Aceite de oliva dietético por reincorporación de ingredientes naturales procedentes de la aceituna.
Estado de la técnica
El cultivo del olivo posee una gran importancia en los países templados de casi todo el mundo. Su aprovechamiento principal es el aceite de oliva, del que en España se produce actualmente más de un millón de Tm. Los procedimientos clásicos para la molturación de la aceituna y la producción de aceite son los denominados de tres fases
, tanto en forma continua como discontinua. Mediante estos procedimientos, además del aceite, se obtienen subproductos tales como el alpechín, fracción acuosa de la aceituna con o sin adición de agua, y los orujos de diversos tipos, que son generalmente extraídos para un adicional aprovechamiento de aceite. En la actualidad, además de los procedimientos de tres fases, se utiliza el denominado de dos fases
en el que, además del aceite, se obtiene una masa que contiene los restos de la pulpa y, usualmente aunque no siempre, el hueso de la aceituna, mezclados con el agua de vegetación, dando lugar a un subproducto que se conoce con el nombre de alpeorujo
.
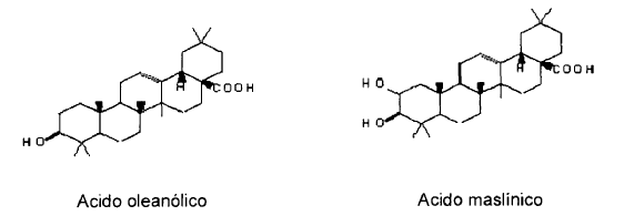
El ácido oleanólico (3-betahidroxi-28-carboxioleanano) es un ácido triterpénico ubícuamente repartido en el reino vegetal. Así, la base de datos fitoquímica del Departamento de Agricultura de los Estados Unidos (http://probe.nalusda. gov:8300/cgi-bin/browse/phytochemdb) recoge su presencia en casi un centenar de plantas, entre las que se encuentra la Olea europaea, así como una serie de actividades biológicas comprobadas (antiabortivo, anticariogénico, antifertilidad, antihepatotóxico, antiinflamatorio, antisarcómico, preventivo del cáncer, cardiotónico, diurético, hepatoprotector y uterotónico) . Son continuas las publicaciones sobre la posible actividad biológica de este ácido y de sus glicósidos. Así, se ha estudiado su actividad como inhibidor de la proliferación de células leucémicas (Essady, D., Najid, A., Simo, A., Denizot, Y., Chulia, A.J. and Delage, C.; Mediators of Inflammation (1994) 3, 181-184) , como hipoglucemiante (Yoshikawa, M., Matsuda, H., Harada, E., Mukarami, T., Wariishi, N., Murakami, N. And Yamahara, J.; Chemical & Pharmaceutical Bulletin, (1994) 42, 1354-1356) antitumoral (Ohigashi, H., Mukarami, A. and Koshimizu, K ACS Symposium Series (1994) 547, 251-261) , productor de efectos antagonistas en el shock anafiláctico (Zhang, L.R. and Ma, T.X.; Acta Pharmacológica Sinica (1995) 16, 527-530) , hepatoprotector (Liu, J., Liu, Y.P., Parkinson, A. and Klaasen, C.D.; Journal of Pharmacology and Experimental Therapeutics, (1995) 275, 768-774; Connolly, J.D. and Hill, R.A. Procedente de la aceituna Product Reports 12, 609-638 (1995) , antiinflamatorio (Recio, M.D., Giner, R.M., Manez, S. And Rios, J.L.; Planta Medica (1995) 61, 182-185. Se ha publicado una revisión específica de la actividad farmacológica del ácido oleanólico (Liu, J. Journal of Ethnopharmacology (1995) 49, 57-68) . Supplementation of oils with oleanolic acid from the olive leaf (Olea europaea) Europ. J. Of Lipids Sci. and Tecnology (2004) 106, 22-26.
Quizá la mejor prueba del interés que suscita a nivel mundial está en las patentes internacionales que sobre este ácido existen: Use of oleanolic acid as a vasodilator and restorer agent for endothelial dysfunction (WO2004ES00190 20040430) ; Cosmetic and dermopharmaceutical compositions for skin prone to acne (WO2002fr03344 20021001) ; Cosmetic composition for care of sensitive skin includes oleanolic acid or vegetable extract rich in oleanolic acid, and at least one other vegetable extract chosen from shea-butter flower and solanum lycocarpum (FR20000008758 20000705) ; Process for preparing food products fortified with oleanolic acid (US19990468637 19991222) ; Oleanolic acid-based anti-pruritus agent (JP19970183075 19970623) ; Angiogenesis inhibitor composition comprising oleanolic acíd (KR 19920021117 19921111) .
El ácido maslínico (2-alfa, 3-betadihidroxi-28-carboxioleanano) , también denominado ácido crataególico, es un ácido mucho menos repartido en la naturaleza, habiendo sido detectado en una decena de plantas (http://probe.nalusda. gov:8300/cgi-bin/browse/phytochemdb) . Se conoce su actividad como antihistamínico y antiinflamatorio (http://probe. nalusda.gov:8300/cgibin/browse/phytochemdb) , aunque su escasez hace que no se haya estudiado extensamente. El aislamiento de los ácidos oleanólico y maslínico de las ceras de la superficie del fruto de la Olea europaea, ha sido descrito (Bianchi, G., Pozzi, N. And Vlahov, G. Phytochemistr y (1994) 37, 205-207) mediante la extracción metanólica de olivas previamente lavadas con cloroformo. La separación de este tipo de ácidos ha sido descrita mediante cromatografía en contracorriente de alta velocidad (HSCCC) (Du, Q.Z., Xiong, X.P. and Ito, Y.; Journal of Liquid Chromatography (1995) 18, 1997-2004.
Otros derivados del ácido oleanólico, como el ácido equinocístico (16-hidroxioleanólico) han demostrado efectos inhibidores frente a la replicación del HIV en células H-9 con valores EC50 de 2.3 mM (Anti-AIDS agents, 21. Triterpenoid saponins as anti-HIV principies from fruits of Gleditsia japonica and Gymnocladus chinensis, and a structure-activity correlation, Konoshima, Takao; Yasuda, Ichiro; Kashiwada, Yoshiki; Cosentino, L. Mark; Lee, Kuo-Hsiung, J. Nat. Prod., 58 (9) , 1372-7, (1995) ) . Otros muchos derivados directos han demostrado ser antagonistas del leucotrieno D4 Leukotriene D4 antagonists in Tripter y gium wilfordii, Morota, Takashi; Saitoh, Kazuko; Maruno, Masao; Yang, Chun-Xin; Qin, Wan-Zhang; Yang, Bing-Hui, Nat. Med., 49 (4) , 468-71 (1995) y lo más esperanzador es que una búsqueda farmacófora de inhibidores de proteasas del HIV-1, realizada en el Instituto Nacional del Cáncer (Betsheda, USA) ha señalado a un derivado del ácido maslínico como una base prometedora del desarrollo futuro en esta actividad (Discover y of Novel, Non-Peptide HIV-1 Protease Inhibitors by Pharmacophore Searching, Wang, Shaomeng; Milne, G. W. A.; Yan, Xinjian; Posey, Isadora; Nicklaus, Marc C.; GrahamX Lisa; Rice, William G., J. Med. Chem., 39 (10) , 2047-54 (1996) ) . Se ha descubierto recientemente que el ácido maslínico posee una potente actividad inhibidora in vitro de la proteasa del virus del sida (HIV-1) (Anti- HIV Triterpene Acids from Geum japonicum, Xu, H.X.; Zeng, F.; Wan, M.; Sim, Keng-Yeow J. Nat. Prod., 59 (7) , 643-645 (1996) .) . Como resultado de las pruebas biológicas que hemos realizado se han registrado, hasta ahora, dos patentes por la Universidad de Granada para la obtención de medicamentos como inhibidores de proteasas para el tratamiento de las enfermedades producidas por los protozoos del género Cr y ptosporidium (P9701029 Utilización de ácido maslínico como inhibidor de serín-proteasas para el tratamiento de enfermedades causadas por parásitos de género Cr y ptosporidium) . Además, los ensayos realizados sobre línea celular MDCK muestran un porcentaje de inhibición de infección 92, 3% a 37 mg/mL. En el caso de los virus causantes del sida, las pruebas han dado lugar a una patente (P9702528 Utilización de ácido maslínico como inhibidor de proteasas para el tratamiento de la enfermedad causada por los virus de la inmunodeficiencia adquirida) , ya que se ha demostrado que puede actuar intracelularmente y que inhibe considerablemente la salida del virus desde la célula infectada hacia el medio, mecanismo que parece que funciona con el concurso de serín proteasas. Más recientemente, los Departamentos de Farmacología y Química Orgánica de la Universidad de Granada han efectuado un estudio de hepatoprotección con magníficos resultados, lo que se recoge en la publicación Antioxidant Activity of Maslinic Acid, a Triterpene obtained from Olea europaea
M.Pilar Montilla, Ahmad Agil, M. Concepción Navarro, M. Isabel Jiménez, Andrés García-Granados, Andrés Parra y Matilde Cabo, Planta Medica 2003, 69, 472-474, comprobándose que el ácido maslínico disminuye los niveles de lipoperóxidos y la susceptibilidad de los hepatocitos de membrana a la peroxidación lipídica (LPO) , produciendo por tanto una resistencia en ratas al estrés oxidativo. Por otra parte, investigadores de la Universidad de Granada han realizados detalladas experiencias empleando como animales de experimentación la trucha arcoiris, demostrando que la aditivación de su alimentación con ciertas cantidades de ácido maslínico redunda en una mejora importantísima del órgano y de la función hepática y, por tanto, en la salud del animal. Todos estos resultados han sido recogidos en la patente, cuya titularidad ostenta la Universidad de Granada, Ácido maslínico como aditivo en producción animal, P200401676
, continuando tanto esta Universidad como otras españolas, extranjeras y empresas privadas con gran número de líneas de investigación en sanidad humana, animal y de cosmética con resultados muy esperanzadores.
Como en el caso del anteriormente mencionado ácido oleanólico, se están registrando un gran número de patentes en las que el ácido maslínico actúa como componente activo: Antitumor agent US20030355201 20030131; Apoptosis inductor (WO2002JP13663 20021226) ; Antiobestic foods and drinks (WO2002JP11608 20021107) ; External agent for the skin and whitening agent (US20020259323 20020930) ; Antiobesity drugs and materials thereof (WO2002JP07709 20020730) ; Drugs for vascular lesion (WO2002JP03189 20020329) ; Antitumor food or beverage (WO2001 JP11374 20011225) .
Tanto el ácido oleanólico como el ácido maslínico se encuentran abundantemente en la cera de la piel de las aceitunas (The Lipids of Olea-Europaea. 4. Pentacyclic Triterpene Acids in Olives, Bianchi, G., Pozzi, N., Vlahov, G., Phytochemistr y , 37 (1) , 205-207, (1994) ) . Sin embargo, durante el proceso de molturación de la aceituna, sólo una pequeña cantidad de estos ácidos queda disuelto en el aceite virgen, cantidad que decrece, e incluso desaparece, en los procesos de refinado. Así, e independientemente de la variedad de aceituna original y del proceso de obtención del aceite por el sistema de dos fases o el de tres fases, la cantidad de ácido oleanólico presente en aceites virgen con índices de acidez inferiores al 0.5% es de un valor medio de unos 50 mg por kilo, con excepción del procedente de aceituna Arbequina que contiene casi 90 mg/kg. Las cantidades de ácido maslínico son muy similares en todos los casos. En los aceites virgen con índices de acidez comprendidos entre el 1% y el 9%, el contenido de ácido oleanólico se eleva hasta los 200 mg/kg, y cantidades también similares de ácido maslínico. No existe sin embargo una correlación lineal entre el grado de acidez y el contenido en estos ácidos. Así, un aceite virgen de aceituna Picual de acidez del 0.22% contiene 35 mg/kg de ácido oleanólico y 62 mg/kg de ácido maslínico. El aceite virgen también de Picual, con una acidez del 1.1% contiene unos 167 mg/kg de oleanólico y 145 mg/kg de ácido maslínico y otro aceite también de aceituna picual con un índice de acidez de 8.9% da valores de 216 mg/kg de oleanólico y 194 mg/kg de maslínico. Como era de esperar, el aceite de orujo contiene cantidades muy variables, pero siempre mayores, de estos ácidos: Entre 2000 y 8500 mg/kg de ácido oleanólico y entre 200 y 1500 mg/kg de maslínico. Sin embargo, el obligado proceso de refino de este tipo de aceite elimina casi por completo estos ácidos si el refino es químico y sólo deja entre 30 y 100 mg/kg en el caso de refinado físico. El procedimiento de análisis del contenido de estos ácidos en aceites de alimentación ha sido establecido por investigadores del Instituto de La Grasa (C.S.I.C.) (M.C. Pérez_Camino and A. Cert, J. Agric. Food Chem, 1999, 47, 1558-1562) . Una patente desarrollada y titularizada por la Universidad de Granada (ES211498, Procedimiento de aprovechamiento industrial de los ácidos 3betahidroxiolean-12-en-28-óico (oleanólico) y 2alfa, 3beta-dihidroxiolean-12-en-28-óico (maslínico) contenidos en los subproductos de la molturación de la aceituna) extendida a la práctica totalidad de los países de interés, permite obtener industrialmente estos dos ácidos, por separado y en alto grado de pureza, a partir de subproductos sólidos de la molturación industrial de la aceituna, por cualquiera de los procedimientos ahora empleados (prensas, continuo en tres fases y en el denominado de dos fases) , lo que constituye una fuente asequible e inagotable de los mismos. El proceso de separación establecido es sumamente eficaz, permitiéndonos aislar estos productos a partir de las complejas mezclas originales. Esto nos permite disponer de los ácidos oleanólico y maslínico procedentes de la aceituna recuperándolos de la propia aceituna previamente molturada y que por cuestiones de reparto en las condiciones de molturación se desechan en su mayoría en los subproductos industriales de esa molturación, desperdiciándose unos productos de evidente interés en alimentación y perdiendo el aceite comercial parte de sus propiedades beneficiosas.
Objeto de la invención
Se pretende preparar un aceite de oliva con cantidades a elegir de los ácidos oleanólico y maslínico constituyendo así un alimento funcional en forma parecida a la tan de moda preparación de lácteos y otros alimentos de composición conocida de ácidos grasos omega-3 y de proporción adecuada con los ácidos omega-6, con la diferencia de que, en este caso, se trata de reincorporar los propios ácidos triterpénicos originarios de la aceituna productora del aceite que se han perdido en el proceso de molturación y/o refino.
Descripción de la invención
Los ácidos oleanólico y maslínico utilizados para la preparación del alimento funcional originalmente presentes en la aceituna se pueden obtener mediante el procedimiento patentado por la propia Universidad de Granada (ES211498) . Para la obtención de los 5 kg de oleanólico es necesario procesar adecuadamente unos 1250 kg de orujo seco. Para la obtención de 5 kg de ácido maslínico es necesario también procesar adecuadamente unos 1250 kg de orujo seco. El control de autenticidad se realiza llevando a cabo la determinación de componentes minoritarios descritos como existentes en la cera de la piel de la aceituna descrito (Bianchi, G., Pozzi, N. And Vlahov, G. Phytochemistr y (1994) 37, 205-207) .
A continuación se indican dos ejemplos de la realización práctica del procedimiento descrito en la presente memoria:
Ejemplo 1
Se parte de 1000 kg de aceite virgen procedente de la molturación de la aceituna por cualquiera de los procedimientos en uso e industrialmente adecuados. Si realizada la determinación del índice de acidez resulta ser menor del 0.5%, se asume que, como se ha explicado en el apartado anterior, contiene un valor medio de 50 mg/kg de cada uno de los ácidos oleanólico y maslínico. Si se desea mayor precisión en el cálculo de contenidos, se procede a un análisis por CG de los TMS derivados en la forma descrita en el mencionado proceso descrito en J. Agrio. Food Chem, 1999, 47, 1558-1562. Posteriormente, y en función de las aplicaciones y características del alimento funcional a preparar, se añadirán la cantidad de ácido oleanólico, de maslínico o de ambos hasta alcanzar la concentración adecuada que podrá estar comprendida desde su concentración original hasta aproximadamente, pero no en forma limitante, unos 5000 mg/kg de unos sólo de ellos o de sus mezclas en las proporciones deseadas. Es decir, que sobre los 1000 kg de aceite de partida, se podrá añadir oleanólico y/o maslínico procedente de la aceituna de aceituna hasta, pero no en forma limitante unos 5 kg de ácido oleanólico, obteniendo un aceite rico en este componente o hasta, pero no en forma limitante, 5 kg de ácido maslínico obteniendo un aceite rico en este componente, así como proporciones variables de los mismos hasta alcanzar la concentración adecuada. El o los productos se añadirán disolviendo los componentes de carácter pulverulento, preferentemente en caliente, en unos 50 litros del aceite de oliva que se añadirá al resto de los 1000 kg de la partida tomada como ejemplo.
Ejemplo 2
Para reincoporar los ácidos oleanólico y/ácido maslínico a una partida de 1000 kg de aceite con un índice de acidez comprendido entre el 0.5 y el 5%, se asumirá que el contenido de este aceite en ácido oleanólico es de 200 mg/kg tanto de ácido oleanólico como de ácido maslínico. Si se quiere hacer la determinación precisa de los mismos, se procederá conforme a lo descrito en la referencia J. Agrio. Food Chem 1999, 47, 1558-1562. Para restituir estos ácidos en las proporciones deseadas a la partida de aceite, se procederá a tomar una muestra de 50 litros de este aceite al que se añadirá, preferentemente en caliente hasta, pero no con carácter limitante, 4.8 kg de ácido oleanólico o de ácido maslínico o de sus mezclas, con objeto de alcanzar la proporción final que se desee en cada uno de estos componentes. El concentrado así preparado se añadirá con agitación al total de la partida.