3. Los grupos funcionales terminales están posicionados en la periferia del dendrímero. Una ventaja de estas estructuras dendríticas es que es posible su funcionalización y/o sustitución y/o conjugación en el interior y/o en la periferia.
Una ventaja adicional es que se puede lograr un alto control del tamaño de la estructura global, el tamaño de los canales o cavidades interiores, el tamaño de los poros en la superficie del dendrímero (la boca o entrada de los canales) , en función del número de generaciones de la estructura y la naturaleza de las unidades tetraédricas y los conectores.
Además, el hecho de que estas características se logren para generaciones bajas tiene la ventaja de que estos dendrímeros se puede obtener en una síntesis más corta.
Así, en un aspecto la invención se dirige a un compuesto de fórmula (I)
donde
n representa el número de capas de la unidad de repetición D y es un valor que se selecciona entre 1, 2, 3 y 4,
R se selecciona independientemente de entre hidrógeno, alquilo sustituido o no sustituido, alquenilo sustituido o no sustituido, alquinilo sustituido o no sustituido, arilo sustituido o no sustituido, heterociclilo sustituido o no sustituido, arilalquilo sustituido o no sustituido, heterocicloalquilo sustituido o no sustituido, hidroxilo, alcoxilo, tioalcoxilo, amino, alquilcarboxilo, alcoxicarbonilo, -CO2H, aminocarbonilo, nitro, CF3, - (OCH2CH2) p- OH, - (OCH (CH3) CH2) p- OH, donde p tiene un valor entre 1 y 100, - (OCH2CH2) j- OCH3, - (OCH (CH3) CH2) j -OCH3, donde j tiene un valor entre 1 y 10,
D representa una unidad de repetición con la siguiente fórmula, que se selecciona independientemente para cada capa
A representa un enlace sencillo que une esta unidad de repetición D con otra unidad de repetición D, o con R,
X se selecciona de entre el grupo constituido por
m y m1 se seleccionan independientemente entre 1, 2, 3 ó 4,
k y kl se seleccionan independientemente entre 1, 2, 3 ó 4,
s' es 1, 2, 3, 4,
Y' se selecciona de entre el grupo constituido por hidrógeno, alquilo sustituido o no sustituido, alquenilo sustituido o no sustituido, alquinilo sustituido o no sustituido, arilo sustituido o no sustituido, heterociclilo sustituido o no sustituido, arilalquilo sustituido o no sustituido, heterocicloalquilo sustituido o no sustituido, hidroxilo, alcoxilo, tioalcoxilo, amino, alquilcarboxilo, alcoxicarbonilo, -CO2H, aminocarbonilo, nitro y CF3,
cada Y1, Y2, Y3, Y4 se selecciona independientemente de entre el grupo constituido por hidrógeno, alquilo sustituido o no sustituido, alquenilo sustituido o no sustituido, alquinilo sustituido o no sustituido, arilo sustituido o no sustituido, heterociclilo sustituido o no sustituido, arilalquilo sustituido o no sustituido, heterocicloalquilo sustituido o no sustituido, hidroxilo, alcoxilo, - (OCH2CH2) j- OCH3, donde j tiene un valor entre 1 y 10, alcoxicarbonilo, aminocarbonilo, -CO2H y amino,
cada s1, s2, s3, s4 se selecciona de forma independiente de entre 1, 2, 3, 4.
En otro aspecto, la invención se dirige a un procedimiento para la preparación de un compuesto de fórmula I como se definió anteriormente.
En otro aspecto, la invención se dirige al uso de un compuesto de fórmula I como se definió anteriormente, como componentes de sistemas micro o nano electrónicos, en sensores, para preparar cristales líquidos, para utilizar como sondas en la microscopía de sonda de barrido (STM) , para preparar materiales emisores de luz (OLEDs y DLEDs) , "light-harvesting antennas", materiales transportadores de carga, materiales fluorescentes.
Descripción de las figuras
Figura 1. Representa el resultado de la modelización molecular para el compuesto 8.
Figura 2. Representa el resultado de la modelización molecular para el compuesto 12.
Descripción detallada de la invención
"Alquilo" se refiere a una cadena hidrocarbonada lineal o ramificada, cíclica o acíclica formada por átomos de carbono e hidrógeno, sin insaturaciones, de 1 a 12, preferiblemente ocho, más preferiblemente de uno a cuatro átomos de carbono, y que se une al resto de la molécula mediante un enlace sencillo, opcionalmente sustituido por uno o más sustituyentes seleccionados entre el grupo consistente en un átomo de flúor, un grupo hidroxilo, un grupo carboxilo, un grupo alcoxilo, un grupo arilo, un grupo ciano, un grupo nitro, un grupo amino, un grupo aminocarbonilo, un grupo tioalcoxilo, un grupo tioacetato, un grupo heterociclilalquilo, un grupo heterociclilo o CF3, por ejemplo, metilo, etilo, n-propilo, i-propilo, n-butilo, t-butilo, n-pentilo, ciclopropilo, etc.
"Alquenilo" se refiere a una cadena hidrocarbonada lineal o ramificada, cíclica o acíclica formada por átomos de carbono e hidrógeno, que contiene al menos una insaturación, conjugada o no, de 2 a 12, preferiblemente de dos a ocho, más preferiblemente de dos a cuatro átomos de carbono, y que se une al resto de la molécula mediante un enlace sencillo. Los radicales alquenilo pueden estar opcionalmente sustituidos por uno o más sustituyentes tales como un átomo de flúor, un grupo hidroxilo, un grupo carboxilo, un grupo alcoxilo, un grupo ciano, un grupo nitro, un grupo amino, un grupo aminocarbonilo, un grupo tioalcoxilo, un grupo heterociclilalquilo, un grupo heterocíclilo o CF3; por ejemplo, vinil, alil, butenil (por ejemplo, 1-butenil, 2-butenil, 3-butenil) , o pentenil (por ejemplo, 1-pentenil, 2-pentenil, 3-pentenil, 4-pentenil) .
"Alquinilo" se refiere a una cadena hidrocarbonada lineal o ramificada, cíclica o acíclica formada por átomos de carbono e hidrógeno, que contiene al menos un triple enlace carbono-carbono no terminal, conjugado o no, de tres a doce, preferiblemente de tres a ocho, más preferiblemente de tres a cuatro átomos de carbono, y que se une al resto de la molécula mediante un enlace sencillo, tal como -CCCH3, -CH2CCCH3. Los radicales alquinilo pueden estar opcionalmente sustituidos por uno o más sustituyentes tales como un átomo de flúor, un grupo hidroxilo, un grupo carboxilo, un grupo alcoxilo, un grupo ciano, un grupo nitro, un grupo tioalcoxilo, un grupo heterociclilalquilo, un grupo heterocíclilo o CF3.
"Arilo" se refiere a un hidrocarburo aromático de 6 a 10 átomos de carbono, tal como fenilo o naftilo, opcionalmente sustituido por uno o más sustituyentes seleccionados entre el grupo consistente en un átomo de flúor, un grupo hidroxilo, un grupo carboxilo, un grupo alcoxilo, un grupo ciano, un grupo nitro, un grupo amino, un grupo aminocarbonilo, un grupo tioalcoxilo, un grupo alquilo o CF3.
"Arilalquilo" se refiere a uno o varios grupos arilo unidos al resto de la molécula mediante un radical alquilo, por ejemplo, bencil, 3- (fenil) -propil, etc.
"Heterociclilo" se refiere a un anillo estable de 3 a 15 miembros formado por átomos de carbono y entre 1 a 5 heteroátomos escogidos entre nitrógeno, oxígeno y azufre, preferiblemente un anillo de 4 a 8 miembros formado por uno o más heteroátomos, y más preferiblemente un anillo de 5 a 6 miembros con uno o más heteroátomos. Para los propósitos de esta invención, los grupos heterociclilo pueden ser sistemas monocíclicos, bicíclicos o triciclicos, que pueden incluir anillos fusionados; y el átomo de nitrógeno o de azufre en el anillo heterocíclico puede estar opcionalmente oxidado; el átomo de nitrógeno puede estar opcionalmente cuartenarizado; y el radical heterocíclilo puede estar parcial o totalmente saturado. Los radicales heterocíclilos pueden ser aromáticos (por ejemplo, pueden tener uno o más anillos aromáticos) en cuyo caso se consideran como "heteroarilos" para los propósitos de la presente invención. El anillo heterocícüco puede estar sustituido por uno o más sustituyentes seleccionados entre el grupo consistente en un átomo de flúor, un grupo hidroxilo, un grupo carboxilo, un grupo alcoxilo, un grupo alquilo, un grupo amino, un grupo aminocarbonilo, un grupo tioalcoxilo, un grupo ciano, un grupo nitro, CF3 o a otro grupo heterociclilo (ejemplo de dos tiofenos unidos) . Ejemplos de tales heterociclos incluyen, por ejemplo, furano, tiofeno, pirrol, imidazol, triazol, isotiazol, benzotiofeno, benzofurano, indol, benzoimidazol, tetrahidrofurano.
"Alcoxilo" se refiere a un radical de fórmula -O-alquilo, por ejemplo, metoxilo, etoxilo, propoxilo, isopropoxilo, etc.
"Tioalcoxilo" se refiere a un radical de fórmula -S-alquilo, por ejemplo, tiometoxilo, tioetoxilo, tiopropoxilo, etc.
"Amino" se refiere a un radical de fórmula -NRbRc donde cada Rb y Rc se selecciona independientemente entre el grupo consistente en hidrógeno, alquilo sustituido o no sustituido, alquenilo sustituido o no sustituido, alquinilo sustituido o no sustituido, arilo sustituido o no sustituido, heterociclilo sustituido o no sustituido, arilaquilo sustituido o no sustituido y heterociclilalquilo sustituido o no sustituido; o Rb y Rc juntos forman un anillo heterocíclico de 5 o 6 miembros junto con el átomo de nitrógeno al que están unidos.
"Alquilcarboxilo" se refiere a una radical de fórmula -O-C (=O) -alquilo.
"Alcoxicarbonilo" se refiere a un radical de fórmula -C (=O) -O-alquilo.
"Aminocarbonilo" se refiere a un radical de fórmula -C (=O) -NRbRc, donde Rb y Rc son como se han definido anteriormente.
"Heterociclilalquilo" se refiere a uno o varios grupos heterocíclilos unidos al resto de la molécula mediante un radical alquilo, por ejemplo, 2- (tienil) etil, benzotiofenilmetil, etc.
"Sililo" se refiere a especies trialquilsililo que son comúnmente usadas en química orgánica como grupos protectores, como aquellos descritos en Greene, T. W.; Wuts, P. G. M. "Protective Groups in Organic Synthesis", 3º Ed., Wiley-Interscience, New York, 1999. De acuerdo a una realización particular, un radical de fórmula -SiRdReRf donde Rd, Re y Rf on independentemente seleccionados entre un alquilo sustituido o no sustituido o un arilo sustituido o no sustituido, por ejemplo, metilo, etilo, t-butilo, i-propilo, fenilo, etc.
Para la presente invención se entiende por "forma globular" la forma en la cual las dimensiones de la molécula o estructura en los tres ejes son similares con un margen de error del 25%, es decir la forma global es esférica o de esfera deformada. Una definición similar se aplica a proteínas desde antiguo. Por "forma globular persistente" se entiende forma globular que se mantiene a temperatura ambiente y condiciones normales de presión, independientemente del disolvente en que se encuentre la molécula y también en estado sólido.
Para los propósitos de la presente invención, los dendrímeros son macromoléculas monodispersas constituidas por unidades ramificadas repetitivas que, partiendo de un núcleo central van formando capas sucesivas. El número de capas de unidades de repetición ramificadas desde el núcleo hacia la periferia, n en el compuesto de fórmula I, recibe el nombre de generación (G) del dendrímero. Cada una de las ramas que parte del núcleo, y que a su vez suele contener nuevas subramificaciones, recibe el nombre de dendrón. La parte del dendrón más próxima al núcleo del dendrímero se denomina punto focal. Las unidades de repetición D de la capa más externa portan sustituyentes o grupos funcionales terminales, representados por R en el compuesto de fórmula I. La unidad de repetición D, en el compuesto de fórmula I, tiene valores independientes para cada una de las capas n, es decir, todas las unidades de repetición D de una capa son iguales y pueden ser diferentes de la unidad de repetición D de cada una de las otras capas. En una realización particular, D es el mismo en todas las capas del dendrímero de fórmula I.
En la presente invención, n en el compuesto de fórmula I representa el número de capas de la unidad de repetición D. Así, si n es 1 sólo hay una capa de unidades de repetición y el dendrímero se representa como G1, si n es 2 hay dos capas de unidades de repetición D y el dendrímero se representa como G2, etc. El número de unidades de repetición D es 4 para la capa más próxima al núcleo y luego aumenta por un factor de 3 para cada capa a medida que nos alejamos del núcleo. Por ejemplo, un dendrímero de fórmula I de segunda generación (n=2) tiene 4 unidades D en la capa más próxima al núcleo y 4x3= 12 unidades D en la capa más externa o, por ejemplo, un dendrímero de fórmula I de tercera generación (n=3) tiene 4+12+36 =52 unidades de repetición D repartidas en 3 capas. Así además, cuando n=l hay una capa con 4 unidades D y 12 grupos R, cuando n=2 hay 2 capas con 4 y 12 unidades D y 36 grupos R, cuando n=3 hay 3 capas con 4, 12 y 36 unidades D y 108 grupos R y cuando n=4 hay 4 capas con 4, 12, 36 y 108 unidades D y 324 grupos R.
En una realización particular, n en el compuesto de fórmula I es 1, 2 ó 3. En una realización más particular n es 1 ó 2.
En una realización particular, X en el compuesto de fórmula I se selecciona de entre el grupo constituido por X1, X2, X5, X6 y X7.
En una realización particular, X en el compuesto de fórmula I se selecciona de entre el grupo constituido por X3, X4 y X8.
En una realización particular, X en el compuesto de fórmula I se selecciona de entre el grupo constituido por X1, X6 y X7.
En una realización particular, X en el compuesto de fórmula I es X1.
En una realización particular, cada Y1, Y2, Y3, Y4 en el compuesto de fórmula I, se selecciona independientemente de entre el grupo constituido por hidrógeno, alquilo sustituido o no sustituido, heterociclilo sustituido o no sustituido, hidroxilo, alcoxilo, - (OCH2CH2) j- OCH3, donde j tiene un valor entre 1 y 10, alcoxicarbonilo, -CO2H y amino. Preferiblemente, cada Y1, Y2, Y3, Y4 se selecciona independientemente de entre hidrógeno, alquilo sustituido o no sustituido, alcoxilo y amino. Más preferiblemente, Y1, Y2, Y3, Y4 son hidrógeno.
De acuerdo con una realización particular, Y' en el compuesto de fórmula I se selecciona entre hidrógeno, alquilo sustituido o no sustituido, heterociclilo sustituido o no sustituido, arilalquilo sustituido o no sustituido, hidroxilo, alcoxilo, tioalcoxilo, amino, alquilcarboxilo, alcoxicarbonilo, -CO2H, aminocarbonilo, nitro y CF3. De acuerdo con una realización más particular, Y' en el compuesto de fórmula I se selecciona entre hidrógeno, alquilo sustituido o no sustituido, alcoxilo y amino. De acuerdo con una realización más particular, Y' es hidrógeno.
Cada s1, s2, s3, s4 y s' representa el número de sustituyentes Y o Y' en los correspondientes grupos arilo. De acuerdo con una realización particular, s1, s2, s3, s4 y s' en el compuesto de fórmula I es 1 ó 2, preferiblemente 1.
De acuerdo con una realización particular, R en el compuesto de fórmula I se selecciona entre hidrógeno, alquilo sustituido o no sustituido, alcoxilo, amino y - (OCH2CH2) p- OH, donde p es como se definió anteriormente, - (OCH2CH2) j- OCH3, - (OCH (CH3) CH2) j- OCH3, donde j es como se definió anteriormente. De acuerdo con una realización más particular, R en el compuesto de fórmula I es alcoxilo.
En una realización particular, el grupo alcoxilo es preferiblemente metoxilo, etoxilo o isopropoxilo. En una realización particular, el grupo amino es preferiblemente dimetilamino, dietilamino, diisopropilamino. En una realización particular, el grupo alquilo sustituido está preferiblemente sustituido con alcoxilo o arilo.
De acuerdo con una realización particular, k y k1 en el compuesto de fórmula I es 1. En una realización particular, m y m1 en el compuesto de fórmula I es 1 ó 2.
De acuerdo a una realización más particular, X en el compuesto de fórmula I es X1 y k es 1.
De acuerdo a una realización más particular, en el compuesto de fórmula I Y1, Y2, Y3, Y4 e Y' son hidrógeno, R es alcoxilo, X es X1, k es 1 y n es 1 ó 2.
Síntesis de un compuesto de fórmula I
En otro aspecto, la invención se dirige a un procedimiento de preparación de un compuesto de fórmula I como se definió anteriormente, que comprende una reacción de acoplamiento entre un compuesto de fórmula II y un compuesto de fórmula III
donde,
- si X es X1, X2, X5, X6 o X7, entonces T es hidrógeno, y
- si X es X3, X4 o X8, entonces T es
donde Q y Q' se seleccionan entre hidrógeno, alquilo sustituido o no sustituido, o juntos pueden formar un cicloalquilo sustituido o no sustituido,
cada W1, W2, W3, y W4 se selecciona independientemente de entre cloro, bromo, yodo y -OS (O) 2CF3, y
D, n, Y1, Y2, Y3, Y4, s1, s2, s3, s4, X1, X2, X3, X4, X5, X6, X7 y X8 son como se definieron anteriormente.
En una realización particular, la reacción de acoplamiento tiene lugar en presencia de un catalizador metálico. En una realización particular, el catalizador se selecciona entre Pd (PPh3) 4, Pd (PPh3) 2Cl2, Pd (PhCN) 2Cl2, Pd (OAc) 2, Pd (dppf) 2Cl2•CH2Cl2, Pd2 (dba) 3 o Pd2 (dba) 3•CHCl3, PdCl2, Na2PdCl4, opcionalmente en presencia de fosfinas o arsinas. En una realización particular, la reacción de acoplamiento tiene lugar además en presencia de una base. En una realización particular, dicha base se selecciona de entre el grupo constituido por Et3N, Et2NH, nPrNH2, nPr2NH, iPrNH2, iPr2NH, piridina, piperidina, DBU, Ag2O, Cs2CO3, Na2CO3, K3PO4, K2CO3.
Preferiblemente, la reacción de acoplamiento se selecciona entre el grupo constituido por una reacción tipo Sonogashira-Hagihara y tipo Suzuki-Miyaura. Para los propósitos de la invención, la reacción tipo Sonogashira-Hagihara consiste en el acoplamiento entre un alquino terminal y un bromuro, yoduro o triflato de arilo, catalizada por un complejo de paladio y opcionalmente cocatalizada por un compuesto de cobre (I) , por ejemplo yoduro de cobre o acetato de cobre (II) . El catalizador típico utilizado es Pd (PPh3) 4, PdCl2, Pd (OAc) 2 o Pd (PPh3) 2Cl2 opcionalmente en presencia de fosfinas o arsinas, típicamente seleccionadas entre PPh3, PtBu3, PCy3 o AsPh3. Por lo general la reacción se suele llevar a cabo en presencia de una base, las bases típicas son Et3N, Et2NH, nPrNH2, nPr2NH, iPrNH2, iPr2NH, piridina, piperidina, DBU, Ag2O, Cs2CO3. Condiciones típicas de la reacción de Sonogashira-Hagihara son conocidas por un experto en la materia y algunos ejemplos se pueden consultar en (a) P. Fitton, E. A. Rick, J. Organomet. Chem. 1971, 28, 287-291; (b) Takahashi, S.; Koroyama, Y.; Sosnogashira, K.; Hagihara, N. Synthesis 1980, 627; (c) G.W. Gray, M. Hird, D. Lacey, K. J. Toyne, J. Chem. Soc. Perkin Trans. 2 1989, 2041-2053; (d) Sonogashira, K. In Comprehensive Organic Synthesis; Trost, B. M., Fleming, I., Eds.; Pergamon: Oxford, 1991; Vol. 3, pp 521-549; (e) Chinchilla, R.; Njera, C. Chem. Rev. 2007, 107, 874-922.
Para los propósitos de la invención, la reacción tipo Suzuki-Miyaura consiste en el acoplamiento entre un bromuro, yoduro o triflato de arilo con un ácido arilborónico o un éster de un ácido arilborónico. Los catalizadores generalmente empleados son Pd (PPh3) 4, Pd (PPh3) 2Cl2, Pd (OAc) 2, Pd2 (dba) 3 o Pd2 (dba) 3•CHCl3, opcionalmente en presencia de fosfinas o arsinas, típicamente seleccionadas entre PPh3, PtBu3, PCy3 o AsPh3. En los casos en los que se emplea una base, las bases típicas son Na2CO3, K3PO4, K2CO3.
Condiciones típicas de la reacción de Suzuki-Miyaura son conocidas por un experto en la materia y algunos ejemplos se pueden consultar en (a) Miyaura N, Yanagi T, Suzuki A. Synth. Comm. 1981, 11, 513-519. (b) Miyaura N, Suzuki A. Chem. Rev. 1995, 95, 2457-2483. (c) Tanja Weil, Uwe M. Wiesler, Andreas Herrmann, Roland Bauer, Johan Hofkens, Frans C. De Schr y ver, Klaus Mullen. J. Am. Chem. Soc. 2001, 123, 8101-8108.
Los sustituyentes Y de los grupos arilo del compuesto de fórmula III se seleccionan de forma independiente de los sustituyentes Y de los grupos arilo del compuesto de fórmula II, de manera que el tetraarilmetano central puede ser diferente de las unidades de repetición D en el compuesto de fórmula I. En una realización particular el compuesto de fórmula III tiene los mismos valores para Y que el compuesto de fórmula II.
La preparación de los compuestos de fórmula I se lleva a cabo empleando un método convergente, construyendo los dendrímeros de fórmula I desde la periferia hacia el centro: un dendrón de fórmula II reacciona con la unidad central de fórmula III para preparar los dendrímeros de fórmula I. Los nuevos compuestos de fórmula II son intermedios útiles en la síntesis de los compuestos de fórmula I. Así, los compuestos de fórmula II son también un aspecto adicional de la invención.
Síntesis de un compuesto de fórmula II
Otro aspecto de la invención es un procedimiento de preparación de los compuestos de fórmula II, cuando n en el compuesto de fórmula I es 2, 3, ó 4, que comprende
a) reacción de acoplamiento tipo Sonogashira-Hagihara o Suzuki-Miyaura entre un compuesto de fórmula IIa y un compuesto de fórmula IV
donde
P es un grupo sililo,
cada R1, R2 y R3 se selecciona independientemente de entre los valores de R como se definió anteriormente,
D, n, s1, s2, s3, s4, Y1, Y2, Y3, Y4, X, T, W1, W2 y W3 son como se definieron anteriormente, y
b) activación.
En una realización preferida, P es trimetilsililo cuando X es X3, X4 o X8.
Los compuestos de fórmula IV pueden prepararse mediante una reacción de acoplamiento tipo Sonogashira-Hagihara o Suzuki-Miyaura, como se definieron anteriormente, entre un compuesto de fórmula III, como se definió anteriormente, y 1 equivalente de un compuesto seleccionado de entre el grupo constituido por
donde Y', s', k, m, k1, m1, P, Q y Q' son como se definieron anteriormente.
El compuesto de fórmula IIa es el caso particular del compuesto de fórmula II cuando n es 1, es decir, el dendrón necesario para preparar el dendrímero de generación 1.
La repetición iterativa de las etapas a) a b) tienen como resultado el crecimiento de los dendrones de fórmula II en una generación superior. De este modo, si el compuesto de fórmula IIa necesario para preparar un compuesto de fórmula I de generación 1 (n=1) se somete a una etapa a) en la que reacciona con un compuesto IV, y una etapa b) de activación, se produce como resultado el crecimiento de dicho compuesto en una generación superior, es decir, el compuesto de fórmula II útil en la síntesis de los compuestos de fórmula I de generación 2 (n=2) . Si se repite otra vez esta secuencia de etapas de a) a b) a partir del último compuesto obtenido, se obtiene el compuesto de fórmula II útil en la síntesis de los compuestos de fórmula I de generación 3. Y si se repite otra vez esta secuencia de etapas de a) a b) se obtiene el compuesto de fórmula II útil en la síntesis de los compuestos de fórmula I de generación 4. Es decir, el compuesto de fórmula II útil en la preparación de un compuesto de fórmula I de una generación es, a su vez, el intermedio necesario para preparar el compuesto de fórmula II de la generación siguiente. En cada iteración se seleccionan los valores de los sustituyentes del compuesto de fórmula IV, de forma que un compuesto de fórmula IV puede ser diferente al compuesto de fórmula IV de la iteración anterior, y de este modo se obtienen dendrones cuyas unidades de repetición D pueden ser diferentes para cada capa.
La estructura IIa corresponde a la estructura de la unidad de repetición de la última capa en los dendrones de fórmula II y en los dendrímeros de fórmula I. Cuando los valores de las variables X, Y y s en el compuesto de fórmula IIa son diferentes de los valores de X, Y y s en los compuestos de fórmula IV, entonces la unidad de repetición de la última capa es diferente de las unidades de repetición D de otras capas, en el dendrón de fórmula II obtenido.
De este modo, es posible diseñar dendrímeros en los que se diferencien las unidades de repetición de la última capa (o capa más externa o unidad terminal) de las unidades de repetición de las otras capas. Y también es posible diseñar dendrímeros en los que se diferencien las unidades de repetición de cada capa.
Otro aspecto de la invención es un procedimiento alternativo de preparación de los compuestos de fórmula II, cuando n en el compuesto de fórmula I es 2, 3, ó 4, que comprende
i) reacción de acoplamiento tipo Sonogashira-Hagihara o Suzuki-Miyaura entre un compuesto de fórmula IIa, como se definió anteriormente, y un compuesto de fórmula IV'
donde X' se selecciona de entre el grupo constituido por
ii) activación
iii) un acoplamiento tipo Sonogashira-Hagihara o Suzuki-Miyaura con un compuesto que se selecciona de entre el grupo X'p que consiste en
iv) activación,
q es 1, 2, 3, 4
s1, s2, s3, s4, s', Y1, Y2, Y3, Y4, Y', X, W1, W2, W3, Q, Q' y P son como se definieron anteriormente.
De acuerdo a una realización particular, cuando el grupo terminal X' en el compuesto de fórmula IV' es X'1 ó X'2, entonces el compuesto X'p en la etapa iii) se selecciona de entre el grupo que consiste en X'p4 y X'p5. De acuerdo a una realización particular, cuando el grupo terminal X' en el compuesto de fórmula IV' es X'3, entonces el compuesto X'p en la etapa iii) se selecciona de entre el grupo constituido por X'p1, X'p2 y X'p3.
En una realización preferida, P en la fórmula IV es trimetilsililo cuando X' es X'3.
En una realización preferida, P en la fórmula X'p3 y X'p5 es trimetilsililo.
Los compuestos de fórmula IV', intermedios útiles en la síntesis de los compuestos de fórmula II y de fórmula I, pueden prepararse mediante una reacción de acoplamiento tipo Sonogashira-Hagihara o Suzuki-Miyaura entre un compuesto de fórmula III, como se definió anteriormente, y 1 equivalente de un compuesto de fórmula X'p1, X'p2, X'p3 como se definieron anteriormente.
La reacción de acoplamiento tipo Sonogashira-Hagihara o Suzuki-Miyaura tienen las características y condiciones descritas anteriormente.
La repetición iterativa de las etapas iii) a iv) proporciona la unión de dos ó más conectores X' para obtener el conector X de interés en la siguiente capa, en el compuesto de fórmula II. La repetición iterativa de las etapas i) a iv) tienen como resultado el crecimiento de los dendrones de fórmula II en una generación superior. En cada iteración el compuesto de fórmula IV' puede ser diferente al compuesto de fórmula IV' de la iteración anterior, y también las iteraciones iii) a iv) pueden ser diferentes, y así se obtienen dendrones cuyas unidades de repetición D son diferentes para cada capa.
Los compuestos Xp y X'p llevan en un extremo una funcionalidad adecuada para realizar acoplamientos tipo Sonogashira-Hagihara o Suzuki-Miyaura (un alquino terminal, un ácido arilborónico o un arilboronato y un cloruro, bromuro, yoduro o triflato de arilo) y en el otro extremo una funcionalidad enmascarada que puede activarse en una etapa posterior para realizar otro acoplamiento tipo Sonogashira-Hagihara o Suzuki-Miyaura (un alquino terminal protegido o un ariltrimetilsilano) .
Así, la activación en las etapas b) , ii) y iv) comprende:
1) una desprotección en medio básico o en presencia de un fluoruro, si el compuesto acoplado en la etapa anterior, IV, IV' o X'p posee un alquino terminal protegido, o
2) a) una reacción de yododesililación, si el compuesto acoplado en la etapa anterior, IV, IV' o X'p posee un grupo sililarilo terminal
y opcionalmente, b) una reacción de borilación,
donde X'' es un conector seleccionado entre el grupo que consiste en X3, X4, X5 como se definieron anteriormente,
R, D, n, s1, s2, s3, s4, Y1, Y2, Y3, Y4 son como se definieron anteriormente.
La secuencia de reacciones de acoplamiento y activación de las etapas iii) y iv) es conocida en bibliografía y hay ejemplos de esta sucesión de reacciones, aplicada a diferentes casos ( (a) Hong, Dong-Je; Lee, Eunji; Lee, Jeong-Kyu; Zin, Wang-Cheol; Han, Minwoo; Sim, Eunji; Lee, Myongsoo. J. Am. Chem. Soc. 2008, 130, 14448-14449; (b) Julien Frey, Christian Tock, Jean-Paul Collin, Valrie Heitz, Jean-Pierre Sauvage, Kari Rissanen. J. Am. Chem. Soc. 2008, 130, 11013-11022; (c) Raanan Carmieli, Qixi Mi, Annie Butler Ricks, Emilie M. Giacobbe, Sarah M. Mickley, Michael R. Wasielewski. J. Am. Chem. Soc. 2009, 131, 8372-8373; (d) Yoshihiro Yamaguchi, Yukihiro Shimoi, Takanori Ochi, Tateaki Wakamiya, Yoshio Matsubara, Zen-ichi Yoshida. J. Phys. Chem. A 2008, 112, 5074-5084; (e) Jung-Keun Kim, Eunji Lee, Min-Cheol Kim, Eunji Sim, Myongsoo Lee. J. Am. Chem. Soc. 2009, 131, 17768-17770; (f) Dennis Mossinger, Jens Hornung, Shengbin Lei, Steven De Feyter, Sigurd Hoger. Angew. Chem. Int. Ed. 2007, 46, 6802-6806; (g) Yasuhiro Shirai, Yuming Zhao, Long Cheng, James M. Tour. Org. Lett., 2004, 6, 2129-2132) . Y también es conocida esta secuencia de acoplamiento y activación en el caso de dendrímeros para introducir conectores triareno entre unidades ramificadas de pentafenilbenceno en dendrímeros de poliareno: Ekaterina V. Andreitchenko, Christopher G. Clark, Jr., Roland E. Bauer, Gunter Lieser, Klaus Mullen. Angew. Chem. Int. Ed. 2005, 44, 6348 -6354; y para elongar las unidades ramificadas AB2 en dendrímeros polifenilenoetinileno: Xu, Z.; Moore, J. S. Angew. Chem., Int. Ed. Engl. 1993, 32, 1354.
Los compuestos de fórmula Xp y X'p están disponibles, bien comercialmente o bien son conocidos por un experto en la materia ya que se encuentran descritos en bibliografía. Por ejemplo, un compuesto de fórmula Xp2, donde Q y Q' juntos forman un cicloalquilo, P es triisopropilsililo m es 1 e Y' es hidrógeno en posiciones 2 y 5, se utilizan en Angew. Chem. Int. Ed. 2007, 46, 6802 -6806. Otro compuesto de fórmula Xp2, donde Q y Q' son hidrógeno, P es triisopropilsililo, m es 1 e Y' es hidrógeno, se describe en J. Org. Chem. 2000, 65, 2837-2842.
Son conocidos compuestos de fórmula Xp3, por ejemplo, un compuesto de fórmula Xp3, donde Q y Q' son hidrógeno, m es 1 y P es trimetilsililo, es comercial (catálogo de Aldrich, producto de referencia 523674) . Por ejemplo, otro compuesto de fórmula Xp3, donde Q y Q' son hidrógeno, m es 1, P es trimetilsililo e Y' es metoxilo en posiciones 2 y 5, se describe en Chem. Phys. Chem., 2009, 10 (8) , 1203-1206. Por ejemplo, otro compuesto de fórmula Xp3, donde Q y Q' son hidrógeno, m es 1, P es trimetilsililo e Y' es etilo en posiciones 2 y 5, se describe en J. Am. Chem. Soc. 2008, 130, 11013-11022. Por ejemplo, otro compuesto de fórmula Xp3, donde Q y Q' juntos forman un cicloalquilo, P es trimetilsililo, m es 1 e Y' es etilo en posiciones 2 y 5, se utiliza en Angew. Chem. Int. Ed. 2007, 46, 6802 -6806 y se describe en Liebigs Ann./Recl. 1997, 303-309.
Compuestos de fórmula X'p4 son también conocidos, por ejemplo, se describen en J. Org. Chem. 2000, 65, 2837-2842 donde W es bromo, Y' es hidrógeno y P es triisopropilsililo o por ejemplo, se utilizan en Angew. Chem. Int. Ed. 2007, 46, 6802 -6806 donde W es yodo, Y es alcoxilo en posiciones 2 y 5 y P es un (3-cianopropil) dimetilsililo.
Compuestos de fórmula X'p5 son conocidos, por ejemplo, en J. Am. Chem. Soc. 2008, 130, 11013-11022 donde W es bromo, P es trimetilsililo e Y' es etilo en las posiciones 2 y 5 o en Chem. Phys. Chem. 2009, 10 (8) , 1203-1206, donde W es bromo, P es trimetilsililo e Y' es metoxilo en las posiciones 2 y 5.
También son conocidas combinaciones de compuestos de fórmula Xp, útiles en la preparación de conectores de fórmula X. Algunos ejemplos se recogen en la siguiente tabla:
La reacción de desprotección de la etapa 1) se lleva a cabo en las condiciones típicas de desprotección según Greene, T. W.; Wuts, P. G. M. "Protective Groups in Organic Synthesis", 3º Ed., Wiley-Interscience, New York, 1999.
La reacción de yododesililacion de la etapa 2a) puede llevarse a cabo con monocloruro de yodo según las condiciones descritas en B. C. Berris, G. H. Hovakeemian, Y. H. Lai, H. Mestdagh, K. P. C. Vollhardt, J. Am. Chem. Soc. 1985, 107, 5670-5687. Alternativamente, puede llevarse a cabo con yodo y trifluoracetato de plata según las condiciones descritas en: Man Shing Wong, Ping Fang Xia, Xiao Ling Zhang, Pik Kwan Lo, Yuen-Kit Cheng, Kai-Tai Yeung, Xiliang Guo, Shaomin Shuang, J. Org. Chem. 2005, 70, 2816-2819.
De acuerdo a una realización particular de la invención, el grupo protector P, en un compuesto de fórmula IV, IV', Xp o X'p que posee un grupo arilo terminal, es un grupo triazeno, preferiblemente N3Et2. En una realización particular, cuando P es un grupo triazeno entonces la reacción de activación de las etapas b) , ii) , iv) consiste en una reacción de intercambio por yodo según las condiciones descritas en Angew. Chem. Int. Ed. 2007, 46, 6845-6848.
La reacción de borilación de la etapa 2b) es opcional. Un experto en la materia podrá llevar a cabo una reacción de borilación cuando sea de su interés realizar una posterior reacción de acoplamiento tipo Suzuki-Miyaura: por ejemplo para realizar el acoplamiento de la etapa iii) con el compuesto X'p4 o X'p5; por ejemplo, para realizar el acoplamiento con un compuesto de fórmula III para obtener los dendrímeros de fórmula I; por ejemplo, para realizar el acoplamiento con un compuesto de formula IV' cuando se lleva a cabo la repetición iterativa de las etapas i) a iv) . De forma preferida, un experto en la materia realizará la reacción de borilación de la etapa 2b) cuando el compuesto con el que se va a realizar el posterior acoplamiento posea un grupo arilo funcionalizado con un grupo W, como se definió anteriormente.
Son conocidos varios métodos para llevar a cabo una borilación como en la etapa 2b) , por ejemplo, mediante reacción catalizada por Pd con bispinacolatodiboro u otros reactivos alcoxidiboro para obtener un arilboronato: (a) Ishiyama, T.; Murata, M.; Miyaura, N. J. Org. Chem. 1995, 60, 7508-7510. (b) T. Ishiyama, Y. Itoh, T. Kitano, N. Miyaura, Tetrahedron Lett. 1997, 38, 3447-3450; (c) T. Ishiyama, K. Ishida, N. Miyaura, Tetrahedron 2001, 57, 9813-9816; (d) A. Furstner, G. Seide, Org. Lett. 2002, 4, 541 - 543; (e) C. Xu, J. F. Gong, M. P.Song, Y. J. Wu, Transition Met. Chem. 2009, 34, 175 - 179; (f) Tanja Weil, Uwe M. Wiesler, Andreas Herrmann, Roland Bauer, Johan Hofkens, Frans C. De Schr y ver, Klaus Mullen. J. Am. Chem. Soc. 2001, 123, 8101-8108; (g) Duangkhae Srikun, Aaron E. Albers, Christine I. Nam, Anthony T. Iavarone, Christopher J. Chan. J. Am. Chem. Soc. 2010, 132, 4455-4465; o mediante reacción con n- BuLi y reactivos trialcoxiboro para obtener un ácido arilborónico: (h) Julien Frey, Christian Tock, Jean-Paul Collin, Valérie Heitz, Jean-Pierre Sauvage, Kari Rissanen. J. Am. Chem. Soc. 2008, 130, 11013-11022. (i) Boronic Acids-Preparation, Applications in Organic Synthesis and Medicine (Ed.: D. G. Hall) , Wiley-VCH, Weinheim, 2005. Otro método (j) Christian Kleeberg, Li Dang, Zhenyang Lin, and Todd B. Marder. Angew. Chem. Int. Ed. 2009, 48, 5350-5354.
De acuerdo a una realización particular de la invención, la reacción de borilación puede llevarse a cabo directamente sobre el precursor donde P es trimetilsililo, sin llevar a cabo previamente la yododesililación, en condiciones conocidas por un experto en la materia, como están descritas en J. Am. Chem. Soc. 1992, 114, 1018-1025.
En resumen, en la metodología de la invención, las unidades tetraédricas terminales de fórmula II y IIa son las unidades básicas de construcción, intermedios útiles en la preparación de un compuesto de fórmula I. Los nuevos compuestos de fórmula II y IIa tienen una funcionalización reactiva -X-T y así, si estos intermedios reaccionan con un compuesto de fórmula III, que tienen 4 grupos reactivos W, se obtiene un dendrímero de fórmula I; y si reaccionan con un compuesto de fórmula IV ó IV' (tipo AB3) , que tienen 3 grupos reactivos W y un conector X ó X' protegido y son el punto focal, se obtiene un dendrón de generación superior, útil en la preparación de un dendrímero de generación superior.
Síntesis de un compuesto de fórmula IIa
De acuerdo a otro aspecto, la invención se dirige a un procedimiento para preparar un compuesto IIa que comprende
a') una reacción de acoplamiento tipo Sonogashira-Hagihara o Suzuki-Miyaura entre un compuesto de fórmula V y un compuesto seleccionado de entre el grupo que consiste en Xp1, Xp2, Xp3, Xp4, Xp5, Xp6, Xp7 y Xp8, como se definieron anteriormente,
b') activación,
donde R1, R2, R3, Y1, Y2, Y3, Y4, s1, s2, s3, s4 y W1 son como se definieron anteriormente.
Otro aspecto de la invención es un procedimiento alternativo de preparación de los compuestos de fórmula IIa, que comprende
i') una reacción de acoplamiento tipo Sonogashira-Hagihara o Suzuki-Miyaura entre un compuesto de fórmula V y un compuesto de fórmula X'p1, X'p2, X'p3, como se definieron anteriormente,
ii') activación,
iii') un acoplamiento tipo Sonogashira-Hagihara o Suzuki-Miyaura con un compuesto X'p1, X'p2, X'p3, X'p4, X'p5, como se definieron anteriormente,
iv') activación.
La repetición iterativa de las etapas iii') a iv') proporciona la unión de dos o más conectores para obtener los grupos X en el compuesto de fórmula IIa.
La reacción de acoplamiento tipo Sonogashira-Hagihara o Suzuki-Miyaura tienen las características y condiciones descritas anteriormente. Las etapas de activación b') , ii') y iv') tienen las características y condiciones descritas anteriormente para las etapas b) , ii) y iv) .
Los compuestos de fórmula III están disponibles porque son conocidos por un experto en la materia ya que se encuentran descritos en bibliografía. En el caso particular en el que un grupo W en el compuesto de fórmula III es -OS (O) 2CF3, se prepara fácilmente mediante un procedimiento que comprende la reacción de un precursor hidroxilado con una triflimida o con anhídrido trífico, generalmente en presencia de una base. Estos precursores hidroxilados están disponibles porque son conocidos por un experto en la materia ya que se encuentran descritos en bibliografía.
En la siguiente tabla se muestran algunos ejemplos de compuestos III y de precursores hidroxilados descritos en bibliografía.
Los compuestos de fórmula V están disponibles porque son conocidos por un experto en la materia ya que se encuentran descritos en bibliografía. En el caso particular en el que W en el compuesto de fórmula V es -OS (O) 2CF3 se preparan fácilmente a partir de un precursor hidroxilado mediante un procedimiento que comprende la reacción con una triflimida o con anhídrido trífico, generalmente en presencia de una base. Estos precursores hidroxilados están disponibles porque son conocidos por un experto en la materia ya que se encuentran descritos en bibliografía.
En la siguiente tabla se muestran algunos ejemplos de compuestos V y algunos precursores hidroxilados descritos en la bibliografía.
Otro ejemplo en el que los sustituyentes R e Y son hidrógeno, y W es yodo se describe en Quan Li, Aleksey V. Rukavishnikov, Pavel A. Petukhov, Tatiana O. Zaikova, John F. W. Keana. Org. Lett. 2002, 4, 3631-3634.
Los siguientes modos de realización y ejemplos sirven para ilustrar la invención y en ningún caso deberán de interpretarse como limitativos de la misma.
Modo de realización 1
A continuación se expone un modo de realización para preparar los dendrímeros I de generación 1, 2, 3 y 4 donde todos los grupos R son CH3, todos los grupos Y son H y
En primer lugar se obtiene la unidad del punto focal IV-1 a partir de la unidad central III-1 (J. Am. Chem. Soc. 1991, 113, 4696-4698) mediante un acoplamiento parcial, es decir, empleando 1 equivalente de Xp1- 1:
A continuación se lleva a cabo el acoplamiento tipo Sonogashira entre el compuesto V-1 (J. Org. Chem. 2004, 69, 1461) y el conector protegido Xp1- 1 y la activación mediante desprotección en medio básico o con fluoruro para obtener el dendrón IIa-1 de generación 1 (n=1) .
Este dendrón puede acoplarse con III-1 para obtener el dendrímero 1-1 de generación 1, o bien puede emplearse como precursor del dendrón de generación superior, es decir, para obtener el dendrón II-2 de generación 2 (n=2) , mediante la secuencia de reacciones: a) acoplamiento con el punto focal IV-1 y b) activación.
Así, la repetición iterativa de la secuencia de reacciones de acoplamiento y desprotección conduce al crecimiento de los dendrones de fórmula II; por otro lado, si cualquiera de estos dendrones lo sometemos a una reacción de acoplamiento con la unidad central III-1, entonces se obtiene el correspondiente dendrímero de fórmula I.
Modo de realización 2
Preparación de un dendrímero I de generación 2 donde el conector es X6- 1 (conector X6 donde k es 1, m es 2, Y' es OC10H21 y s' es 2) y todos los R son CH3:
Se prepara el punto focal IV-2 mediante la reacción de acoplamiento parcial tipo Sonogashira entre la unidad central III-1 y el compuesto Xp6- 1 (Org. Lett., 2004, 6, 2129-2132) que posee un grupo alquino terminal reactivo y otro grupo alquino protegido con un grupo sililo, triisopropilsililo.
La reacción de acoplamiento entre el compuesto V-1 con Xp6- 1, seguida de la activación con fluoruro conduce al dendrón IIa-5.
El dendrón IIa-5 es útil en la preparación del dendrímero 1-5 de generación 1, mediante el acoplamiento tipo Sonogashira con la unidad central III-1, como se muestra en el siguiente esquema.
El dendrón IIa-5 también es útil para la preparación del dendrón de generación superior, II-6 (n=2) que se obtiene mediante la secuencia de reacciones de acoplamiento con IV-2 y activación.
El acoplamiento final entre el dendrón II-6 y la unidad central III-1 conduce al dendrímero de generación 2, I-6.
Si se selecciona una unidad central diferente para llevar a cabo el acoplamiento final con el dendrón IIa-5, por ejemplo III-2 (preparado a partir del correspondiente derivado hidroxilado descrito en Organometallics 2001, 20, 1889-1891, mediante reacción con el anhídrido trífico en presencia de una base) , entonces el resultado es un dendrímero de generación 1, I'-5, donde los sustituyentes de los arilos de la unidad central y de las unidades de repetición son diferentes, como se describe en la memoria en la página 13.
Modo de realización 3
En este caso se ilustra la obtención de un dendrímero de generación 2 en el que el conector se prepara mediante el procedimiento alternativo que implica la repetición de una secuencia de reacciones para la elongación del conector.
El conector en este caso es X3, donde m es 2 e Y' es hidrógeno (X3- 1) :
En primer lugar se prepara el punto focal IV'-1 mediante una reacción de acoplamiento tipo Suzuki entre la unidad central III-1 y el compuesto comercial X'p3- 1 (donde q es 1 e Y' es hidrógeno) , el ácido 4- (trimetilsilil) fenilborónico.
El acoplamiento i') tipo Suzuki entre un compuesto V-1 y X'p3- 1, seguido de ii') yododesililación conduce a un compuesto intermedio yodado. La secuencia de reacciones de iii') acoplamiento con el compuesto X'p3- 1 y iv') yododesililación-borilación conduce a la obtención del dendrón correspondiente IIa-7.
El acoplamiento final de IIa-7 con la unidad central III-1 conduce al dendrímero de generación 1, I-7.
La secuencia de reacciones i) acoplamiento de IIa-7 con la unidad de punto focal IV -3, i) ) activación, iii) acoplamiento con X'p3- 1, y iv) activación, que consiste en yododesililación y borilación, conduce al dendrón II-8. Este dendrón es útil para realizar un acoplamiento tipo Suzuki con la unidad central III-1 y obtener finalmente el dendrímero correspondiente de generación 2.
Es posible que en la siguiente iteración de reacciones i) a iv) se seleccione el punto focal IV-1, con lo que se obtiene un dendrón II de generación superior, II-9, en el que las unidades de repetición D son diferentes en la capa 1, respecto a las unidades de repetición D de las capas 2 y 3. La reacción del dendrón II-9 con una unidad central III-2 conduce a un dendrímero de generación 3, en el que las unidades de repetición D de las capas 3 y 2 son iguales, las unidades de repetición de la capa 1 son diferentes a las anteriores, y la unidad central también tiene diferentes sustituentes.
Esto demuestra que el método es versátil y permite diseñar los dendrímeros de fórmula I para cada situación o necesidad de aplicación.
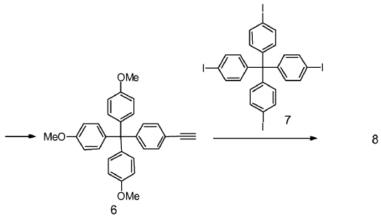
Síntesis de 8
Esquema 1
Ejemplo 1
Obtención de tris (4-metoxifenil) metanol (2)
En un matraz de fondo redondo de 100 mL, provisto de septum para la entrada de argón, se disolvió el compuesto 1 (5 g, 21.3 mmol, 3.1 eq.) en THF (25 mL) . La disolución obtenida se enfrió a -78ºC y se trató con nBuLi (15 mL, 22 mmol, 3.1 eq, 1.4M) . Después de 1 h, se añadió lentamente carbonato de dimetilo (0.7 mL, 6.9 mmol, 1 eq) y se dejó alcanzar ta durante toda la noche. La mezcla de reacción se lavó con disolución saturada de NaCl (30 mL) y la fase acuosa se extrajo con EtOAc (3x15 mL) . La fase orgánica combinada se secó, filtró y concentró. El residuo obtenido se purificó por cromatografía en columna (SiO2, 5x15 cm, 10% EtOAc/hexanos) para dar 2 [6.47 g, 18.5 mmol, 87%, Rf= 0.25 (20% EtOAc/hexanos) , sólido blanco],
1H-RMN (CDCl3, 250 MHz) : 7.43 (6H, m, H-3) , 7.05 (6H, m, H-2) , 3.99 (9H, m, CH3O) , 3.53 (1H, s, OH) . 13C-RMN (CDCl3, 63 MHz) : 162.3 (C, 3xC-1) , 143.7 (C, 3xC-4) , 133.0 (CH, 6xC-3) , 116.9 (CH, 6xC-2) , 84.9 (C, C-5) , 59.0 (CH3, 3xCH3O) . MS ([CI]+, m/z, %) : 351 ([M+1]+, 48) , 350 ([M]+, 45) , 434 ([ (M+1) -OH]+, 48) . HRMS [CI]+: calculado para [C22H22O4]+ [M]+: 350.1518; encontrado: 350.1522.
Ejemplo 2
Obtención de 4- (tris (4-metoxifenil) metil) fenol (3)
En un matraz de fondo redondo de 500 mL provisto de refrigerante y septum para la entrada de argón, una mezcla de 2 (2.0 g, 4, 7 mmol, 1 eq) y fenol (4.4 g, 47 mmol, 10 eq) se calentó a 80ºC hasta fundirse por completo. A continuación se añadieron 10 gotas de H2SO4 (c) y se calentó a 120ºC durante dos días. A la mezcla obtenida se añadió una disolución de NaOH (20 mL, 10%) y la fase acuosa se extrajo con una mezcla de acetona/EtOAc (1:10, 3x30 mL) . La fase orgánica combinada se secó, filtró y concentró. El residuo obtenido se purificó por cromatografía en columna (SiO2, 4x15 cm, 10% EtOAc/hexanos) para dar 3 [1.73 g, 4.06 mmol, 86%, Rf= 0.25 (30% EtOAc/hexanos) , sólido blanco],
1H-RMN (CDCl3, 250 MHz) : 7.45 (6H, m, H-3) , 7.39 (2H, m, H-7) , 7.15 (6H, m, H-2) , 7.06 (2H, m, H-8) , 5.74 (1H, s, OH) , 4.16 (9H, s, CH3O) . 13C-RMN (CDCl3, 63 MHz) : 157.2 (C, 3xC-1) , 153.4 (C, C-9) , 139.7 (C, 3xC-4) , 139.7 (C, C-6) , 132.1 (CH, 6xC-3) , 131.9 (CH, 2xC-7) , 114.0 (CH, 2xC-8) , 112.5 (CH, 6xC-2) , 62.1 (C, C-5) , 55.1 (CH3, 3xCH3O) . MS ([CI]+, m/z, %) : 427 ([M+1]+, 65) , 426 ([M]+, 54) , 317 ([ (M+1) -3OMe-OH]+, 100) . HRMS [CI]+: calculado para [C28H26O4]+ ([M]+) : 426.1831; encontrado: 426.1833.
Ejemplo 3
Obtención de 4- (tris (4-metoxifenil) metil) feniltrifluorometanosulfonato (4)
En un matraz de fondo redondo de 50 mL provisto de septum para la entrada de argón, se disolvieron el compuesto 3 (1.2 g, 2.81 mmol, 1 eq) y Et3N (1.2 mL, 8.7 mmol, 3.1 eq) en CH2Cl2 seco (20 mL) . La disolución obtenida se enfrió a -78ºC durante 10 min. A continuación se añadió Tf2O (0.51 mL, 3.1 mmol, 1.1 eq) y se dejó llegar a ta durante toda la noche. La mezcla de reacción se lavó con una disolución saturada de NH4Cl (40 mL) y la fase acuosa se extrajo con EtOAc (3x30 mL) . La fase orgánica combinada se secó, filtró y concentró. El residuo obtenido se purificó por cromatografía en columna (SiO2, 4x13 cm, 10% EtOAc/hexanos) para dar 4 [1.38 g, 2.47 mmol, 89%, Rf= 0.50 (30% EtOAc/hexanos) , sólido blanco].
1H-RMN (CDCl3, 250 MHz) : 7.10 (2H, m, H-7) , 6.97 (2H, m, H-8) , 6.87 (6H, m, H-3) , 6.62 (6H, m, H-2) , 3.62 (9H, s, CH3O) . 13C-RMN (CDCl3, 63 MHz) : 157.6 (C, 3xC-1) , 148.1 (C, C-9) , 147.4 (C, C-6) , 138.5 (C, 3xC-4) , 132.6 (CH, 2xC-7) , 131.8 (CH, 6xC-3) , 119.9 (CH, 2xC-8) , 112.5 (CH, 6xC-2) , 62.1 (C, C-5) , 55.1 (CH3, 3xCH3O) . MS ([CI]+, m/z, %) : 559 ([M+1]+, 36) , 558 ([M]+, 41) , 410 ([ (M+1) -OTf]+, 27) . HRMS [CI]+: calculado para [C29H25F3O6S]+ ([M]+) : 558.1324; encontrado: 558.1321.
Ejemplo 4
Obtención de trimetil (2- (4- (tris (4-metoxifenil) metil) fenil) etinil) silano (5)
Se disolvió el compuesto 4 (0.9 g, 1.61 mmol, 1 eq) , CuI (0.061 g, 0.32 mmol, 0.2 eq) y Pd (PPh3) 4 (0.37 g, 0.32 mmol, 0.2 eq) en THF seco (20 mL) en un tubo sellado de 50 mL. Sobre esta disolución se añadió sucesivamente piperidina (2.0 mL, 21.0 mmol, 13 eq) y trimetilsililacetileno (1.1 mL, 8.06 mmol, 5 eq) . La mezcla obtenida se calentó a 50ºC durante 4 horas. A continuación se dejó enfriar a ta y se añadió una disolución saturada de NH4Cl (20 mL) , la mezcla se extrajo con EtOAc (3x30 mL) . La fase orgánica combinada se secó, filtró y concentro. El residuo obtenido se purificó por cromatografía en columna (SiO2, 4x13 cm, 5% EtOAc/hexanos) para dar 5 [0.490 g, 0.968 mmol, 60%, Rf= 0.60 (30%) EtOAc/hexanos) , sólido espumoso blanco].
1H-RMN (CDCl3, 250 MHz) : 7.10 (2H, m, H-8) , 6.89 (2H, m, H-7) , 6.82 (6H, m, H-3) , 6.53 (6H, m, H-2) , 3.53 (9H, s, MeO) , 0.00 (9H, s, CH3Si) . 13C-RMN (CDCl3, 63 MHz) : 157.5 (C, 3xC-1) , 148.2 (C, C-6) , 138.9 (C, 3xC-4) , 131.9 (CH, 6xC-3) , 130.9 (CH, 2xC-8) , 130.8 (CH, 2xC-7) , 120.3 (C, C-9) , 112.7 (CH, 6xC-2) , 105.0 (C, C-10) , 94.0 (C, C-11) , 62.8 (C, C-5) , 55.1 (CH3, 3xMeO) , 0.0 (CH3, 3xCH3Si) . MS ([CI]+, m/z, %) : 507 ([M+1]+, 94) , 506 ([M]+, 36) , 435 ([M-TMSH]+, 8) . HRMS [CI]+: calculado para [C33H34O3Si]+ ([M]+) : 506.2277; encontrado: 506.2280.
Ejemplo 5
Obtención de 1-etinil-4- (tris (4-metoxifenil) metil) benceno (6)
En un matraz de fondo redondo de 100 mL provisto de septum para la entrada de argón, se disolvió el compuesto 5 (0.480 g, 0.95 mmol, 1 eq) en THF seco (25 mL) . La disolución obtenida se trató con una disolución de NaOH (10 mL, 1M) y la mezcla se dejó agitando por 12 horas. Se añadió una disolución de HC1 (40 mL, 10%) y la fase acuosa se extrajo con EtOAc (3x25 mL) . La fase orgánica combinada se secó, filtró y concentró. El residuo obtenido se purificó por cromatografía en columna (SiO2, 2.5x13 cm, 5% EtOAc/hexanos) para dar 6 [0.400 g, 0.922 mmol, 98%, Rf= 0.40 (20% EtOAc/hexanos) , aceite incoloro].
1H-RMN (CDCl3, 250 MHz) : 7.21 (2H, m, H-8) , 7.00 (2H, m, H-7) , 6.62 (6H, m, H-3) , 6.91 (6H, m, H-2) , 3.62 (9H, s, CH3O) , 2.88 (1H, s, C=C-H) . 13C-RMN (CDCl3, 63 MHz) : 157.4 (C, 3xC-1) , 148.5 (C, C-6) , 138.9 (C, 3xC-4) , 131.9 (CH, 6xC-3) , 131.1 (CH, 2xC-8) , 130.8 (CH, 2xC-7) , 119.3 (C, C-9) , 112.6 (CH, 6xC-2) , 83.6 (C, C-10) , 77.0 (CH, C-11) , 62.8 (C, C-5) , 55.1 (CH3, 3xCH3O) . MS ([CI]+, m/z, %) : 435 ([M+1]+, 86) , 434 ([M]+, 34) , 317 ([M-TMSH-3OMe]+, 9) . HRMS [CI]+: calculado para [C30H26O3]+ ([M]+) : 434.1882; encontrado: 434.1880.
Ejemplo 6
Obtención de tetrakis (4- (2- (4- (tris (4-metoxifenil) metil) fenil) etinil) fenil) -metano (8)
En un tubo sellado provisto de barra magnética y septum para la entrada de argón, se disolvió 7 (0.095 g, 0.115 mmol, 1 eq) , 6 (0.4 g, 0.921 mmol, 8 eq) , (PPh3) 4Pd (0.027 g, 0.023 mmol, 0.2 eq) y CuI (0.004 g, 0.023 mmol, 0.2 eq) en THF seco (20 mL) . Sobre esta disolución se añadió piperidina (0, 15 mL, 1.5 mmol, 13 eq) y la mezcla se calentó a 80ºC durante toda la noche. Sobre la mezcla de reacción se añadió una disolución saturada de NH4Cl (30 mL) y se extrajo con EtOEt (3x30 mL) . La fase orgánica combinada se secó, filtró y concentro a sequedad. El residuo obtenido se purificó por cromatografía en columna (SiO2, 3.5x13 cm, 40% EtOAc/hexanos) para dar 8 [0.140 g, 0.068 mmol, 60%, Rf= 0.25 (40% EtOAc/hexanos) , sólido blanco].
1H-RMN (CDCl3, 250 MHz) : 7.51 (16H, dd, J1=6.8 Hz, J2=15.4 Hz, H-8, H-13) , 7.31 (16H, dt, J1=3.6 Hz, J2= 11.9 Hz, H-7, H-14) , 7.21 (24H, dd, J1=3.6 Hz, J2=8.8 Hz, H-3) , 6.90 (24H, dd, J1=2.1 Hz, J2=8.8 Hz, H-2) , 3.88 (36H, s, CH3O) . 13C-RMN (CDCl3, 63 MHz) : 157.5 (C, 12xC-1) , 148.0 (C, 4xC-6, 4xC-15) , 145.8 (C, 12xC-4) , 139.0 (C, 3xC-9, 4xC-12) , 131.9 (CH, 18xC-3) , 130.9 (CH, 6xC-8, 8xC-13) , 130.6 (CH, 6xC-7, 8x C-14) , 112.7 (CH, 24xC-2) , 89.7 (C, 4xC-10) , 88.8 (C, 4xC-11) , 62.8 (C, 4xC-5, C-19) , 55.1 (CH3, 12xCH3O) . MS ([CI]+, m/z, %) : 1615 ([M- (MeOPh) 3CPhC=C]+, 23) . HRMS [ESI-TOF]+: calculado para [C115H91O9]+ ([M- (MeOPh) 3CPhC?C]+) : 1615.6663; encontrado: 1615.6683. EM (MALDI-TOF) : 2072 (M+Na) +.
Síntesis de 12
Ejemplo 7
Obtención de trimetil (2- (4- (tris (4-yodofenil) metil) fenil) etinil) -silano (9)
En un tubo sellado provisto de septum para la entrada de argón, se disolvió 7 (1.0 g, 1.21 mmol, 1 eq) , CuI (0.046 g, 0.24 mmol, 0.2 eq) y (PPh3) 2PdCl2 (0.17 g, 0.24 mmol, 0.2 eq) en DMF seca (20 mL) . Esta disolución se trató con trimetilsililacetileno (0.13 mL, 0.97 mmol, 0.8 eq) y Et3N (2 mL) y se agitó durante 1 h a ta. Sobre la mezcla de reacción se añadió una disolución saturada de NaCl (30 mL) y la fase acuosa se extrajo con hexano (5x25 mL) . La fase orgánica combinada se secó, filtró y concentro. El residuo obtenido se purificó en cromatografía en columna (SiO2, 3.5x10 cm, hexano) para dar 9 [0.327 g, 0.411 mmol, 34%, Rf= 0.20 (hexanos) , sólido blanco],
1H-RMN (CDCl3, 250 MHz) : 7.34 (6H, dd, J1=1.6 Hz, J2=7.0 Hz, H-2) , 7.13 (2H, d, J= 8.6 Hz, H-8) , 6.84 (2H, m, H-7) , 6.65 (6H, m, H-3) , 0.00 (9H, s, CH3- Si) . 13C-RMN (CDCl3, 63 MHz) : 147.7 (C, C-6) , 145.1 (C, 3xC-4) , 137.0 (CH, 6xC-2) , 135.6 (CH, 2xC- 8) , 132.6 (CH, 6xC-3) , 131.5 (CH, 2xC-7) , 121.3 (C, C-9) , 94.1 (C, C-10) , 92.6 (C, C-11) , 92.5 (C, 3xC-1) , 64.2 (C, C-5) , 0.0 (CH3, 3xCH3Si) .
Ejemplo 8
Obtención de trimetil (2- (4- (tris (4- (2- (4- (tris (4-metoxifenil) metil) fenil) etinil) fenil) -metil) fenil) etinil) silano (10)
En un tubo sellado provisto de septum para la entrada de argón, se disolvió 6 (0.300 g, 0.690 mmol, 4.0 eq) , 9 (0.137 g, 0.173 mmol, 1.0 eq) , CuI (0.07 g, 0.034 mmol, 0.2 eq) y (PPh3) 4Pd (0.04 g, 0.034 mmol, 0.2 eq) en THF seco (20 mL) . Sobre esta disolución se añadió piperidina (0.9 mL, 8.98 mmol, 13 eq) y se calentó a 70ºC durante toda la noche. Sobre la mezcla de reacción se añadió una disolución saturada de NH4Cl (40 mL) y se extrajo con EtOAc (3x30 mL) . La fase orgánica combinada se secó, filtró y concentro a sequedad. El residuo obtenido se purificó por cromatografía en columna (SiO2, 3.5x13 cm, 30% EtOAc/hexanos) para dar 10 [0.179 g, 0.104 mmol, 59%, Rf= 0.40 (30% EtOAc/hexanos) , sólido blanco.
1H-RMN (CDCl3, 250 MHz) : 7.14 (14H, m, H-8, H-13, H-19) , 6.93 (14H, dd, J1=4.5 Hz, J2=8.3 Hz, H-7, H-14, H-18) , 6.84 (18H, m, H-3) , 6.53 (18H, dd, J1=1.9 Hz, J2=7.0 Hz, H-2) , 3.51 (27H, s, CH3O) , 0.0 (9H, CH3- Si) . 13C-RMN (CDCl3, 63 MHz) : 157.5 (C, 9xC-1) , 148.0 (C, 3xC-6, 3xC-15, C-17) , 145.7 (C, 9xC-4) , 139.0 (C, 3xC-9, 3xC-12, C-20) , 131.9 (CH, 18xC-3) , 130.9 (CH, 6xC-8, 6xC-13, 2xC-19) , 130.6 (CH, 6xC-7, 6x C-14, 2xC-18) , 112.7 (CH, 18xC-2) , 89.7 (C, 3xC-10) , 89.5 (C, C-21) , 89.3 (C, C-22) , 88.8 (C, 3xC-11) , 62.9 (C, 3xC-5, C-16) , 55.1 (CH3, 9xMeCH3O) , 0.0 (CH3, 3xCH3S) . MS ([ESI-TOF]+, m/z, %) : 1713 ([M+1]+, 12) , 434 ([M]+, 34) , 317 ([M-TMSH-3OMe]+, 9) . HRMS [ESI-TOF]+: calculado para [C20H100O9Si]+ ([M-TMSH-3OMe]+) : 1640.6741; encontrado: 1712.7133.
Ejemplo 9
Obtención de tris (4- (2- (4- (tris (4-metoxifenil) metil) -fenil) etinil) fenil) (4-etinilfenil) -metano (11)
En un matraz de fondo redondo de 100 mL provisto de septum para la entrada de argón, se disolvió el compuesto 10 (0.179 g, 0.104 mmol, 1 eq) en THF anhidro (25 mL) . La disolución obtenida se trató con TBAF (0.4 mL 0.396 mmol, 1M 4 eq) y se dejó reaccionando durante toda la noche. Sobre la mezcla de reacción se añadió una disolución saturada de NH4Cl (40 mL) y la fase acuosa se extrajo con EtOAc (3x25 mL) . La fase orgánica combinada se secó, filtró y concentró a sequedad. El residuo obtenido se purificó por cromatografía en columna (SiO2, 2.5x13 cm, 30% EtOAc/hexanos) para dar 11 [0.1 g, 0.061 mmol, 98%, Rf= 0.40 (30% EtOAc/hexanos) , sólido blanco].
1H-RMN (CDCl3, 250 MHz) : 7.25 (14H, m, H-8, H-13, H-19) , 7.04 (14H, m, H-7, H-14, H-18) , 6.94 (18H, dd, J1=3.4 Hz, J2=9.0 Hz, H-3) , 6.63 (18H, dd, J1=2.2 Hz, J2=9.0 Hz, H-2) , 3.63 (27H, s, CH3O) , 3.10 (1H, s, OC-H) . 13C-RMN (CDCl3, 63 MHz) : 157.5 (C, 9xC-1) , 148.0 (C, 3xC-6, 3xC-15, C-17) , 145.7 (C, 9xC-4) , 139.0 (C, 3xC-9, 3xC-12, C-20) , 131.9 (CH, 18xC-3) , 130.9 (CH, 6xC-8, 6xC-13, 2xC-19) , 130.6 (CH, 6xC-7, 6x C-14, 2xC-18) , 112.7 (CH, 18xC-2) , 89.7 (C, 3xC-10) , 89.5 (C, C-21) , 89.2 (C, C-22) , 88.8 (C, 3xC-11) , 62.8 (C, 3xC-5, C-16) , 55.1 (CH3, 9xMeCH3O) . MS ([CI]+, m/z, %) : 1260 ([M- (MeOPh) 3CPhC=C + K]+, 23) . HRMS [ESI-TOF]+: calculado para [C88H67KO6]+ ([M- (MeOPh) 3CPhC=C + K]+) : 1259.4575; encontrado: 1259.4563.
Ejemplo 10
Obtención de tetrakis (4- (2- (4- (tris (4- (2- (4- (tris (4-metoxifenil) metil) -fenil) etinil) -fenil) metil) fenil) etinil) fenil) metano (12)
En un tubo sellado provisto de septum para la entrada de argón, se disolvió 11 (0.100 g, 0.059 mmol, 5.0 eq) , 7 (0.010 g, 0.012 mmol, 1.0 eq) , CuI (0.001 g, 0.002 mmol, 0.2 eq) y (PPh3) 4Pd (0.003 g, 0.002 mmol, 0.2 eq) en THF seco (20 mL) . Sobre esta disolución se añadió piperidina (0.02 mL, 0.56 mmol, 13 eq) y se calentó a 80ºC durante toda la noche. Sobre la mezcla de reacción se añadió una disolución saturada de NH4Cl (30 mL) y se extrajo con EtOAc (3x20 mL) . La fase orgánica combinada se secó, filtró y concentro a sequedad. El residuo obtenido se purificó por cromatografía en columna (SiO2, 3.0x13 cm, 60% EtOAc/hexanos) para dar 12 [0.268 g, 0.039 mmol, 65%, Rf= 0.15 (40% EtOAc/hexanos) , sólido blanco].
1H-RMN (CDCl3, 250 MHz) : 7.23 (64H, m, H-8, H-13, H-19, H-25) , 7.04 (64H, m, H-7, H-14, H-18, H-25) , 6.92 (72H, m, H-3) , 6.62 (72H, m, H-2) , 3.62 (108H, s, CH3O) . 13C-RMN (CDCl3, 63 MHz) : 157.5 (C, 36xC-1) , 148.0 (C, 12xC-6, 12xC-15, 4xC-17, 4xC-26) , 145.6 (C, 36xC-4) , 139.0 (C, 12xC-9, 3xC-12, C-20) , 131.9 (CH, 72xC-3) , 130.9 (CH, 24xC-8, 24xC-13, 8xC-19, 8xC-24) , 130.6 (CH, 24xC-7, 24xC-14, 8xC-18, 8x25) , 112.7 (CH, 72xC-2) , 89.7 (C, 12xC-10) , 89.4 (C, 4xC-21) , 89.2 (C, 4xC-22) , 88.8 (C, 12xC-1 1) , 62.9 (C, 12xC-5, 4xC-16, C-27) , 55.1 (CH3, 36xCH3O) . EM (MALDI-TOF) : 6442 [ (MH) +- C30H25O3].
Ejemplo 11
Estudio de las características estructurales de los dendrímeros
Estas características se han puesto de manifiesto al realizar modelos CPK para varios ejemplos de esta clase de compuestos. Además, se ha realizado modelización molecular utilizando el módulo Discover del programa InsightlI y el campo de fuerzas CHARM para dos ejemplos (8 y 12, Figura 1) , donde se observa: (a) forma persistente para el dendrímero de generación 1 (8) (b) forma globular persistente y presencia de canales internos bien definidos para el dendrímero de generación 2 (12) y (c) la localización de los grupos funcionales terminales (OCH3) en la superficie exterior de los dendrímeros.