el producto resultante, la concentración de fibrinógeno es de entre 0, 5 y 10 g/L, la concentración de la agarosa, preferiblemente, agarosa de tipo VII, es de entre 0, 25 y 2 g/L. Si se ha incluido, la concentración del colágeno, 45 preferiblemente, colágeno tipo I, es de entre 2, 5 y 3 g/L.
En otra realización preferida, en el producto resultante, la concentración de fibrinógeno es de entre 1 y 4 g/L, la concentración de la agarosa, preferiblemente, agarosa de tipo VII, es de entre 0, 1 y 6 g/L. Si se ha incluido, la concentración del colágeno, preferiblemente, colágeno tipo I, es de entre 0, 5 y 5 g/L.
En otra realización preferida, en el producto resultante, la concentración de fibrinógeno 5 es de entre 1 y 4 g/L, la concentración de la agarosa, preferiblemente, agarosa de tipo VII, es de entre 0, 15 y 3 g/L. Si se ha incluido, la concentración del colágeno, preferiblemente, colágeno tipo I, es de entre 0, 5 y 5 g/L.
En otra realización preferida, en el producto resultante, la concentración de fibrinógeno es de entre 1 y 4 g/L, la concentración de la agarosa, preferiblemente, agarosa de tipo 10 VII, es de entre 0, 25 y 2 g/L. Si se ha incluido, la concentración del colágeno, preferiblemente, colágeno tipo I, es de entre 0, 5 y 5 g/L.
En otra realización preferida, en el producto resultante, la concentración de fibrinógeno es de entre 1 y 4 g/L, la concentración de la agarosa, preferiblemente, agarosa de tipo VII, es de entre 0, 1 y 6 g/L. Si se ha incluido, la concentración del colágeno, 15 preferiblemente, colágeno tipo I, es de entre 1, 8 y 3, 7 g/L.
En otra realización preferida, en el producto resultante, la concentración de fibrinógeno es de entre 1 y 4 g/L, la concentración de la agarosa, preferiblemente, agarosa de tipo VII, es de entre 0, 15 y 3 g/L. Si se ha incluido colágeno, la concentración del colágeno, preferiblemente, colágeno tipo I, es de entre 1, 8 y 3, 7 g/L. 20
En otra realización preferida, la concentración de fibrinógeno es de entre 1 y 4 g/L, la concentración de la agarosa, preferiblemente, agarosa de tipo VII, es de entre 0, 25 y 2 g/L. Si se ha incluido, la concentración del colágeno, preferiblemente, colágeno tipo I, es de entre 1, 8 y 3, 7 g/L.
En otra realización preferida, en el producto resultante, la concentración de fibrinógeno 25 es de entre 1 y 4 g/L, la concentración de la agarosa, preferiblemente, agarosa de tipo VII, es de entre 0, 1 y 6 g/L. Si se ha incluido, la concentración del colágeno, preferiblemente, colágeno tipo I, es de entre 2, 5 y 3 g/L.
En otra realización preferida, en el producto resultante, la concentración de fibrinógeno es de entre 1 y 4 g/L, la concentración de la agarosa, preferiblemente, agarosa de tipo 30 VII, es de entre 0, 15 y 3 g/L. Si se ha incluido, la concentración del colágeno, preferiblemente, colágeno tipo I, es de entre 2, 5 y 3 g/L.
En otra realización preferida, en el producto resultante, la concentración de fibrinógeno es de entre 1 y 4 g/L, la concentración de la agarosa, preferiblemente, agarosa de tipo VII, es de entre 0, 25 y 2 g/L. Si se ha incluido, la concentración del colágeno, 35 preferiblemente, colágeno tipo I, es de entre 2, 5 y 3 g/L.
El término "factor de coagulación", tal y como se utiliza en la presente descripción, se refiere a un componente, generalmente, una proteína, presente en el plasma sanguíneo y que interviene en la reacción en cadena que hace posible la coagulación. Son trece los factores de coagulación, nombrados con números romanos: I: 40 fibrinógeno; II: protrombina; III: factor tisular o tromboplastina; IV: calcio; V: proacelerina; VI: factor inactivo o cimógeno; VII: proconvertina; VIII: factor antihemofílico A o factor von Willebrand; IX: factor antihemofílico B o factor de Christmas; X: factor de Stuart-Prower; XI: factor antihemofílico C; XII: Factor Hageman; XIII: Factor estabilizante de la fibrina; XIV: Fitzgerald; XV: Fletcher; XVI: 45 plaquetas; y XVII: Somocurcio. Preferiblemente, el otro factor de coagulación añadido en el paso (c) del método de la presente invención es el factor XIII.
En otra realización preferida, el biomaterial de la invención además comprende otro principio activo. Como se emplea a la largo de la presente memoria, el término "principio activo", tiene el mismo significado que "substancia activa", "substancia farmacéuticamente activa", "ingrediente activo" o "ingrediente farmacéuticamente activo", y se refiere a cualquier componente que potencialmente proporcione una 5 actividad farmacológica u otro efecto diferente en el diagnóstico, cura, mitigación, tratamiento, o prevención de una enfermedad, o que afecta a la estructura o función del cuerpo del hombre u otros animales. El término incluye aquellos componentes que promueven un cambio químico en la elaboración del fármaco y están presentes en el mismo de una forma modificada prevista que proporciona la actividad específica o el 10 efecto.
Una realización preferida de este aspecto de la invención se refiere al biomaterial de la invención para su uso como medicamento, o alternativamente, al uso del biomaterial de la invención en la elaboración de un medicamento.
Otra realización preferida de este aspecto de la invención se refiere al biomaterial de la 15 invención para su uso para incrementar, restaurar o sustituir parcial o totalmente la actividad funcional de un tejido o un órgano enfermo o dañado, o alternativamente, al uso del biomaterial de la invención en la elaboración de un medicamento para incrementar, restaurar o sustituir parcial o totalmente la actividad funcional de un tejido o un órgano enfermo o dañado. 20
TEJIDO ARTIFICIAL DE LA INVENCIÓN
Un segundo aspecto de la invención se refiere a un tejido artificial, de ahora en adelante tejido artificial de la invención, que comprende el biomaterial de la invención, y además comprende células de un mamífero. En una realización más preferida de 25 este aspecto de la invención, las células de mamífero son células humanas.
En una realización más preferida de este aspecto de la invención, el tejido artificial de la invención consiste en:
a) Fibrinógeno (o fibrina) según se ha descrito anteriormente;
b) un agente antifibrinolítico, preferiblemente según se ha descrito 30 anteriormente;
c) un elemento que se selecciona de entre: un factor de coagulación, una fuente de calcio según se ha descrito anteriormente;
d) un polisacárido según se ha descrito anteriormente;
e) un compuesto de fórmula (I) según se ha descrito anteriormente; y 35
f) una célula de un mamífero, preferiblemente una célula humana.
Dichas células pueden obtenerse mediante diferentes procedimientos descritos en el estado de la técnica, que pueden depender del tipo celular particular del que se trate. Algunos de estos procedimientos son, por ejemplo, pero sin limitarse, biopsia, 40 procesado mecánico, tratamiento enzimático (por ejemplo, pero sin limitarse, con tripsina o colagenasa de tipo I) , centrifugación, lisis eritrocitaria, filtración, cultivo en soportes o medios que favorezcan la proliferación selectiva de dicho tipo celular o inmunocitometría.
Las células pueden ser células diferenciadas como, por ejemplo, pero sin limitarse, fibroblastos, queratocitos o células musculares lisas, o células no diferenciadas con Ia capacidad para diferenciarse en dichas células como, por ejemplo, células madre adultas.
Por tanto, en otra realización preferida de este aspecto de la invención, donde las 5 células se seleccionan de entre: queratinocitos, células del urotelio, células del epitelio de Ia uretra, células del epitelio corneal, células del epitelio de la mucosa oral, células estromales, células gliales, células neuronales, células madre, o cualquiera de sus combinaciones.
En una realización preferida del método de la invención, las células son fibroblastos o 10 células no diferenciadas con la capacidad para diferenciarse en fibroblastos. Los fibroblastos pueden obtenerse a partir de cualquier tejido u órgano, sin embargo, preferiblemente, los fibroblastos proceden del tejido o del órgano en el que va a emplearse como sustituto el tejido artificial. Por ejemplo, cuando el método de la invención se emplea para preparar un tejido sustituto de piel o una piel artificial, los 15 fibroblastos proceden, preferiblemente, de piel (fibroblásticos dérmicos) ; cuando se emplea para preparar un tejido sustituto de vejiga o una vejiga artificial, los fibroblastos proceden, preferiblemente, de vejiga; cuando se emplea para preparar un tejido sustituto de uretra o una uretra artificial los fibroblastos proceden, preferiblemente, de uretra; o cuando se emplea para preparar un tejido sustituto de mucosa oral o una 20 mucosa oral artificial los fibroblastos proceden preferiblemente, de mucosa oral. No obstante, los fibroblastos pueden obtenerse a partir de cualquier otro tejido u órgano, como por ejemplo, la mucosa oral, la pared abdominal o cualquier tejido conjuntivo. Por ejemplo, los fibroblastos obtenidos a partir de mucosa oral pueden emplearse para preparar un tejido sustituto de piel o una piel artificial, un tejido sustituto de vejiga o 25 una vejiga artificial, un tejido sustituto de uretra o una uretra artificial, o un tejido sustituto de córnea o una córnea artificial.
Por tanto, en una realización preferida de este aspecto de la invención, los fibroblastos proceden del estroma de un tejido o un órgano seleccionado de la lista que comprende: mucosa oral, pared abdominal, piel, vejiga, uretra o córnea. 30
En otra realización preferida del método de la invención, las células son queratocitos o células no diferenciadas con la capacidad para diferenciarse en queratocitos. Por ejemplo, cuando el método de la invención se emplea para preparar un tejido sustituto de córnea o una córnea artificial, preferiblemente, se emplean queratocitos del estroma corneal. 35
La posibilidad de que todos los componentes del tejido artificial sean de origen autólogo permite que el transplante de dicho tejido pueda realizarse sin que sea necesaria la inmunosupresión del sujeto transplantado. Sin embargo, los componentes del tejido artificial también puedan ser de origen alogénico, es decir, pueden proceder de un individuo diferente a aquel al que se le va a transplantar el tejido artificial. 40 Incluso Ia especie de Ia cual proceden dichos componentes, puede ser diferente; en cuyo caso se dice que su origen es xenogénico. Esto abre la posibilidad de que el tejido artificial esté preparado de antemano cuando se necesite con urgencia, aunque en este caso sí sería recomendable proceder a la inmunosupresión del sujeto al que se trasplanta el tejido artificial. 45
Por Io tanto, en una realización preferida, las células del paso (a) de la invención son de origen autólogo. No obstante, las células del paso (a) también pueden ser de origen alogénico o xenogénico Tras la adición a las células al biomaterial de la invención, y tras dejar reposar el producto resultante en un soporte, se produce la formación de una matriz que 50
comprende fibrina, el polisacárido y el compuesto de fórmula (I) , en la que quedan embebidas y/o se depositan dichas células y sobre la cual y/o en cuyo interior éstas pueden crecer. Preferiblemente, las células del paso (a) crecen en el interior de dicha matriz.
Como se demuestra en los ejemplos de la presente invención, la adición del 5 compuesto de fórmula (I) permite preparar hidrogeles con propiedades mecánicas regulables en hasta un orden de magnitud eligiendo adecuadamente la concentración de dicho compuesto de fórmula (I).
En otra realización preferida de este aspecto de la invención, las células madre se seleccionan de entre células madre mesenquimales, células madre hematopoyéticas, 10 células madre embrionarias, células madre pluripotentes inducidas, células madre adultas o combinaciones de las mismas.
El término "célula madre" hace referencia a una célula con capacidad clonogénica, de autorrenovación y de diferenciación en múltiples linajes celulares. En particular, las células madre mesenquimales tienen la capacidad de proliferar extensamente y formar 15 colonias de células fibroblásticas. Tal como se usa en la presente invención, la expresión "célula madre" se refiere a una célula pluripotente o multipotente, capaz de generar uno o más tipos de células diferenciadas, y que además posee la capacidad de auto regenerarse, es decir, de producir más células madre. Las "células madre totipotentes" pueden dar lugar tanto a los componentes embrionarios (como por 20 ejemplo, las tres capas embrionarias, el linaje germinal y los tejidos que darán lugar al saco vitelino) , como a los extraembrionarios (como la placenta). Es decir, pueden formar todos los tipos celulares y dar lugar a un organismo completo. Las "células madre pluripotentes" pueden formar cualquier tipo de célula correspondiente a los tres linajes embrionarios (endodermo, ectodermo y mesodermo) , así como el germinal y el 25 saco vitelino. Pueden, por tanto, formar linajes celulares pero a partir de ellas no se puede formar un organismo completo. Las "células madre multipotentes" son aquellas que sólo pueden generar células de su misma capa o linaje embrionario de origen. La médula ósea alberga al menos dos poblaciones de células madre distintas: células madre mesenquimales (MSCs) y células madre hematopoyéticas (HSCs). En el 30 contexto de la presente invención, las células madre son seleccionadas del grupo que comprende células madre mesenquimales, células madre hematopoyéticas, células madre embrionarias, células madre pluripotentes inducidas, células madre adultas, o combinaciones de las mismas. En una realización particular, las células madre son células madre de un mamífero, preferiblemente humanas. En una realización 35 particular, las células madre son células madre mesenquimales, preferiblemente células madre mesenquimales humanas.
El término "célula madre adulta" se refiere a aquella célula madre que es aislada de un tejido o un órgano de un animal en un estado de crecimiento posterior al estado embrionario. Preferiblemente, las células madre de la invención son aisladas en un 40 estado postnatal. Preferiblemente son aisladas de un mamífero, y más preferiblemente de un humano, incluyendo neonatos, juveniles, adolescentes y adultos. Se pueden aislar células madre adultas de una gran variedad de tejidos y órganos, como médula ósea (células madre mesenquimales, células progenitoras adultas multipotentes y células madre hematopoyéticas) , tejido adiposo, cartílago, epidermis, folículo piloso, 45 músculo esquelético, músculo cardíaco, intestino, hígado, neuronal.
El término "célula madre embrionaria" o "ESC" son células derivadas de masa celular interna de embriones en estadio de blastocisto, con capacidad de auto-renovación y de diferenciación en todos los tipos de células adultas. Las células madre embrionarias son capaces de proliferar indefinidamente in vitro manteniéndose en un estado 50 indiferenciado y con un cariotipo normal a través del cultivo prolongado. También tienen la capacidad de diferenciarse en células de las tres capas germinales embrionarias (mesodermo, endodermo y ectodermo; (Itskovitz-Eldor, et al., Mol. Med. 6:88-95, 2000) y linaje germinal. Las células madre embrionarias representan un modelo de sistema de gran alcance para la investigación de los mecanismos que subyacen a la biología de células pluripotentes y la diferenciación en el embrión 5 temprano, así como proporcionar oportunidades para la manipulación genética. Las células madre embrionarias han sido aislados de la MCI de embriones en estadio de blastocisto especies múltiples (Bhattachar y a, et al., BMC Dev. BioL 5:22, 2005) , incluidos los ratones (Solter y Knowles, Proc. Nati. Acad. EE.UU. 75:5565-5569, 1978.) , porcina (Chen, et al., Theriogenology 52:195-212, 1999) , y los primates no 10 humanos (Thomson, et al., Proc. Nati.. Acad. EE.UU. 92 , 7844-7848, 1995).
La invención contempla el uso de células madre embrionarias procedentes de líneas celulares establecidas de origen murino tales como las líneas 59B5, 36.5, 9TR#1 , TK#1 , ES-D3 [D3], YS001 , ES-E14TG2a, ES-D3, 10P12, 56B3, L Wnt-3A, OP9, 3T3 MEFs WT, 3T3 MEFs KO, 127TAg, 151 TAg, WPE-stem, NE-4C, NE-GFP-4C, ES-15 C57BL/6, J1 , R1 , RW.4, B6/BLU, SCC#10, EDJ#22, AB2.2, Ainv15, 7AC5/EYFP, R1/E, G-Olig2, CE-1 , CE3, y hESC BG01 V todas las cuales se encuentran disponibles en repositorios públicos.
Métodos para la obtención de células madre embrionarias son ampliamente conocidos y pueden ser puestos en práctica por el experto sin necesidad de experimentación 20 excesiva. Así, células embrionarias humanas se pueden obtener tal y como se describe en Reprod. Biomed. Online 4 (2002) , 58-63. Células embrionarias de primates se pueden aislar de blastocistos de distintas especies de primates (Thomson et al., Proc. Nati. Acad. Sci. USA, 92:7844). Células embrionarias germinales se pueden preparar a partir de células germinales primordiales presentes en fetos 25 humanos de 8-1 1 semanas tras el último periodo menstrual usando métodos tales como el descrito por Shamblott et al., Proc. Nati. Acad. Sci. USA 95 (1998) , 13726.
Con el fin de evitar el uso de embriones humanos, es posible el uso de animales transgénicos no humanos como fuente de células madre embrionarias. En particular, US5.523.226 describe métodos para generar credos transgénicos que pueden ser 30 usados como donantes para xenotransplantes a humanos. WO97/12035 describe métodos para producir animales transgénicos adecuados para xenotransplantes. Asimismo, WO01 /88096 describe tejidos animales inmunocompatibles. Estos animales inmunocompatibles se pueden usar para generar células embrionarias pluripotentes tal y como se ha descrito en US6.545.199. 35
Asimismo, es posible el uso de líneas de células troncales embrionarias, que pueden ser de distinto origen. En una forma de realización, las líneas celulares son de ratón e incluyen células tales como la línea R1 (ATCC No. SCRC-101 1) descrita por Nagy et al., (Proc.Natl.Acad.Sci.USA, 1993, 90:8424-8428) y la línea celular D3.
En otra realización preferida de la invención, las células madre no son células madre 40 embrionarias.
El término "célula madre hematopoyética" o "HSC" hace referencia a una célula madre adulta con capacidad de dar lugar a los linajes hematopoyéticos tanto mieloides (monocitos y macrófagos, neutrófilos, basófilos, eosinófilos, eritrocitos, megacariocitos/plaquetas, células dendríticas) como linfoides (linfocitos T, células B, 45 células NK). Este tipo celular se encuentra fundamentalmente en la médula ósea.
El término "célula madre mesenquimal" o "MSC", tal como se usa en el presente documento, se refiere a una célula de estroma multipotente, originada a partir de la capa germinal mesodermal, que puede diferenciarse en una variedad de tipos de células, incluyendo osteocitos (células de hueso) , condrocitos (células de cartílago) y 50
adipocitos (células de grasa). Los marcadores expresados por las células madre mesenquimales incluyen CD105 (SH2) , CD73 (SH3/4) , CD44, CD90 (Thy-1 ) , CD71 y Stro-1 así como las moléculas de adhesión CD106, CD166, y CD29. Entre los marcadores negativos para las MSCs (no expresados) están los marcadores hematopoyéticos CD45, CD34, CD14, y las moléculas coestimuladoras CD80, CD86 y 5 CD40 así como la molécula de adhesión CD31. Las MSC pueden ser obtenidas a partir de, sin quedar limitado a, médula ósea, tejido adiposo (tal como el tejido adiposo subcutáneo) , hígado, bazo, testículos, sangre menstrual, fluido amniótico, páncreas, periostio, membrana sinovial, músculo esquelético, dermis, pericitos, hueso trabecular, cordón umbilical humano, pulmón, pulpa dental y sangre periférica. Las MSC de 10 acuerdo con la invención pueden obtenerse a partir de cualquiera de los tejidos anteriores, tal como a partir de médula ósea, de tejido adiposo subcutáneo o de cordón umbilical. Se pueden aislar MSC de médula ósea mediante procedimientos conocidos por el experto en la materia. En general, dichos métodos consisten en aislar células mononucleares mediante centrifugación en gradiente de densidad (Ficoll, 15 Percoll) de aspirados de médula ósea, y posteriormente sembrar las células aisladas en placas de cultivo de tejido en medio que contiene suero fetal bovino. Estos métodos se basan en la capacidad de las MSC de adherirse al plástico, de forma que mientras que las células no adherentes se retiran del cultivo, las MSC adheridas pueden expandirse en placas de cultivo. Las MSC también pueden aislarse de tejido adiposo 20 subcutáneo siguiendo un procedimiento similar, conocido para el experto en la materia. Un método para aislar MSC de médula ósea o de tejido adiposo subcutáneo ha sido descrito previamente (De la Fuente et al., Exp. Cell Res. 2004, Vol. 297: 313:328). En una realización particular de la invención, las células madre mesenquimales son obtenidas a partir de cordón umbilical, preferiblemente de cordón 25 umbilical humano.
Por tanto, en otra realización preferida de la invención, las células madre mesenquimales m son obtenidas a partir de médula ósea, tejido adiposo, hígado, bazo, testículos, sangre menstrual, fluido amniótico, páncreas, periostio, membrana sinovial, músculo esquelético, dermis, pericitos, hueso trabecular, cordón umbilical, 30 pulmón, pulpa dental y sangre periférica.
El cordón umbilical constituye una interesante fuente de células madre adultas, debido a que, a diferencia de las células madre adultas obtenidas de otras fuentes; (a) su método de obtención no es invasivo ni doloroso; y (b) su capacidad proliferativa y su potencial de diferenciación no disminuye como consecuencia del proceso de 35 envejecimiento. Entre las diferentes fuentes de células madre del cordón umbilical destacan las llamadas células madre de la gelatina de Wharton del cordón umbilical, por: (a) su gran capacidad de proliferación y a su rapidez de expansión en cultivo; y (b) la baja expresión del Complejo Mayor de Histocompatibilidad de clase I y ausencia de expresión del Complejo Mayor de Histocompatibilidad de clase II, lo que las convierte 40 en buenas candidatas para la terapia celular alogénica.
Por tanto, en otra realización preferida, las células del paso (f) son células madre de la gelatina de Wharton del cordón umbilical. Estas células expresan en su superficie diversos marcadores característicos de las células mesenquimales como, por ejemplo, SH2, SH3, CD10, CD13, CD29, CD44, CD54, CD73, CD90, CD105 o CD166, y son 45 negativos para marcadores del linaje hematopoyético, como por ejemplo, CD31 , CD34, CD38, CD40 o CD45. Las células madre de la gelatina de Wharton del cordón umbilical pueden diferenciarse, por ejemplo, a condroblastos, osteoblastos, adipocitos, precursores neurales, cardiomiocitos, células del músculo esquelético, células endoteliales o hepatocitos. 50
Las células madre adultas pueden ser caracterizadas mediante la identificación de proteínas de superficie y/o intracelulares, genes, y/u otros marcadores indicativos de su estado indiferenciado, mediante diferentes procedimientos que son conocidos en el estado de la técnica como, por ejemplo, pero sin limitarse, inmunocitometría, análisis inmunocitoquímico, análisis por northern blot, RT-PCR, análisis de expresión génica en microarrays, estudios proteómicos o análisis por differential display.
Las células madre pueden ser inducidas a diferenciarse in vitro para dar lugar a 5 células que expresen, al menos, una o más características propias de células diferenciadas. Ejemplos de células diferenciadas a las que pueden diferenciarse las células madre, pero sin limitarse, son fibroblasto, queratinocito, célula del urotelio, célula del epitelio de la uretra, célula del epitelio corneal, célula del epitelio de la mucosa oral, condroblasto, osteoblasto, adipocito o neurona. En una realización 10 preferida de la invención, la célula diferenciada a partir de la célula madre multipotente de la invención expresa una o más características propias de una célula diferenciada seleccionada de la lista que comprende: fibroblasto, queratinocito, célula del urotelio, célula del epitelio de la uretra, célula del epitelio corneal, célula del epitelio de la mucosa oral, condroblasto, osteoblasto, adipocito o neurona. 15
Las células diferenciadas pueden ser caracterizadas mediante la identificación de proteínas de superficie y/o intracelulares, genes, y/u otros marcadores indicativos de su estado diferenciado, mediante diferentes procedimientos que son conocidos en el estado de la técnica como, por ejemplo, pero sin limitarse, inmunocitometría, análisis inmunocitoquímico, análisis por northern blot, RT-PCR, análisis de expresión génica 20 en microarrays, estudios proteómicos o análisis por differential display.
Las células se dejan proliferar hasta que alcanzan un número adecuado hasta que alcanzan, típicamente, al menos, un 70% de confluencia, ventajosamente, al menos, un 80% de confluencia, preferiblemente, al menos, un 90% de confluencia, más preferiblemente, al menos, un 95% de confluencia y, aún más preferiblemente, al 25 menos, un 100% de confluencia. Durante el tiempo que las células se mantienen en cultivo, el medio de cultivo en el que se encuentran puede ser parcial o totalmente reemplazado por medio nuevo para reemplazar ingredientes agotados y eliminar metabolitos y catabolitos potencialmente dañinos.
Los términos "célula madre pluripotente" o "célula troncal pluripotente" y equivalentes 30 gramaticales se usan de forma indistinta en el contexto de la presente invención para referirse a células no diferenciadas o poco diferenciadas, de cualquier especie, con capacidad para dividirse indefinidamente sin perder sus propiedades y capaces de formar cualquier célula de los tres linajes embrionarios (mesodermo, endodermo, ectodermo) y linaje germinal así como el linaje germinal cuando se cultivan en ciertas 35 condiciones. La invención contempla el uso de cualquier tipo de célula madre pluripotente que sea capaz de generar una progenie de cualquiera de las tres capas germinativas incluyendo células derivadas de tejido embrionario, tejido fetal, tejido adulto y otras procedencias. Células pluripotentes adecuadas para su uso en la presente invención incluyen células madre embrionarias, células de carcinoma 40 embrionario, células pluripotentes inducidas (iPS) y células germinales primordiales. Asimismo, la invención contempla el uso de células madre pluripotentes de cualquier especie incluyendo, sin limitación, células humanas, de ratón, de rata, bovinas, de oveja, de hámster, de cerdo y similares.
El término "célula madre pluripotente inducida" o "iPS", según se usa en la presente 45 invención, se refiere a células que son sustancialmente idénticas genéticamente a una célula somática diferenciada de la que derivan pero que muestran características similares en cuanto a diferenciación y capacidad proliferativa a las células madre embrionarias pluripotentes. Típicamente, las iPS expresan en su superficie uno o varios marcadores seleccionados del grupo formado por SSEA-3, SSEA-4, TRA-I -60, 50 TRA-1 -81 , TRA-2-49/6E y Nanog. Típicamente, las iPS expresan uno o varios genes seleccionados del grupo de Oct-3/4, Sox2, Nanog, GDF3, REXI, FGF4, ESGI, DPP A2, DPP A4 y hTERT. Las iPS pueden generarse usando métodos descritos en el estado de la técnica tales como los métodos descritos por Takahashi y Yamanaka (Cell, 2006, 126:663-676) , Yamanaka et al. (Nature, 2007, 448:313-7) , Wernig et al. (Nature, 2007, 448:318-24) , Maherali (Cell Stem Cell, 2007, 1 :55-70) ; Maherali y Hochedlinger (Cell 5 Stem Cell, 2008, 3:595-605) , Park et al. (Cell, 2008, 134:1 -10) ; Dimos et al. (Science, 2008, 321 :1218-1221 ) , Blelloch et al. (Cell Stem Cell, 2007, 1 :245-247) ; Stadtfeld et al. (Science, 2008, 322:945-949) y Okita et al. (Science, 2008, 322: 949-953). Son células reprogramadas in vitro a partir de células somáticas diferenciadas de manera terminal mediante transducción retroviral de los factores de transcripción Oct3/4, Sox2, 10 Klf4 y c-Myc. Típicamente, las células iPS se obtienen a partir de células somáticas mediante la expresión en dichas células de las proteínas Oct- 3/4 y Sox2, de las proteínas Oct-3/4, Sox2 y Klf4, de las proteínas Oct-3/4, Sox2, Klf4 y c-Myc y/o de las proteínas Oct-4, Sox2, Nanog y LIN28.
Mediante la adición a las células a los diferentes componentes, y tras dejar reposar el 15 producto resultante en un soporte, se produce la formación de una matriz que comprende fibrina, las partículas de la invención, el polisacárido, el compuesto de la invención y, en el caso de que se haya incluido, la proteína añadida, en la que quedan embebidas dichas células y sobre la cual y/o en cuyo interior éstas pueden crecer. Preferiblemente, las células crecen en el interior de dicha matriz. 20
Soportes que pueden ser empleados son, por ejemplo, pero sin limitarse, placas de cultivo tisular o insertos porosos de cultivo celular. Preferiblemente, dichos soportes estarán en condiciones de esterilidad.
USOS MÉDICOS DE LA INVENCIÓN 25
Una enfermedad infecciosa, inflamatoria, genética o degenerativa, un daño físico o químico, o una interrupción del flujo sanguíneo, pueden dar lugar a una pérdida de células de un tejido o un órgano. Esta pérdida celular conllevaría una alteración de la función normal de dicho tejido u órgano; y por consiguiente, conduciría al desarrollo de enfermedades o secuelas físicas que merman la calidad de vida de la persona. Por 30 tanto, es importante tratar de regenerar o y restablecer la función normal de dichos tejidos u órganos. El tejido o el órgano dañado pueden ser sustituidos por un tejido u órgano nuevo que haya sido fabricado en el laboratorio mediante técnicas de ingeniería tisular. El objetivo de la ingeniería tisular es la construcción de tejidos biológicos artificiales y la utilización con fines médicos de los mismos para restaurar, 35 sustituir o incrementar las actividades funcionales de tejidos y órganos enfermos. La utilidad terapéutica de este tipo de técnicas es prácticamente ilimitada con aplicaciones en todos los campos. El empleo de las técnicas de ingeniería tisular permite disminuir las listas de espera de tejidos y órganos, con la consiguiente disminución de la morbi-mortalidad de la enfermedad en el receptor. Lógicamente, 40 también tiene como consecuencia una disminución de la morbi-mortalidad en los donantes de órganos. Por otra parte, existen numerosas ventajas asociadas a la utilización de células o tejidos autólogos en la ingeniería tisular, destacando: (a) una reducción significativa del número de infecciones del donante al receptor por agentes infecciosos; y (b) la ausencia de rechazo inmune injerto contra huésped, por lo que el 45 paciente no tiene necesidad de tomar tratamiento inmunosupresor, evitándose los efectos secundarios y los problemas asociados a la inmunodepresión.
Por tanto, un tercer aspecto de la invención se refiere al uso del biomaterial o del tejido artificial de la invención para incrementar, restaurar o sustituir parcial o totalmente la actividad funcional de un tejido o un órgano enfermo o dañado. 50
Una realización más preferida refiere al uso del tejido artificial de la invención para incrementar, restaurar o sustituir parcial o totalmente la actividad funcional de una piel enferma o dañada como consecuencia de una disfunción, una lesión o una enfermedad seleccionada de la lista que comprende: una herida, una úlcera, una quemadura, una neoplasia benigna o maligna, una infección, una contusión, un 5 traumatismo, una causticación o una malformación congénita.
Una realización preferida de este tercer aspecto se refiere al uso del tejido artificial de la invención para incrementar, restaurar o sustituir parcial o totalmente la actividad funcional de una vejiga. Una realización más preferida refiere al uso del tejido artificial de la invención para incrementar, restaurar o sustituir parcial o totalmente la actividad 10 funcional de una vejiga enferma o dañada como consecuencia de una disfunción, una lesión o una enfermedad seleccionada de la lista que comprende: una neoplasia benigna o maligna, una infección, un traumatismo, una malformación congénita (como por ejemplo, pero sin limitarse, una extrofia vesical, una extrofia de cloaca o una microvejiga) , una vejiga neurógena, una incontinencia urinaria, una disfunción vesical, 15 una infección o una litiasis vesical.
Una realización preferida de este tercer aspecto se refiere al uso del tejido artificial de la invención para incrementar, restaurar o sustituir parcial o totalmente la actividad funcional de una uretra. Una realización más preferida refiere al uso del tejido artificial de la invención para incrementar, restaurar o sustituir parcial o totalmente la actividad 20 funcional de una uretra enferma o dañada como consecuencia de una disfunción, una lesión o una enfermedad seleccionada de la lista que comprende: una neoplasia benigna o maligna, una infección, un traumatismo, una malformación congénita (como por ejemplo, pero sin limitarse, un hispospadias o un epispadias) o una estenosis.
Una realización preferida de este tercer aspecto se refiere al uso del tejido artificial de 25 la invención para incrementar, restaurar o sustituir parcial o totalmente la actividad funcional de una córnea. Una realización más preferida refiere al uso del tejido artificial de la invención para incrementar, restaurar o sustituir parcial o totalmente la actividad funcional de una córnea enferma o dañada como consecuencia de una disfunción, una lesión o una enfermedad seleccionada de la lista que comprende: una úlcera corneal, 30 un queratocono, un queratoglobo, un descematocele, un traumatismo, una causticación, una insuficiencia límibica, una queratitis atrófica, una distrofia corneal, una queratopatía primaria o secundaria, una infección, un leucoma, una queratopatía bullosa, un fallo endotelial corneal o una neoplasia benigna o maligna.
Una realización preferida de este tercer aspecto se refiere al uso del tejido artificial de 35 la invención para la elaboración de un medicamento para incrementar, restaurar o sustituir parcial o totalmente la actividad funcional de una mucosa, preferiblemente de una mucosa oral. Una realización aún más preferida se refiere al uso del tejido artificial de la invención para incrementar, restaurar o sustituir parcial o totalmente la actividad funcional de una mucosa oral enferma o dañada como consecuencia de una 40 disfunción, una lesión o una enfermedad seleccionada de la lista que comprende: una herida, una úlcera, una quemadura, una neoplasia benigna o maligna, una infección, una contusión, un traumatismo, una causticación, una malformación congénita, una pérdida de sustancia o una enfermedad periodontal. En una forma preferida de realización, el tejido que se usa para incrementar, restaurar o sustituir parcial o 45 totalmente la actividad funcional de una mucosa es un tejido que ha sido sometido a un paso de adición de una proteína. En una forma de realización aún más preferida, dicho paso se lleva a cabo mediante la adición de una composición que comprende colágeno tal y como se indicó en detalle anteriormente.
Un cuarto aspecto de la invención se refiere al uso del tejido de la invención en la elaboración de un medicamento, o alternativamente, al biomaterial o el tejido de la invención para su uso en medicina.
Dicho medicamento es un medicamento de terapia celular somática. Se entiende por "terapia celular somática" la utilización de células somáticas vivas, autólogas, 5 alogénicas o xenogénicas, cuyas características biológicas han sido alteradas sustancialmente como resultado de su manipulación, para obtener un efecto terapéutico, de diagnóstico o preventivo, por medios metabólicos, farmacológicos o inmunológicos. Entre los medicamentos de terapia celular somática se encuentran, por ejemplo, pero sin limitarse: células manipuladas para modificar sus propiedades 10 inmunológicas, metabólicas o funcionales de otro tipo en aspectos cualitativos o cuantitativos; células clasificadas, seleccionadas y manipuladas, que se someten posteriormente a un proceso de fabricación con el fin de obtener el producto terminado; células manipuladas y combinadas con componentes no celulares (por ejemplo, matrices o productos sanitarios biológicos o inertes) que ejercen la acción 15 pretendida en principio en el producto acabado; derivados de células autólogas expresadas ex vivo (in vitro) en condiciones específicas de cultivo; o células modificadas genéticamente o sometidas a otro tipo de manipulación para expresar propiedades funcionales homologas o no homologas anteriormente no expresadas.
Un quinto aspecto de la invención se refiere a e refiere al uso del tejido artificial de la 20 invención para la elaboración de un medicamento para incrementar, restaurar o sustituir parcial o totalmente la actividad funcional de un tejido o un órgano. En una realización preferida, el tejido o el órgano dañado se seleccionan de la lista que comprende: piel, vejiga, uretra, córnea, mucosa, conjuntiva, pared abdominal, conjuntiva, tímpano, faringe, laringe, intestino, peritoneo, ligamento, tendón, hueso, 25 meninge o vagina.
Una realización preferida de este aspecto se refiere al uso del tejido artificial de la invención para la elaboración de un medicamento para incrementar, restaurar o sustituir parcial o totalmente la actividad funcional de un tejido o un órgano enfermo o dañado como consecuencia de una enfermedad infecciosa, inflamatoria, genética o 30 degenerativa, un daño físico o químico o una interrupción del flujo sanguíneo.
Una realización más preferida de este aspecto se refiere al uso del tejido artificial de la invención para la elaboración de un medicamento para incrementar, restaurar o sustituir parcial o totalmente la actividad funcional de una piel. Una realización aún más preferida se refiere al uso del tejido artificial de la invención para la elaboración de 35 un medicamento para incrementar, restaurar o sustituir parcial o totalmente la actividad funcional de una piel enferma o dañada como consecuencia de una disfunción, una lesión o una enfermedad seleccionada de la lista que comprende: una herida, una úlcera, una quemadura, una neoplasia benigna o maligna, una infección, una contusión, un traumatismo, una causticación o una malformación congénita. 40
Una realización más preferida de este aspecto se refiere al uso del tejido artificial de la invención para la elaboración de un medicamento para incrementar, restaurar o sustituir parcial o totalmente la actividad funcional de una vejiga. Una realización aún más preferida de este aspecto se refiere al uso del tejido artificial de la invención para la elaboración de un medicamento para incrementar, restaurar o sustituir parcial o 45 totalmente la actividad funcional de una vejiga enferma o dañada como consecuencia de una disfunción, una lesión o una enfermedad seleccionada de la lista que comprende: una neoplasia benigna o maligna, una infección, un traumatismo, una malformación congénita (como por ejemplo, pero sin limitarse, una extrofia vesical, una extrofia de cloaca o una microvejiga) , una vejiga neurógena, una incontinencia 50 urinaria, una disfunción vesical, una infección o una litiasis vesical.
Una realización más preferida de este aspecto se refiere al uso del tejido artificial de la invención para la elaboración de un medicamento para incrementar, restaurar o sustituir parcial o totalmente la actividad funcional de una uretra. Una realización aún más preferida de este aspecto se refiere al uso del tejido artificial de la invención para la elaboración de un medicamento para incrementar, restaurar o sustituir parcial o 5 totalmente la actividad funcional de una uretra enferma o dañada como consecuencia de una disfunción, una lesión o una enfermedad seleccionada de la lista que comprende: una neoplasia benigna o maligna, una infección, un traumatismo, una malformación congénita (como por ejemplo, pero sin limitarse, un hispospadias o un epispadias) o una estenosis. 10
Una realización más preferida de este aspecto se refiere al uso del tejido artificial de la invención para la elaboración de un medicamento para incrementar, restaurar o sustituir parcial o totalmente la actividad funcional de una córnea. Una realización aún más preferida de este aspecto se refiere al uso del tejido artificial de la invención para la elaboración de un medicamento para incrementar, restaurar o sustituir parcial o 15 totalmente la actividad funcional de una córnea enferma o dañada como consecuencia de una disfunción, una lesión o una enfermedad seleccionada de la lista que comprende: una úlcera corneal, un queratocono, un queratoglobo, un descematocele, un traumatismo, una causticación, una insuficiencia límibica, una queratitis atrófica, una distrofia corneal, una queratopatía primaria o secundaria, una infección, un 20 leucoma, una queratopatía bullosa, un fallo endotelial corneal o una neoplasia benigna o maligna.
Una realización más preferida de este aspecto se refiere al uso del tejido artificial de la invención para la elaboración de un medicamento para incrementar, restaurar o sustituir parcial o totalmente la actividad funcional de una mucosa, preferiblemente una 25 mucosa oral. Una realización aún más preferida se refiere al uso del tejido artificial de la invención para la elaboración de un medicamento para incrementar, restaurar o sustituir parcial o totalmente la actividad funcional de una mucosa oral enferma o dañada como consecuencia de una disfunción, una lesión o una enfermedad seleccionada de la lista que comprende: una herida, una úlcera, una quemadura, una 30 neoplasia benigna o maligna, una infección, una contusión, un traumatismo, una causticación, una malformación congénita, una pérdida de sustancia o una enfermedad periodontal. En una forma preferida de realización, el tejido que se para la elaboración de un medicamento para incrementar, restaurar o sustituir parcial o totalmente la actividad funcional de una mucosa es un tejido que ha sido sometido a la 35 adición de una proteína. En una forma de realización aún más preferida, dicho paso se lleva a cabo mediante la adición de una composición que comprende colágeno al material tal y como se indicó en detalle anteriormente.
Un sexto aspecto de la invención se refiere a a una composición farmacéutica que comprende el tejido artificial de la invención. 40
Una realización preferida de este aspecto de la invención se refiere a una composición farmacéutica que comprende el tejido artificial de la invención para su uso en terapia celular somática.
Una realización más preferida de este aspecto de la invención se refiere a una composición farmacéutica que comprende el tejido artificial de la invención para 45 incrementar, restaurar o sustituir parcial o totalmente la actividad funcional de un tejido o un órgano. Preferiblemente, el tejido u órgano dañado se selecciona de entre: córnea, piel, mucosa oral, nervio periférico, vejiga y cartílago.
Una realización preferida de este aspecto de la invención se refiere a una composición farmacéutica que comprende el tejido artificial de la invención para incrementar, 50
restaurar o sustituir parcial o totalmente la actividad funcional de un tejido o un órgano enfermo o dañado como consecuencia de una enfermedad infecciosa, inflamatoria, genética o degenerativa, un daño físico o químico o una interrupción del flujo sanguíneo.
Una realización más preferida de este aspecto de la invención se refiere a una 5 composición farmacéutica que comprende el tejido artificial de la invención para incrementar, restaurar o sustituir parcial o totalmente la actividad funcional de una piel. Una realización aún más preferida se refiere a una composición farmacéutica que comprende el tejido artificial de la invención para incrementar, restaurar o sustituir parcial o totalmente la actividad funcional de una piel enferma o dañada como 10 consecuencia de una disfunción, una lesión o una enfermedad seleccionada de la lista que comprende: una herida, una úlcera, una quemadura, una neoplasia benigna o maligna, una infección, una contusión, un traumatismo, una causticación o una malformación congénita.
Una realización más preferida de este aspecto de la invención se refiere a una 15 composición farmacéutica que comprende el tejido artificial de la invención para incrementar, restaurar o sustituir parcial o totalmente la actividad funcional de una vejiga. Una realización aún más preferida se refiere a una composición farmacéutica que comprende el tejido artificial de la invención para incrementar, restaurar o sustituir parcial o totalmente la actividad funcional de una vejiga enferma o dañada como 20 consecuencia de una disfunción, una lesión o una enfermedad seleccionada de la lista que comprende: una neoplasia benigna o maligna, una infección, un traumatismo, una malformación congénita (como por ejemplo, pero sin limitarse, una extrofia vesical, una extrofia de cloaca o una microvejiga) , una vejiga neurógena, una incontinencia urinaria, una disfunción vesical, una infección o una litiasis vesical. 25
Una realización más preferida de este aspecto de la invención se refiere a una composición farmacéutica que comprende el tejido artificial de la invención para incrementar, restaurar o sustituir parcial o totalmente la actividad funcional de una uretra. Una realización aún más preferida se refiere a una composición farmacéutica que comprende el tejido artificial de la invención para incrementar, restaurar o sustituir 30 parcial o totalmente la actividad funcional de una uretra enferma o dañada como consecuencia de una disfunción, una lesión o una enfermedad seleccionada de la lista que comprende: una neoplasia benigna o maligna, una infección, un traumatismo, una malformación congénita (como por ejemplo, pero sin limitarse, un hispospadias o un epispadias) o una estenosis. 35
Una realización más preferida de este aspecto de la invención se refiere a una composición farmacéutica que comprende el tejido artificial de la invención para incrementar, restaurar o sustituir parcial o totalmente la actividad funcional de una córnea. Una realización aún más preferida se refiere a una composición farmacéutica que comprende el tejido artificial de la invención para incrementar, restaurar o sustituir 40 parcial o totalmente la actividad funcional de una córnea enferma o dañada como consecuencia de una disfunción, una lesión o una enfermedad seleccionada de la lista que comprende: una úlcera corneal, un queratocono, un queratoglobo, un descematocele, un traumatismo, una causticación, una insuficiencia límibica, una queratitis atrófica, una distrofia corneal, una queratopatía primaria o secundaria, una 45 infección, un leucoma, una queratopatía bullosa, un fallo endotelial corneal o una neoplasia benigna o maligna.
Una realización más preferida de este aspecto se refiere a una composición farmacéutica que comprende el tejido artificial de la invención para la elaboración de un medicamento para incrementar, restaurar o sustituir parcial o totalmente la actividad 50 funcional de una mucosa, preferiblemente una mucosa oral. Una realización aún más preferida se refiere una composición farmacéutica que comprende el tejido artificial de la invención para incrementar, restaurar o sustituir parcial o totalmente la actividad funcional de una mucosa oral enferma o dañada como consecuencia de una disfunción, una lesión o una enfermedad seleccionada de la lista que comprende: una herida, una úlcera, una quemadura, una neoplasia benigna o maligna, una infección, 5 una contusión, un traumatismo, una causticación, una malformación congénita, una pérdida de sustancia o una enfermedad periodontal. En una forma preferida de realización la composición farmacéutica que comprende el tejido artificial de la invención para la elaboración de un medicamento para incrementar, restaurar o sustituir parcial o totalmente la actividad funcional de una mucosa o de una mucosa 10 oral es un tejido al que se ha añadido una proteína. En una forma de realización aún más preferida, dicho paso se lleva a cabo mediante la adición de una composición que comprende colágeno al material obtenido tal y como se indicó en detalle anteriormente.
En una realización preferida de este aspecto de la invención, la composición 15 farmacéutica comprende el tejido artificial de la invención, y además, un vehículo farmacéuticamente aceptable. En otra realización preferida de este aspecto de la invención, la composición farmacéutica comprende el tejido artificial de la invención, y además, otro principio activo. En una realización preferida de este aspecto de la invención, la composición farmacéutica comprende el tejido artificial de la invención y, 20 además, junto con un vehículo farmacéuticamente aceptable, otro principio activo.
Las composiciones farmacéuticas de la presente invención pueden utilizarse en un método de tratamiento de forma aislada o conjuntamente con otros compuestos farmacéuticos.
25
PROCEDIMIENTO DE OBTENCIÓN DEL BIOMATERIAL Y EL TEJIDO DE LA INVENCIÓN
Un séptimo aspecto de la invención se refiere a un método para elaborar el tejido artificial de la invención que comprende:
a) anadir un agente antifibrinolitico a una composicion que comprende 30 fibrinógeno (o fibrina) ;
b) anadir, al menos, un factor de coagulacion, una fuente de calcio, trombina, o cualquier combinación de los anteriores al producto resultante del paso (a) ;
c) anadir una composicion que comprende un polisacárido, al producto resultante del paso (b) , y dejar gelificar; 35
d) someter el producto resultante del paso (c) a un proceso de nanoestructuración controlada;
e) inducir el cross-linking con un compuesto de fórmula (I) según se ha descrito en el primer aspecto de la invención, del resultante del paso (b) y/o (d) ;
f) sembrar los productos del paso (c) y/o (e) con células de un mamífero. 40
Para la correcta diferenciación de algunos tipos celulares puede ser necesario un paso adicional. Por ejemplo, en el caso de las células del epitelio de la mucosa oral, los queratinocitos o las células del epitelio corneal, puede ser necesario exponer la superficie epitelial al aire para promover la correcta estratificación y maduración del epitelio manteniendo la matriz que comprende las células del paso (a) sumergida en 45 medio de cultivo (técnica aire líquido).
Por tanto, en una realización preferida, el método de la invención, además de los pasos (a) - (g) descritos anteriormente comprende un paso adicional en el que el producto resultante del paso (f) se expone al aire. En general, el método de la invención incluye este paso cuando se emplea para obtener un tejido artificial que sirva para reemplazar a un tejido natural cuyo epitelio se encuentra expuesto 5 normalmente al contacto con el aire como, por ejemplo, pero sin limitarnos, la piel, la córnea, la mucosa oral, la uretra o la vagina. Preferiblemente, este paso se realiza cuando se prepara un tejido sustituto de piel o una piel artificial, o cuando se prepara un tejido sustituto de córnea o una córnea artificial, o cuando se prepara un tejido sustituto de mucosa oral o una mucosa oral artificial. 10
A lo largo de la descripción y las reivindicaciones, el término "comprende" y sus variantes no pretenden excluir otras características técnicas, aditivos, componentes o pasos. Para los expertos en la materia, otros objetos, ventajas y características de la invención se desprenderán en parte de la descripción y en parte de la práctica de la invención. Las siguientes figuras y ejemplos se proporcionan a modo de ilustración, y 15 no se pretende que sean limitativos de la presente invención.
EJEMPLOS DE LA INVENCIÓN
Los siguientes ejemplos específicos que se proporcionan en este documento de 20 patente sirven para ilustrar la naturaleza de la presente invención. Estos ejemplos se incluyen solamente con fines ilustrativos y no han de ser interpretados como limitaciones a la invención que aquí se reivindica. Por tanto, los ejemplos descritos más adelante ilustran la invención sin limitar el campo de aplicación de la misma.
25
Método in vitro de preparación del tejido artificial El tejido artificial de la invención se preparó tal como se describe en los siguientes pasos:
a) anadir una composicion que comprende fibrinogeno humano (plasma purificado) ; 30
b) anadir un agente antifibrinolitico (ácido tranexámico) al producto resultante del paso (a) ;
c) anadir, al menos, un factor de coagulacion, una fuente de calcio, trombina, o cualquier combinación de los anteriores al producto resultante del paso (b) ;
d) anadir una composicion que comprende un polisacárido (agarosa o similar) 35 al producto resultante del paso (c) , y dejar gelificar;
e) someter el producto resultante del paso (c) a un proceso de nanoestructuración controlada;
f) inducir el cross-linking con Genipin del resultante del paso (c) y/o (e) ;
g) sembrar los productos del paso (c) y/o (e) con células humanas o de algún 40 modelo animal de experimentación.
El tejido resultante se sometió a una serie de caracterizaciones y pruebas que se describen a continuación.
Resultados Caracterización biomecánica (reología) : 5
Las propiedades mecánicas de las muestras de tejidos se midieron, a las 24 horas de su preparación a 37 ºC, con un reómetro de esfuerzo controlado de la marca Haake MARS III (Thermo Fisher Scientific, USA). La geometría de medida empleada fue la de placas paralelas, que consistía en dos discos con un diámetro de 3, 5 cm, dónde la superficie en contacto con la muestra presentaba rugosidad para evitar fenómenos de 10 deslizamiento en superficie. La gelificación de las muestras de tejido se había realizado en placas de cultivo de 6 pocillos con un diámetro de 3, 5 cm, igual que el de las placas del reómetro.
El procedimiento seguido fue el siguiente; se sitúa la muestra de tejido sobre la placa inferior del reómetro, y poco a poco se va acercando el plato superior hasta que la 15 fuerza normal es ligeramente superior a 0 N (0, 05 N aprox.). La distancia entre las dos placas del sistema de medida para la que se alcanzó dicho valor de fuerza normal varió de una muestra a otra, encontrándose para los geles no nanoestructurados (FAH) entre 2, 5 - 5, 8 mm y para los geles nanoestructurados (NFAH) entre 50-400 µm.
La consistencia biomecánica de los hidrogeles generados se evaluó tanto en régimen 20 estacionario como en régimen dinámico, siguiendo los siguientes protocolos:
(i) Estado estacionario. En este tipo de ensayo, la muestra se somete a una rampa de esfuerzos de corte, midiéndose para cada valor el esfuerzo de corte necesario para mantener la deformación en estado estacionario. En los experimentos realizados, se mantuvo cada valor de deformación aplicada durante 10 s. Este proceso 25 se repitió para valores crecientes de deformación (rampa de deformación) hasta alcanzarse la zona de dependencia esfuerzo-deformación no lineal. Una dependencia típica del esfuerzo con la deformación de cizalla para este tipo de experimentos se muestra en la Figura 1. Como se puede observar, a bajos valores de la deformación existe una dependencia aproximadamente lineal del esfuerzo con la deformación. A 30 medida que aumenta la deformación aplicada, la linealidad comienza a perderse, tomando la curva una forma cóncava, que indica que la deformación sucesiva del material es más fácil a medida que este se encuentra más deformado -es decir, los incrementos de esfuerzo para igual incremento de deformación son menores a medida que aumenta la deformación. Se trata del comportamiento típico de los materiales 35 elásticos reales. La consistencia de un material en régimen estacionario suele cuantificarse con el valor de su módulo de rigidez, que es la pendiente de la zona lineal en las curvas esfuerzo de corte vs. deformación de corte.
(ii) Estado dinámico. En este tipo de ensayos, la muestra se somete a un esfuerzo 40 de corte oscilatorio de frecuencia y amplitud dadas y se mide el esfuerzo de corte resultante. Habitualmente se aplican esfuerzos oscilatorios sinusoidales y, dentro de la llamada zonal viscoelástica lineal, el esfuerzo resultante es también sinusoidal, de la misma frecuencia que la deformación, pero desfasado respecto de ella [Macosko, 1994]. Bajo estas condiciones se puede descomponer el esfuerzo en la suma de la 45 parte en fase con la deformación y la parte en oposición de fase con la misma. De este modo, se pueden definir los modulos viscoelásticos, G (modulo elástico) y G (modulo viscoso) , de la siguiente forma: siendo G el cociente entre la amplitud de la parte del esfuerzo en fase con la deformacion y la amplitud de la misma, y G el cociente entre la amplitud de la parte del esfuerzo en oposición de fase con la deformación y la amplitud de esta. Dentro de la zona viscoelástica lineal (ZVL) , G cuantifica la respuesta elástica del material, mientras que G su respuesta viscosa. Para la caracterización del estado dinámico realizamos dos tipos de ensayos, barridos de 5 amplitud de deformación a frecuencia constante y barridos de frecuencia a amplitud constante.
a. Barrido en amplitud a frecuencia constante. Durante este ensayo, la muestra se sometió a una deformación de corte de amplitud creciente, manteniéndose constante la frecuencia, e igual a 1 Hz. Para cada valor de amplitud se realizaron 5 ciclos de 10 oscilación, tomándose la media de los tres últimos ciclos, descartándose los 2 primeros para eliminar los transitorios. Una dependencia tipica de G y G en estos experimentos se muestra en la Figura 2. Como se puede observar, tanto G como G presentan un valor inicial (bajos valores de amplitud de deformación) aproximadamente independiente de la amplitud de deformacion, disminuyendo G 15 rápidamente para valores de amplitud de deformación superiores a aprox. 0, 01. Esta brusca disminucion de G marca el inicio la pérdida de linealidad del material. Es habitual caracterizar la respuesta viscoelástica de un material a partir de los valores de G y G correspondientes a la ZVL (zona plana). Téngase en cuenta que los materiales marcadamente elásticos (por ejemplo piel, elastómeros y caucho) presentan valores 20 de G muy superiores a los de G en la ZVL, mientras que los materiales de carácter marcadamente líquido (aceites, grasas, disoluciones acuosas, sangre, etc.) presentan valores superiores de G a G en la ZVL. La muestras de la presente invencion presentan todas ellas un carácter marcadamente elástico, con valores de G muy superiores a los de G. 25
b. Barrido de frecuencia a amplitud constante. En estos ensayos en régimen dinámico, se somete el material a esfuerzos oscilatorios de amplitud constante (perteneciente a la ZVL) y frecuencia variable. Para cada valor de amplitud se realizaron 5 ciclos de oscilación, tomándose la media de los tres últimos ciclos, descartándose los 2 primeros para eliminar los transitorios. Una dependencia típica de 30 las tendencias obtenidas se muestra en la Figura 3. Como se puede observar en dicha figura, G y G presentan una tendencia ligeramente ascendente a medida que la frecuencia de oscilacion aumenta, siendo G muy superior a G en todo el rango de valores. Esta tendencia es típica de materiales poliméricos con un elevado entrecruzamiento [Macosko, 1994]. Notese además, que G presenta una marcada 35 tendencia decreciente a elevados valores de la frecuencia, que parece ser típica de tejidos biológicos humanos [Rodriguez y cols. Cr y obiology 67 (2013) 355-362].
Todos los ensayos mencionados se efectuaron con diferentes alícuotas de cada tipo de muestra. Los resultados que se describen a continuación siempre corresponden a los valores medios obtenidos con al menos 3 alícuotas diferentes. 40
Pasamos a continuación a analizar el efecto del agente químico Genipin en las propiedades mecánicas de los hidrogeles preparados. Aquí mostramos únicamente los valores para el modulo de rigidez G, y los modulos viscoelásticos G y G" correspondientes a la ZVL (Figuras 4, 5 y 6; tablas 1 y 2).
45
Geles no nanoestructurados
Módulo elástico, G (Pa)
Módulo viscoso, G" (Pa)
Módulo de rigidez, G (Pa)
FA-Ctr
±7
8, 9 ±1, 7
31, 5 ±2, 3
Gen 0.1
±8
±3
±8
Gen 0.25
±8
10, 3 ±1, 0
±4
Gen 0.5
610 ±40
124 ±8
490 ±9
Gen 0.75
570 ±160
121 ±19
470 ±120
Tabla 1. Valor del módulo de rigidez, el módulo elástico y el módulo viscoso correspondiente a la zona viscoelástica lineal (correspondiente a una deformación de 5 corte de 0, 01 y una frecuencia de 1Hz) de los hidrogeles no nanoestructurados. Se indica la concentración en % v/v de agente químico Genipin.
Geles nanoestructurados
Módulo elástico, G (Pa)
Módulo viscoso, G" (Pa)
Módulo de rigidez, G (Pa)
FA-Ctr
1130±220
350±90
500±60
Gen 0.1
3400±400
560±40
2700±300
Gen 0.25
3900±400
900±140
4000±800
Gen 0.5
7400±1000
2600±600
5100±1000
Gen 0.75
10600±1700
2200±600
7000±600
10
Tabla 2. Valor del módulo de rigidez, el módulo elástico y el módulo viscoso correspondiente a la zona viscoelástica lineal (correspondiente a una deformación de corte de 0, 01 y una frecuencia de 1Hz) de los hidrogeles nanoestructurados. Se indica la concentración en % v/v de agente químico Genipin.
Como se puede observar por comparación de las figuras 5 y 6 y de las columnas 1 y 2 15 de las tablas 1 y 2, en todos los casos los valores de G son muy superiores a los valores de G, por lo que todos los hidrogeles presentan propiedades marcadamente elásticas, propias de un material polimérico entrecruzado. Es más, para todas las muestras los valores de G son aproximadamente 4 veces superiores a los de G, no afectando la cantidad de Genipin a esta relación de forma apreciable. Así pues, bajo 20 esfuerzos externos, la mayor parte de la energía comunicada al hidrogel se almacenaría en forma de energía elástica (correspondiente al módulo elástico G) , mientras que una pequeña parte se disiparía por rozamiento viscoso (correspondiente al módulo viscoso). En cuanto al efecto de Genipin, podemos observar que consiste en un aumento gradual tanto del módulo de rigidez como de los módulos viscoelásticos, 25 alcanzándose valores hasta un orden de magnitud más elevados (tanto para G, G y G) para la máxima concentracion de Genipin respecto del hidrogel control (ausencia de Genipin) , tanto para los hidrogeles no nanoestructurados como para los nanoestructurados. Como se puede observar, la regulación de las propiedades mecánicas es progresiva, a medida que se pasa del hidrogel control al hidrogel que contiene 0.75 de Genipin, por lo que es posible preparar hidrogeles con propiedades mecánicas regulables en hasta un orden de magnitud eligiendo adecuadamente la 5 concentración del agente químico. Obsérvese, no obstante, que existe una cierta saturación de las propiedades mecánicas para concentraciones de Genipin superiores a 0.5, especialmente evidente en el caso de los hidrogeles no nanoestructurados.
En cuanto al efecto de la nanoestructuración, como se puede observar por comparación directa de los datos de las Figuras 4, 5 y 6, los hidrogeles 10 nanoestructurados presentan valores de los parámetros biomecánicos (G, G y G) unas 20-30 veces superiores a los correspondientes a los hidrogeles no nanoestructurados. Obsérvese además que los valores superiores de los parámetros mecánicos de los hidrogeles no nanoestructurados (alcanzados para las mayores concentraciones de Genipin) son aproximadamente la mitad de los valores de los 15 hidrogeles nanoestructurados control.
En conclusión, a través del efecto de la nanoestructuración y de la concentración de Genipin, es posible regular las propiedades de los hidrogeles de fibrina y agarosa en un rango que va desde los valores de los hidrogeles control no nanoestructurados hasta unas 300 veces el valor de estos hidrogeles. Por último, nótese que el rango de 20 valores de las propiedades mecánicas cubierto por los hidrogeles de esta invención abarca un amplio abanico de tejidos humanos naturales, como se puede comprobar por comparación con la Figura 1 del artículo [Scionti G, Moral M, Toledano M, Osorio R, Duran JDG, Alaminos M, Campos A, Lopez-Lopez MT. Effect of the hydration on the biomechanical properties in a fibrin-agarose tissue-like model. J Biomed Mater Res 25 Part A 2014:102A:2573-2582]. Como se puede comprobar en dicha figura, un gran número de tejidos humanos nativos presentan valores de G' en el rango 1-10000 Pa, valores de G en el rango 0, 1-7000 Pa, y de G en el rango que va hasta los 10000 Pa. Dichos rangos están cubiertos por los hidrogeles de la presente invención.
30
Caracterización estructural:
Los estudios estructurales llevados a cabo por microscopía electrónica de barrido (Figura 7) muestran la composición fibrilar característica del hidrogel de FA no nanoestructurada (FAH) y FA nanoestructurada (NFAH). Los geles no 35 nanoestructurados se caracterizan por estar compuestos por fibras organizadas aleatoriamente, mientras que aquellos geles sometidos a un proceso de nanoestructuración mostraron un patrón más organizado. En ambos casos se conserva la alta porosidad de este biomaterial (Figura 7).
40
Los hidrogeles sometidos a cross-linking con Genipin mostraron un patrón fibrilar y de organización de las fibras comparable a los hidrogeles sin Genipin. Sin embargo, este análisis demuestra que la reacción química con Genipin indujo una disminución en la porosidad de los biomateriales en función a la concentración del agente químico, como se muestra en las imágenes representativas de la Figura 7. 45
Biocompatibilidad ex vivo:
Para determinar la biocompatibilidad de las membranas generadas en esta invención, se utilizarón fibroblastos humanos, los cuales fueron sembrados en la superficie de 5 FAH y de aquellos sometidos a cross-linking con Genipin. Posteriormente se realizó un análisis histológico y la prueba de live-dead cell viability assay (Gibco).
El análisis histológico muestra que los fibroblastos se adhieren a la superficie de la totalidad de los biomateriales. En el caso de la FAH sin cross-linking se ve una gran cantidad de células en el transcurso de tiempo (0-16 días ex vivo) , las cuales 10 incrementan su número, ingresan en el hidrogels y comienzan una progresiva degradación de sus fibras. Cuando se analizaron los hidrogeles sometidos a cross-linking con Genipin se observó que las células se adhieren a la superficie de los biomateriales. Sin embargo, los fibroblastos mostraron una actividad de degradación e invasión considerablemente menor que los hidrogeles sin cross-linking (Figura 8). 15
El test de viabilidad celular (live-dead) mostró una gran cantidad de fibroblastos viables y metabólicamente activos en la superficie de todos los biomateriales analizados (Figura 9). En el caso de los hidrogeles de FAH sin cross-linking (CTR) , se observe desde los 2 días un gran número de células de morfología fusiforme, las cuales incrementaron considerablemente su número después de 16 días de desarrollo ex 20 vivo. Cuando se analizaron los hidrogeles sometidos a cross-linking con Genipin se observó que los fibroblastos se adhieren a la superficie del biomaterial y adoptan su característica morfología fusiforme, especialmente a bajas concentraciones de este agente. Sin embargo, y como demuestra este test, las células cultivadas en la superficie tienen dificultad en el proceso de adhesión celular los 2 primeros días, pero 25 en el transcurso de tiempo incrementan considerablemente su número en aquellos hidrogeles sometidos a cross-linking con Genipin a 0, 75% (Figura 9). En relación a las células muertas, estás se observan con fluorescencia roja. Sin embargo, debido a que las células muertas pierden la función de adhesión, estas son eliminadas de la superficie del biomaterial durante los cambios de medio de cultivo, por lo que no es 30 posible verlas en la superficie de estos hidrogeles.
Finalmente, los análisis histológicos y el test de viabilidad demuestran que los hidrogeles de FAH sometidos a cross-linking con diferentes concentraciones de Genipin son altamente biocompatibles y más resistentes a la degradación por parte de las células cultivadas en la superficie. De esto se puede concluir que el proceso de 35 cross-linking de hidrogeles de FAH con Genipin incrementa las propiedades biomecánicas, mantiene las propiedades de biocompatibilidad y retarda la degradación mediada por las células de estos biomateriales. Por lo tanto, las membranas de FAH químicamente modificadas con Genipin desarrolladas en esta invención podrán ser utilizadas de forma segura en diversas aplicaciones en el campo de la IT. 40
Elaboración de hidrogeles de Fibrina-Agarosa
En este estudio se generaron constructos de FA siguiendo protocolos previamente descritos. Para preparar 30 ml de FA se utilizó 22, 8 ml de plasma humano (proporcionado por el Doctor Fernández-Montoya, del centro Regional de Transfusión Sanguínea y Banco de Tejidos de Granada y Almería) , 2, 25 ml de PBS (con 5% de 45 solución de antibióticos) y 450 µl de ácido tranexámico (amchafibrin®). Esta solución se mezcló cuidadosamente y luego se agregó 1, 5 ml de agarosa tipo VII y 3 ml de cloruro de calcio al 2% (para promover la gelificación) , la solución de mezclo cuidadosamente y se distribuyó en placas de 6 pocillos (con un volumen de 5 ml en c/u). Los constructos de FA se dejaron gelificar durante aproximadamente 2 horas a 37ºC. Como resultado, obtuvimos constructos de FA acelulares con un volumen de 5 mL, 0, 5 cm de espesor y 3, 5 de diámetro.
Una vez completada la gelificación de los constructos de FA se procedió a la nanoestructuración de los mismos mediante compresión plástica. Para ello se 5 colocaron las muestras entre un par de filtros de nylon (con un tamaño de poro de 0, 22 µm) y posteriormente se comprimieron entre un par de filtros absorbentes estériles de 3 mm de espesor. Posteriormente se ejerció un peso de 500 gr por un período de 3 minutos, obteniéndose constructos de FA de 30 mm de diámetro y entre 50-400 µm de espesor. 10
Cross-linking de constructos de fibrina-agarosa En esta invención los constructos de FA (FAH y NFAH) fueron sometidos a cross-linking con 4 concentraciones de Genipin (0, 1%, 0, 25%, 0, 5%, 0, 75%). En este sentido, se añadió 5 ml de Genipin a cada pocillo y fueron cubiertos con papel de aluminio e incubados durante 72 horas a 37ºC. Transcurrido este tiempo se comprobó 15 la reacción de entrecruzamiento por la coloración azul del constructo y posteriormente se procedió con el lavado con PBS con 5% de antibiótico durante 24 horas.