Fenucil deuterado y derivados, procedimiento para su preparación y usos de los mismos.
Introducción La invención se refiere al diseño, síntesis y aplicaciones de derivados deuterados de determinados compuestos tireostáticos.
Estado de la técnica
Como es bien conocido en el estado de la técnica, los compuestos tireostáticos son fármacos activos por vía oral que se pueden emplear en el engorde fraudulento del ganado previamente a su sacrificio. Las principales consecuencias del abuso de estos compuestos no son sólo la obtención de carne de menor calidad, sino el riesgo potencial que constituyen para la salud humana. Por estas razones, el uso de estos compuestos se encuentra prohibido en el marco de la Unión Europea desde 1981 (directiva 81/602/EC) .
La detección de estos compuestos en muestras de diversa procedencia (orina, leche, carne, sangre, muestras de tiroides) resulta problemática debido a la existencia de formas tautoméricas de los mismos, además de por presentar una elevada polaridad, lo que dificulta enormemente su detección empleando cromatografía líquida de alta resolución de fase reversa (RP-HPLC) .
Adicionalmente, el estudio mediante espectrometría de masas de estos compuestos de bajo peso molecular no es satisfactorio en términos de sensibilidad (relación señal/ruido de fondo) , ya que frecuentemente las señales debidas a estas moléculas aparecen solapadas con el ruido de fondo.
Sin embargo, las técnicas de cromatografía líquida de alta resolución (HPLC) y de cromatografía de gases (GC) acopladas a espectrometría de masas son las más utilizadas en la detección de este tipo de compuestos. Una reciente directiva de la Unión Europea (96/23/CE) , indica que el uso de derivados deuterados de los compuestos tireostáticos a analizar constituye un método analítico de alta precisión para la detección de estos compuestos [E.C. Council directive 96/23/CE, Off. J. Eur. Commun. 2002 L221/8].
Continúa existiendo, por tanto, la necesidad de proporcionar nuevos derivados deuterados de los compuestos tireostáticos para la detección fiable y precisa de los mismos mediante técnicas cromatográficas de alta resolución combinadas con espectrometría de masas.
Uno de estos compuestos tireostáticos es el 6-fenil-2-tioxo-2, 3-dihidropiridin-4 (1H) -ona, conocido también como Fenucil. Sin embargo, no se conoce en el estado de la técnica ningún derivado deuterados del mismo.
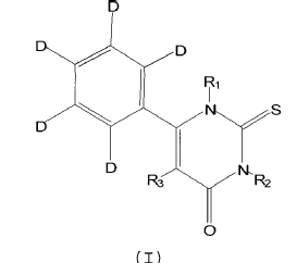
Objeto de la invención El objeto de la presente invención es la preparación química de un isotopómero deuterado del compuesto 6-fenil-2-tioxo-2, 3-dihidropiridin-4 (1H) -ona, conocido también como Fenucil, así como de otros derivados del mismo, concretamente, el compuesto deuterado de fórmula (I)
en la que:
R1, R2 yR3 representan de forma independiente un átomo de hidrógeno o un grupo alquilo C1-C4 sustituido con:
un grupo -OR4, siendo R4 un átomo de hidrógeno o un grupo alquilo C1-C3 opcionalmente sustituido con fenilo;
un grupo -NR5R6, siendo R5 yR6 de forma independiente un átomo de hidrógeno, o un grupo alquilo C1-C3, tosilo o mesilo;
un grupo -SR7, siendo R7 un átomo de hidrógeno o un grupo alquilo C1-C3;
un grupo -OCOR8, siendo R8 un grupo alquilo C1-C3 o fenilo; o un átomo de halógeno; y D representa deuterio.
Otro objeto de la invención es el propio compuesto deuterado (I) .
Asimismo, otro objeto de la invención es proporcionar una composición farmacéutica que comprende dicho compuesto deuterado.
Finalmente, otro objeto de la invención es proporcionar el uso de dicho compuesto deuterado para fabricar medicamentos destinados al tratamiento del hipertiroidismo o para usar como patrón en la detección del compuesto tireostático correspondiente.
Descripción detallada de la invención La presente invención proporciona el compuesto deuterado de fórmula general (I)
En una realización particular del compuesto deuterado de la invención, R1, R2 yR3 representan de forma independiente hidrógeno, o bien un grupo metilo o etilo que está sustituido con un grupo hidroxi (-OH) , metoxi (-OMe) , etoxi (-OEt) , benciloxi (-OBn) , amina (-NH2) , metilamina (-NHMe) , etilamina (-NHEt) , tosilamina (-NHTs) , mesilamina (-NHMs) , tiol (-SH) , tiometoxi (-SMe) , tioetoxi (-SEt) , acetoxi (-OCOCH3) o benzoiloxi (-OBz) ; o con un átomo de flúor, cloro, bromo o yodo.
En una realización preferida, R1, R2 yR3 representan de forma independiente hidrógeno o metilo. En una realización aún más preferida, R1, R2 yR3 representan hidrógeno.
Así, el compuesto deuterado de fórmula (I) preferido de la invención es 6-pentadeuterofenil-2-tioxo-2, 3-dihidropiridin-4 (1H) -ona.
En otro aspecto de la invención se proporciona un procedimiento para preparar el compuesto deuterado de la invención previamente descrito, que comprende las etapas siguientes:
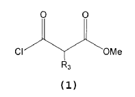
(a) hacer reaccionar un compuesto de fórmula (1) , en la que R3 tiene los significados dados previamente, con benceno deuterado (C6D6) en presencia de un ácido de Lewis a elevada temperatura, según una reacción de acilación de Friedel-Crafts.
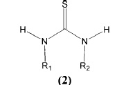
(b) hacer reaccionar el acil derivado deuterado obtenido en la etapa (a) con el compuesto (2) en presencia de una base fuerte a temperatura elevada;
en la que R1 yR2 tienen los significados dados previamente.
(c) tratar el producto de reacción de la etapa (b) con un ácido hasta pH ácido.
En la primera etapa del procedimiento, la acilación del compuesto correspondiente se efectúa empleando un ácido de Lewis adecuado, preferentemente a reflujo.
Como ácido de Lewis se puede emplear, en particular, bromuro de aluminio (AlBr3) o, preferentemente, cloruro de aluminio (AlCl3) .
El disolvente empleado en esta etapa (a) será cualquier disolvente adecuado del estado de la técnica, tal como tetrahidrofurano (THF) , dietiléter (Et2O) o sin disolvente, actuando el propio benceno deuterado (C6H6) como tal, por ejemplo, si bien se prefiere sin disolvente, actuando el propio benceno deuterado (C6H6) como tal. Asimismo, esta reacción se efectúa entre 20 y 150ºC, con un rendimiento óptimo a 90ºC y durante un tiempo de 5 minutos a 1 hora, preferiblemente de 20 minutos.
Tras la reacción de la etapa (a) , el producto de reacción se trata con una base fuerte a elevada temperatura.
Así, en otra realización particular del procedimiento de la invención, la base fuerte empleada en la etapa (b) se selecciona entre un hidruro metálico tal como el hidruro sódico o el hidruro potásico; un hidróxido metálico tal como el hidróxido de litio, el hidróxido de sodio o el hidróxido de potasio; un alcóxido metálico tal como el metóxido de litio, el metóxido de sodio, el metóxido de potasio, el etóxido de litio, el etóxido de sodio o el etóxido de potasio; un amiduro metálico tal como el amiduro de litio, el amiduro de sodio, el amiduro de potasio o el diisopropil amiduro de litio (LDA) ; una base orgánica nitrogenada tales como la 1, 8-diazabiciclo[5.4.0]undec-7-eno (DBU) ; una hexametildisilazida metálica tal como la hexametildisilazida de litio, la hexametildisilazida de sodio o la hexametildisilazida de potasio; o un alquilmetal tal como el tert-butil litio o el butil litio.
Así, en una realización preferida del procedimiento de la invención, la base fuerte empleada en la etapa (b) es etóxido de sodio.
La reacción con la base fuerte de la etapa (b) se efectúa a una temperatura de entre 40ºC y 130ºC, preferiblemente a una temperatura de entre 60 a 120ºC y, más preferiblemente, a una temperatura de 90ºC. El tiempo necesario para que reacción sea efectiva está comprendido entre 5 y 48 horas, preferiblemente durante un tiempo de entre 10 y 24 horas y, más preferiblemente, durante un tiempo de 20 horas.
Finalmente, el producto acildeuterado y tratado con la base fuerte a alta temperatura se hace reaccionar, etapa (c) , con un ácido hasta pH ácido.
Como reactivo ácido se puede emplear, en particularácido sulfúrico (H2SO4) , ácido nítrico (HNO3) , ácido fosfórico (H3PO4) , o, preferentemente, ácido clorhídrico (HCl) .
La reacción con el ácido fuerte de la etapa (c) se efectúa a una temperatura de entre 5ºC y 30ºC, preferiblemente a una temperatura de entre 10 a 25ºC y, más preferiblemente, a una temperatura de 18ºC. Esta reacción con el ácido fuerte de la etapa (c) se efectúa durante un tiempo de entre 1 y 15 minutos, más preferiblemente durante un tiempo de 5 minutos.
El disolvente empleado en esta etapa (c) será cualquier disolvente adecuado del estado de la técnica, tal como etanol absoluto (EtOH) , tetrahidrofurano (THF) o dietiléter (Et2O) , por ejemplo, si bien se prefiere el etanol absoluto.
En otro aspecto de la invención se proporciona una composición farmacéutica, que comprende el compuesto de la invención definido previamente y, al menos, un excipiente farmacéuticamente aceptable.
En otro aspecto de la invención se proporciona el uso de los compuestos definidos previamente para la fabricación de medicamentos para el tratamiento del hipertiroidismo.
Por otro lado, el compuesto deuterado de la invención se puede usar como patrón en la detección del compuesto tireostático correspondiente.
Así, en otro aspecto de la invención se proporciona el uso del compuestos deuterado de la invención (I) , y sus derivados definidos previamente, como patrones para la detección de compuestos tireostáticos de fórmula (II) .
en la que R1, R2 yR3 tienen los significados dados previamente, mediante técnicas cromatográficas de alta resolución combinadas con espectrometría de masas.
Entre estas técnicas cromatográficas que pueden emplearse están la cromatografía liquida de alta resolución (HPLC) y la cromatografía de gases (GC) .
Modo de realización Preparación de 6-pentadeuterofenil-2-tioxo-2, 3-dihidropiridin-4 (1H) -ona (Fenucil deuterado)
Una disolución de 897 mg de cloruro de metil malonilo comercial en benceno deuterado (C6D6) (0, 37 ml) se calentó a reflujo durante 20 minutos. Transcurrido este tiempo se dejó enfriar y el crudo de reacción se virtió sobre hielo adicionándole disolución de hidróxido sódico (NaOH) al 10% hasta pH básico. Se extrajo con dietiléter (Et2O) y la fase orgánica se secó con Na2SO4 anhidro, se filtró y evaporó el disolvente para dar un compuesto deuterado con un rendimiento del 90%.
Posteriormente, el compuesto obtenido se trató con etóxido de sodio y tiourea (SC (NH2) 2) en etanol (EtOH) absoluto y la mezcla se calentó a reflujo durante 18 h. Se añadió disolución de HCl al 10% hasta pH ácido, se eliminó el etanol (EtOH) a presión reducida. El precipitado aparecido se recogió y se lavó con hexano dando un rendimiento del 80%.