Procedimiento para la reducción catalítica de sulfóxidos orgánicos.
Objeto de la invención
La presente invención se refiere a un procedimiento para la reducción catalítica de compuestos orgánicos que incluyen un grupo funcional sulfóxido, esto es compuestos de fórmula general R1-S (=O) -R2, siendo R1 yR2 grupos orgánicos, a compuestos orgánicos de tipo sulfuro, R1-S-R2, incluyendo un grupo funcional tioéter.
Más concretamente, la invención se refiere a un procedimiento para la reducción catalítica de compuestos orgánicos que incluyen un grupo funcional sulfóxido a compuestos tipo sulfuro que incluyen un grupo funcional tioéter mediante la utilización de pinacol (2, 3-dimetil-2, 3-butanodiol) como agente reductor en presencia de un catalizador de molibdeno, en un medio libre de disolventes orgánicos, bajo presión atmosféricayauna temperatura entre 70-90ºC.
Antecedentes de la invención
La reducción de sulfóxidos a sus correspondientes sulfuros constituye una importante reacción de gran utilidad tanto en reacciones bioquímicas como en reacciones de síntesis orgánica.
En general, para la reducción de sulfóxidos a sulfuros se han venido utilizando compuestos que contienen azufre, tales como tioles, sulfuro de hidrógeno, ácidos tales como ácidos carboditiónicos o ácidos tiofosfónicos o tiofosfóricos, cloruros tales como cloruro de sulfonilo o de sulfinilo, disulfuros, azufre elemental (S8) y cloruro de tionilo. Sin embargo, estos métodos presentan ciertas desventajas, haciendo necesario el desarrollo de nuevos métodos de reducción con compuestos que contienen azufre.
Uno de estos nuevos métodos es, por ejemplo, la desoxigenación de sulfóxidos en presencia de 1, 3-ditiano utilizando como catalizador N-bromosuccinimida (NBS) , 2, 4, 4, 6-tetrabromo-2, 5-ciclohexanodiona (TABCO) o Br2 como fuente electrofílica de bromo a temperatura ambiente (r.t.) .
Es también conocida la reducción de sulfóxidos, bajo condiciones homogéneas, con compuestos de fósforo, tales como fosfinas, fosfatos, fosfolanos cíclicos, haluros de fósforo, etc. Por ejemplo, la reducción de sulfóxidos en presencia de fosfitos catalizada por bis (dimetilformamido) diclorodioxomolibdeno (VI)
y también la reducción con PPh3/TiCl4 permite obtener los sulfuros correspondientes bajo condiciones suaves.
Estos y otros procesos de reducción de sulfóxidos orgánicos a sulfuros pueden encontrarse, por ejemplo, en Firouzabadi, Habib y Jamalian, Arezu (2008) , “Reduction of oxygenated organosulfur compounds”, Journal of Sulfur Chemistr y , 29: 1, 53-97.
La patente EP 0259882, “Process for the reduction of organic sulfur compounds”, se refiere a un procedimiento para la reducción de compuestos orgánicos de azufre, tales como ácidos sulfónicos, haluros de sulfonilo, sulfonatos, sulfóxidos y/o disulfonas, donde el compuesto en fase líquida o gaseosa se hace reaccionar con un hidrocarburo en presencia de un 1 a un 50% en peso de carbono elemental, con respecto al hidrocarburo, a una temperatura de 100ºC a 500ºC.
La ES 2156184 (EP 0738729) , “Procedimiento de reducción selectiva de sulfóxidos de cefalosporina”, describe un procedimiento para la reducción selectiva de sulfóxidos de cefalosporina de compuestos de 3-hidroxi-cephem y 3-metilen-cepham mediante un tratamiento con un agente de cloración en presencia de un aceptor de protones o base y de un disolvente esencialmente anhidro, inertes al agente de cloración, a una temperatura de entre -65ºC y +50ºC.
Entre las desventajas de muchos de estos métodos conocidos de la técnica anterior para la reducción de sulfóxidos a sulfuros se encuentran unas condiciones de reacción que resultan incompatibles con la presencia de grupos funcionales sensibles en la molécula. Igualmente, muchos de estos métodos conocidos dan lugar a subproductos difícilmente separables del producto final, que hacen necesarias tediosas y costosas etapas de purificación para obtener el producto puro. Muchos de los subproductos, reductores y disolventes empleados en las reacciones según los métodos anteriores son tóxicos y medioambientalmente problemáticos.
El objeto de la presente invención es, por tanto, proporcionar un procedimiento para la reducción catalítica de compuestos orgánicos que incluyen un grupo funcional sulfóxido, esto es compuestos de fórmula general (1) , siendo R1 yR2 grupos orgánicos, a compuestos orgánicos de tipo sulfuro (2) , R1-S-R2, incluyendo un grupo funcional tioéter que no presente las desventajas de los procedimientos anteriormente mencionados.
Así, el procedimiento para la reducción de sulfóxidos de la presente invención se basa en la utilización de pinacol, como agente reductor, un compuesto fácilmente accesible y manejable; genera subproductos fácilmente separables y medioambientalmente inocuos y permite la obtención de sulfuros de elevada pureza con un alto rendimiento sin necesidad de costosos procedimientos de separación cromatográficos. El procedimiento de la invención tiene además la ventaja de no necesitar una atmósfera inerte ni disolventes orgánicos para llevar a cabo la reacción de reducción.
Descripción de la invención
A la vista de lo anteriormente enunciado, la presente invención se refiere a un procedimiento para la reducción catalítica de compuestos orgánicos de fórmula (1) que incluyen un grupo funcional sulfóxido a compuestos tipo sulfuro, de fórmula (2) , que incluyen un grupo funcional tioéter, mediante la utilización de pinacol (2, 3-dimetil-2, 3-butanodiol) como agente reductor, utilizando como catalizador de reacción un catalizador de molibdeno (VI) ,
donde:
R1 representa un grupo alquilo lineal o ramificado, saturado o insaturado, sustituido o no sustituido; o un grupo arilo sustituido o no sustituido;
R2 representa un grupo alquilo lineal o ramificado, saturado o insaturado, sustituido o no sustituido; o un grupo arilo sustituido o no sustituido; y
[cat.] representa un catalizador de Mo (VI) .
Exposición detallada de la invención
La presente invención se refiere a un procedimiento para la reducción catalítica de compuestos orgánicos que incluyen un grupo funcional sulfóxido de fórmula (1) a compuestos tipo sulfuro que incluyen un grupo funcional tioéter
(2) mediante la utilización de pinacol (2, 3-dimetil-2, 3-butanodiol) como agente reductor, utilizando como catalizador de reacción un catalizador de molibdeno (VI) ,
donde
R1 en la fórmula (1) y (2) representa un grupo alquilo lineal o ramificado, saturado o insaturado, sustituido o no sustituido; o un grupo arilo sustituido o no sustituido;
R2 en la fórmula (1) y (2) representa un grupo alquilo lineal o ramificado, saturado o insaturado, sustituido o no sustituido; o un grupo arilo sustituido o no sustituido; y
[cat.] representa un catalizador de Mo (VI)
desarrollándose la reacción a presión atmosférica, a una temperatura de entre 70ºC y 90ºC y en un medio libre de disolventes orgánicos.
Preferentemente R1 yR2 se seleccionan, independientemente uno de otro, de entre grupos alquilo saturados tales como grupos metilo, etilo, butilo, 1-metilpropilo, sustituidos o no sustituidos; grupos alquilo monoinsaturados alquenilo o alquinilo tales como 4-pentenilo o 4-pentinilo, sustituidos o no sustituidos; grupos arilo tales como fenilo no sustituido o sustituido; grupos carbonilo sustituidos o no sustituidos, o grupos éster sustituidos o no sustituidos.
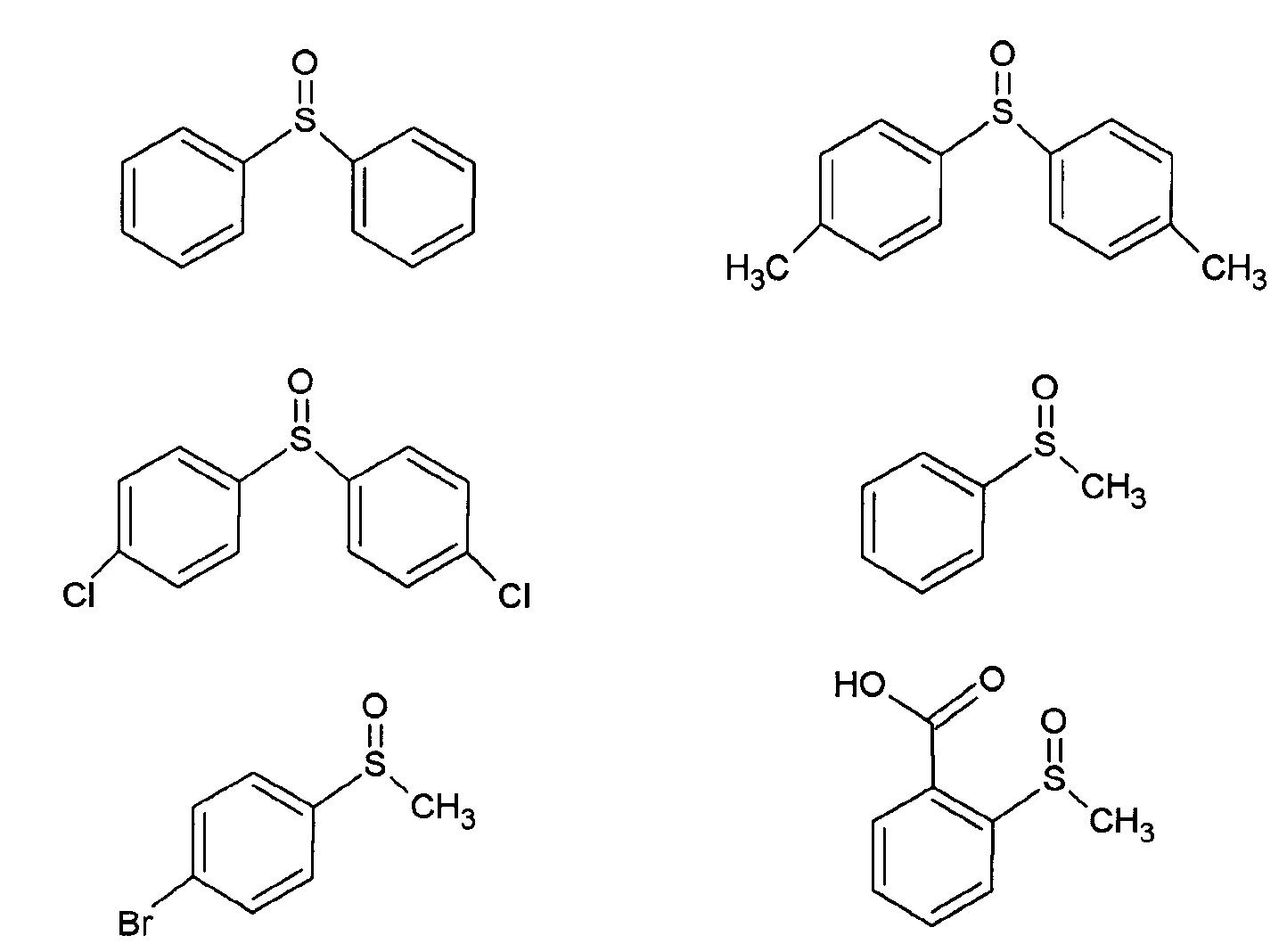
Preferentemente, los compuestos de fórmula (1) se seleccionan de entre los siguientes compuestos:
En una realización preferente del procedimiento de la invención, el catalizador de Mo (VI) utilizado para la reducción de sulfóxidos es bis- (dimetilformamido) diclorodioxomolibdeno, MoO2Cl2 (dmf) 2, donde dmf = dimetilformamida.
Los únicos subproductos de la reacción obtenidos según el procedimiento de la invención, procedentes de la oxidación del pinacol, son agua y acetona, lo que permite obtener el sulfuro de forma pura tras una simple extracción.
La cantidad de catalizador utilizada en el procedimiento de la invención se encuentra en un rango del 0, 5 al 3 mol%, mientras que la cantidad de pinacol utilizada en el procedimiento de la invención oscila entre1y4 equivalentes.
Los productos obtenidos a partir de la aplicación del procedimiento de la invención tienen una alta pureza y el rendimiento del proceso es excelente, variando éste entre aproximadamente el 80% y aproximadamente el 90%.
El pinacol utilizado como agente reductor en el presente procedimiento es un reactivo fácilmente accesible y seguro desde el punto de vista de su manejo, lo cual permite llevar a cabo el procedimiento de la invención sin necesidad de importantes sistemas de protección ni de inversiones en cuanto a seguridad se refiere, ya que los subproductos obtenidos son acetona y agua.
Ejemplos
El procedimiento de reducción para la reducción catalítica de compuestos orgánicos que incluyen un grupo funcional sulfóxido de fórmula (1) a compuestos tipo sulfuro que incluyen un grupo funcional tioéter (2) mediante la utilización de pinacol (2, 3-dimetil-2, 3-butanodiol) como agente reductor, utilizando como catalizador de reacción bis (dimetilformamido) -diclorodioxomolibdeno (VI) (MoO2Cl2 (dmf) 2) de la invención se ilustra además mediante los siguientes ejemplos, los cuales no son limitativos del alcance de la presente invención.
Ejemplo 1
Reducción de difenilsulfóxido a difenilsulfuro
Una mezcla de 473 mg de pinacol (2 equivalentes) , 405 mg de difenilsulfóxido y 14 mg de MoO2Cl2 (dmf) 2 (2 mol%) se calienta a 90ºC durante 6 h. A continuación, el crudo de reacción se disuelve en 40 ml de dietil éter y la disolución resultante se lava con una disolución acuosa de NaOH 0, 5 M (3 x 20 ml) . La fase orgánica se seca sobre Na2SO4 anhidro, se filtra y se eliminan los disolventes a presión reducida. Se obtienen 332 mg de difenilsulfuro (rendimiento: 89%) cuyos datos espectroscópicos se recogen a continuación:
1H-RMN (300 MHz, CDCl3) : δ (ppm) : 7.42-7.25 (m, 4H, ArH) , 7.38-7.34 (m, 4H, ArH) , 7.33-7.26 (m, 3H, ArH) . 13C-RMN (75, 4 MHz, CDCl3) : δ (ppm) : 135.8 (2 x C) , 131.1 (4 x CH) , 129.3 (4 x CH) , 127.1 (2 x CH) .
Ejemplo 2
Reducción de dibutilsulfóxido a dibutilsulfuro
Una mezcla de 473 mg de pinacol (2 equivalentes) , 325 mg de dibutilsulfóxido y 14 mg de MoO2Cl2 (dmf) 2 (2 mol%) se calienta a 90ºC durante 6 h. A continuación, el crudo de reacción se disuelve en 40 ml de dietil éter y la disolución resultante se lava agua (3 x 20 ml) . La fase orgánica se seca sobre Na2SO4 anhidro, se filtra y se eliminan los disolventes a presión reducida. Se obtienen 231 mg de dibutilsulfuro (rendimiento: 79%) cuyos datos espectroscópicos se recogen a continuación:
1H-RMN (300 MHz, CDCl3) : δ (ppm) : 2.46 (t, J = 7.3 Hz, 4H, 2 x SCH2) , 1.60-1.51 (m, 4H, 2xSCH2CH2) , 1.44
1.34 (m, 4H, 2xCH2CH3) , 0.87 (t, J =7.2 Hz, 6H, 2xCH3) .
13C-RMN (75, 4 MHz, CDCl3) : δ (ppm) : 31.8 (2 x CH2) , 31.7 (2 x CH2) , 22.0 (2 x CH2) , 13.6 (2 x CH3)
Ejemplo 3
Reducción de ácido fenil pent-4-in-1-il sulfóxido a fenil pent-4-in-1-il sulfuro
Una mezcla de 473 mg de pinacol (2 equivalentes) , 385 mg de ácido fenil pent-4-in-1-il sulfóxido y 14 mg de MoO2Cl2 (dmf) 2 (2 mol%) se calienta a 90ºC durante 4 h. A continuación, el crudo de reacción se disuelve en 40 ml de dietil éter y la disolución resultante se lava con una disolución acuosa de NaOH 0, 5 M (3 x 20 ml) . La fase orgánica se seca sobre Na2SO4 anhidro, se filtra y se eliminan los disolventes a presión reducida. Se obtienen 321 mg de fenil pent-4-in-1-il sulfuro (rendimiento: 91%) cuyos datos espectroscópicos se recogen a continuación:
1H-RMN (300 MHz, CDCl3) : δ (ppm) : 7.41-7.29 (m, 4H, ArH) , 7.25-7.18 (m, 1H, ArH) , 3.07 (at, J = 7.1 Hz, 2H, SCH2 (CH2) 2) , 2.38 (td, J = 6.9 y 2.7 Hz, 2H, CH2C≡CH) , 2.03 (t, J = 2.7 Hz, 1H, C≡CH) , 1.88 (aq, J = 7.1 Hz, 2H, S (CH2) 2CH2) .
13C-RMN (75, 4 MHz, CDCl3) : δ (ppm) : 136.1 (C) , 129.2 (2 x CH) , 128.9 (2 x CH) , 126.0 (CH) , 83.3 (C) , 69.2 (CH) , 32.3 (CH2) , 27.7 (CH2) , 17.4 (CH2) .